Spray Drying and Spout-Fluid Bed Drying Microencapsulation of Mexican Plum Fruit (Spondias purpurea L.) Extract and Its Effect on In Vitro Gastrointestinal Bioaccessibility
Abstract
1. Introduction
2. Materials and Methods
2.1. Chemical and Reagents
2.2. Samples
2.3. Preparation of Mexican Plum Fruits for Extraction of Bioactive Compounds
2.4. Extraction of Bioactive Compounds
2.5. Re-Extraction Frequency for Maximum Phenolic Yield
2.6. Optimization of Extraction of Phenolic Compounds from Mexican Plum Powder
2.7. Preparation of Extract for Microencapsulation Process
2.8. Microencapsulation
2.8.1. Microencapsulation by Spray Drying
2.8.2. Microencapsulation by Spout-Fluid Bed Dryer with Inert Solids
Analysis of Powders
2.9. Analytical Methods
2.9.1. Total Phenolic Compounds
2.9.2. Total Anthocyanins
2.9.3. Ascorbic Acid, Dehydroascorbic Acid, and Total Vitamin C
2.9.4. Antioxidant Capacity
2.9.5. Retention and Encapsulation Efficiency
2.9.6. Moisture Content and Water Activity (aw)
2.9.7. Particle Size Distribution
2.9.8. Morphological Analyzes of Microcapsules
2.10. In Vitro Gastrointestinal Digestion
2.11. Statistical Analysis
3. Results and Discussion
3.1. Optimization of Extraction of Phenolic Compounds from Mexican Plum Powder
3.2. Characterization of Mexican Plum Powder (Pulp and Peel)
3.3. Content and Retention Efficiency of Bioactive Compounds and Antioxidant Capacity in Microcapsules
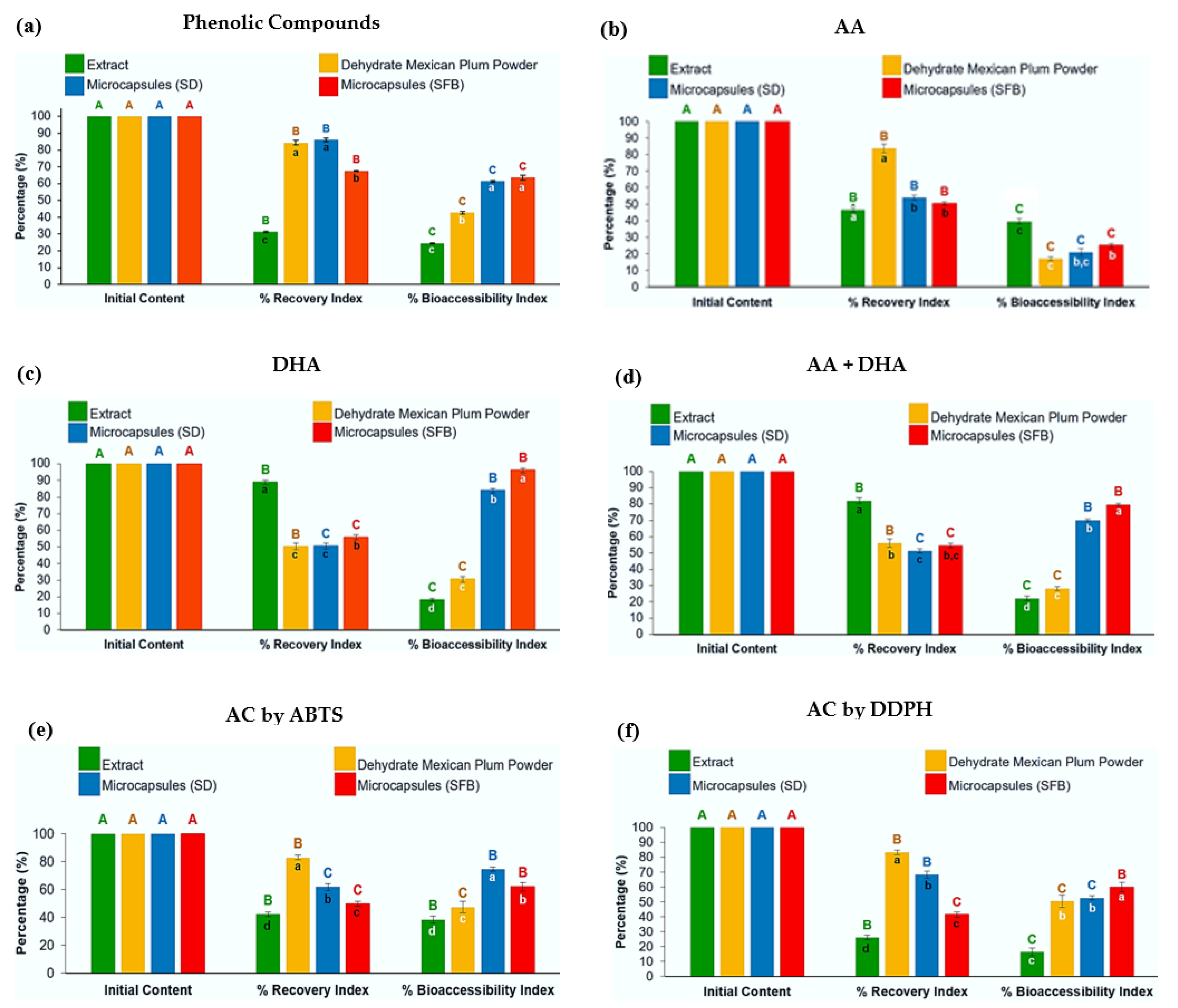
3.4. Recovery and Bioaccessibility Indices of Bioactive Compounds and Antioxidant Capacity of Microcapsules Obtained by Spray Dried and Spout-Fluid Bed
3.5. Moisture Content and Water Activity (aw)
3.6. Particle Size Distribution
3.7. Morphological Analyzes of Microcapsules
4. Conclusions
Author Contributions
Funding
Institutional Review Board Statement
Informed Consent Statement
Data Availability Statement
Acknowledgments
Conflicts of Interest
References
- Tovar, S.H.M.; Ballesteros-Patrón, G.A.; Robledo, A.P.; Cruz, L.A. Botánica de Spondias L. (Anacardiaceae): Jocotes, jobos, abales o ciruelas mexicanas en México. In Jocotes, Jobos, Abales o Ciruelas Mexicanas; Cruz, L.A., Duque, A.P., Haros, B.R., Eds.; Universidad Autónoma de Chapingo: Estado de México, Mexico, 2012; Volume 2, pp. 11–26. [Google Scholar]
- Vargas-Simón, G. Ciruela/Mexican Plum. Spondias purpurea L. In Exotic Fruits Reference Guide; Rodríguez, S., Oliveira, E., de Brito, E.S., Eds.; Elsevier: London, UK, 2018; pp. 141–152. [Google Scholar]
- Avitia, G.; González, A.C.; Barrios, A.M.P. Ciruela Mexicana y Otras Especies del Género Spondias L.; Universidad Autónoma de Chapingo: Estado de México, Mexico, 2012; pp. 1–30. [Google Scholar]
- Solorzano-Morán, S.; Alia-Tejacal, I.; Rivera-Cabrera, F.; López-Martínez, V.; Pérez-Flores, L.J.; Pelayo-Zaldívar, C.; Guillén-Sánchez, D.; León-Sánchez, F.D.; Maldonado-Astudillo, Y.I. Quality attributes and functional compounds of Mexican plum (Spondias purpurea L.) fruit ecotypes. Fruits 2015, 70, 261–270. [Google Scholar] [CrossRef][Green Version]
- García-González, M.; Alia-Tejacal, I.; Rivera-Cabrera, F.; Díaz de León, S.F.; López-Martínez, V.; Pérez-Flores, L.J.; Pelayo-Zaldivar, C. Refrigeración de ciruela mexicana (Spondias purpurea L.) ‘Cuernavaqueña’. Acta Agrícola Y Pecu. 2016, 2, 27–33. [Google Scholar]
- Engels, C.; Gräter, D.; Esquivel, P.; Jiménez, V.M.; Gänzle, M.G.; Schieber, A. Characterization of phenolic compounds in jocote (Spondias purpurea L.) peels by ultra high-performance liquid chromatography/electrospray ionization mass spectrometry. Food Res. Int. 2012, 46, 557–562. [Google Scholar] [CrossRef]
- Macedo, D.A.; Mafaldo, I.M.; Oliveira, P.M.L.; Lima, M.S.; Magnani, M.; Borges, G.S.C. Bioaccessibility of phenolic compounds in native and exotic frozen pulps explored in Brazil using a digestion model coupled with a simulated intestinal barrier. Food Chem. 2019, 274, 202–214. [Google Scholar]
- Augustin, M.A.; Sanguansri, L. Encapsulation of bioactives. In Food Materials Science. Principles and Practice; Aguilera, J.M., Lillford, P.J., Eds.; Springer: New York, NY, USA, 2008; pp. 577–583. [Google Scholar]
- Đorđević, V.; Balanč, B.; Belščak-Cvitanović, A.; Lević, S.; Trifković, K.; Kalušević, A.; Kostić, I.; Komes, D.; Bugarski, B.; Nedović, V. Trends in Encapsulation Technologies for Delivery of Food Bioactive Compounds. Food Eng. Rev. 2015, 7, 452–490. [Google Scholar] [CrossRef]
- Minekus, M.; Alminger, M.; Alvito, P.; Balance, S.; Bohn, T.; Bourlieu, C.; Carrière, F.; Boutrou, R.; Corredig, M.; Dupont, D.; et al. A standardised static in vitro digestion method suitable for food-an international consensus. Food Funct. 2014, 5, 1113–1124. [Google Scholar] [CrossRef]
- Mansour, M.; Salah, M.; Xu, X. Effect of microencapsulation using soy protein isolate and gum arabic as wall material on red raspberry anthocyanin stability, characterization, and simulated gastrointestinal conditions. Ultrason. Sonochemistry 2020, 63, 104927–104935. [Google Scholar] [CrossRef]
- Bharathi, S.K.V.; Moses, J.A.; Anandharamakrishnan, C. Nano and microencapsulation using food grade polymers. In Polymers for Food Applications; Gutiérrez, T.J., Ed.; Springer: New York, NY, USA, 2018; pp. 357–386. [Google Scholar]
- Gulão, S.; De Suouza, C.J.F.; Fernanda, A.S.; Coimbra, J.S.R.; García-Rojas, E.E. Complex coacervates obtained from lactoferrin and gum arabic: Formation and characterization. Food Res. Int. 2014, 65, 367–374. [Google Scholar] [CrossRef]
- Hosseni, A.; Jafari, S.M.; Mirzaei, H.; Asghari, A.; Akhavan, S. Application of image processing to assess emulsion stability and emulsification properties of Arabic gum. Carbohydr. Polym. 2015, 126, 1–8. [Google Scholar] [CrossRef]
- Sollano-Mendieta, X.C.; Meza-Márquez, O.G.; Osorio-Revilla, G.; Téllez-Medina, D.I. Effect of in vitro digestion on the antioxidant compounds and antioxidant capacity of 12 plum (Spondias purpurea L.) ecotypes. Foods 2021, 10, 1995. [Google Scholar] [CrossRef]
- Lins, A.D.F.; Rocha, A.P.T.; Gomes, J.P.; Feitosa, R.M.; Araujo, G.T.; Santos, D.C. Adsorption isotherms of the red mombin powder produced in spouted bed dryer. Rev. Bras. Eng. Agrícola E Ambient. 2017, 21, 562–567. [Google Scholar] [CrossRef][Green Version]
- Morais, B.D.M.; Júnior, M.E.S.; Andrade, S.A.C.; Converti, A.; Silva, M.F.; Maciel, M.I.S. Optimization of red mombin juice spray drying: Physicochemical and sensory analyses of powders. Chem. Eng. Technol. 2020, 43, 1832–1840. [Google Scholar] [CrossRef]
- Hernández-Ruiz, K.L.; Ruiz-Cruz, S.; Cira-Chávez, L.A.; Gassos-Ortega, L.E.; Ornelas-Paz, J.J.; Del Toro-Sánchez, C.L.; Márquez-Ríos, E.; López-Mata, M.A.; Rodríguez-Félix, F. Evaluation of antioxidant capacity, protective effect on human erythrocytes and phenolic compound identification in two varieties of plum fruit (Spondias spp.) by UPLC-MS. Molecules 2018, 23, 3200. [Google Scholar] [CrossRef] [PubMed]
- Robert, P.; Gorena, T.; Romero, N.; Sepulveda, E.; Chávez, J.; Saenz, C. Encapsulation of polyphenolns and anthocyanins from pomegranate (Punica granatum) by spray drying. Int. J. Food Sci. Technol. 2010, 45, 1386–1394. [Google Scholar] [CrossRef]
- Rigon, R.T.; Zapata, N.C.P. Microencapsulation by spray-drying of bioactive compounds extracted from blackberry (Rubus fruticosus). J. Food Sci. Technol. 2016, 53, 1515–1524. [Google Scholar] [CrossRef]
- Osorio-Revilla, G.; Elías-Serrano, R.; Gallardo-Velázquez, T. Drying of liquid feedstocks in a spout-fluid bed with draft-tube submerged in inert solids: Hydrodynamics and drying performance. Can. J. Chem. Eng. 2008, 82, 142–147. [Google Scholar] [CrossRef]
- Osorio-Revilla, G.; Gallardo-Velázquez, T.; Ramírez-Torres, A.; Rivera-Espinoza, Y. Residence time distribution in spouted bed drying of maltodextrin solutions on a bed of inert particles. Can. J. Chem. Eng. 2012, 90, 153–162. [Google Scholar] [CrossRef]
- Velázquez-Contreras, C.; Osorio-Revilla, G.; Gallardo-Velázquez, T. Encapsulation of Orange Essential Oil in a Spout-Fluid Bed Dryer with a Draft Tube on a Bed of Inert Solids. Drying Technol. 2014, 5, 1718–1726. [Google Scholar] [CrossRef]
- González-Montelongo, R.; Gloria, L.M.; González, M. Antioxidant activity in banana peel extracts: Testing extraction conditions and related bioactive compounds. Food Chem. 2010, 119, 1030–1039. [Google Scholar] [CrossRef]
- Giusti, M.M.; Wrolstad, R.E. Anthocyanins. Characterization and Measurement of Anthocyanins by UV Visible Spectroscopy. In Current Protocols in Food Analytical Chemistry; Wrolstad, R., Ed.; Wiley: New York, NY, USA, 2001; pp. 21–30. [Google Scholar]
- Omaye, S.T.; Turnbull, D.; Sauberlich, H.E. Selected methods for the determination of ascorbic acid in animal cells, tissues, and fluids. Methods Enzymol. 1979, 62, 3–11. [Google Scholar]
- Zieliński, H. Contribution of low molecular weight antioxidants to the antioxidant screen of germinated soybean seeds. Plant Foods Hum. Nutr. 2003, 58, 1–20. [Google Scholar] [CrossRef]
- Re, R.; Nicoletta, P.; Proteggente, A.; Pannala, A.; Yang, M.; Rice-Evans, C. Antioxidant activity applying an improved ABTS radical cation decolorization assay. Free. Radic. Biol. Med. 1999, 26, 1231–1237. [Google Scholar] [CrossRef]
- Brand-Williams, W.; Cuvelier, M.E.; Berset, C. Use of a Free Radical Methods to Evaluate Antioxidant Activity. LWT-Food Sci. Technol. 1995, 28, 25–30. [Google Scholar] [CrossRef]
- Toledo-Madrid, K.; Gallardo-Velázquez, T.; Osorio-Revilla, G. Microencapsulation of purple cactus pear fruit (Opuntia ficus indica) extract by the combined method W/O/W double emulsion-spray drying and conventional spray drying: A comparative study. Process 2018, 6, 189. [Google Scholar] [CrossRef]
- Boyano-Orozco, L.; Gallardo-Velázquez, T.; Meza-Márquez, O.G.; Osorio-Revilla, G. Microencapsulation of rambutan peel extract by spray drying. Foods 2020, 9, 899. [Google Scholar] [CrossRef]
- Ortega, N.; Macià, A.; Romero, M.P.; Reguant, J.; Motilva, M.J. Matrix composition effect on the digestibility of carob flour phenols by an in vitro digestion model. Food Chem. 2011, 124, 65–71. [Google Scholar] [CrossRef]
- Stafussa, A.P.; Maciel, G.M.; Rampazzo, V.; Bona, E.; Makara, C.N.; Junior, B.D.; Haminiuk, C.W.I. Bioactive compounds of 44 traditional and exotic Brazilian fruit pulps: Phenolic compounds and antioxidant activity. Int. J. Food Prop. 2018, 21, 106–118. [Google Scholar] [CrossRef]
- Suárez-Vargas, A.; Juárez-López, P.; López-Martínez, V.; Pérez, L.J.; Guillén, D.; Alia-Tejacal, I. Botânica e fisiologia/botany and physiology antioxidant activity and physicochemical parameters in “cuernavaqueña” mexican plum (Spondias purpurea L.) at different ripening stages. Rev. Bras. Frutic. 2016, 39, 1–10. [Google Scholar]
- Moo-Huchin, V.; Estrada-Mota, I.; Estrada-León, R.; Cuevas-Glory, L.; Ortiz-Vázquez, E.; Vargas-Vargas, M.L.; Betancur-Ancona, D.; Sauri-Duch, E. Determination of some physicochemical characteristics, bioactive compounds and antioxidant activity of tropical fruits from Yucatan, Mexico. Food Chem. 2014, 152, 508–515. [Google Scholar] [CrossRef]
- Vasco, C.; Ruales, J.; Kamal-Eldin, A. Total phenolic compounds and antioxidant capacities of major fruits from Ecuador. Food Chem. 2008, 111, 816–823. [Google Scholar] [CrossRef]
- Almeida, M.M.B.; Sousa, P.H.M.; Arriaga, Â.M.C.; Prado, G.M.; Magalhães, C.E.C.; Maia, G.A.; Lemos, T.L.G. Bioactive compounds and antioxidant activity of fresh exotic fruits from northeastern Brazil. Food Res. Int. 2011, 44, 2155–2159. [Google Scholar] [CrossRef]
- Cacace, J.E.; Mazza, G. Extraction of anthocyanins and other phenolics from black currants with sulfured water. J. Agric. Food Chem. 2002, 50, 5939–5946. [Google Scholar] [CrossRef] [PubMed]
- Maciel, M.I.S.; dos Santos, N.C.; Júnior, M.E.S.; Souza, M.M.B. Efeito da umidade relative e do tempo de armezenamento sob os compostos fitoquímicos do suco de ciriguela (Spondias purpurea L.) atomizado. In Proceedings of the XXV Congreso Brasileiro de Ciência e Tecnología de Alimentos, Sao Paulo, Brazil, 26 October 2016; pp. 6–8. [Google Scholar]
- Wechtersbach, L.; Polak, T.; Ulrih, N.P.; Cigić, B. Stability and transformation of products formed from dimeric dehydroascorbic acid at low pH. Food Chem. 2011, 129, 965–973. [Google Scholar] [CrossRef] [PubMed]
- Santos-Félix, A.C.; Novaes, C.G.; Rocha, M.P.; Barreto, G.E.; do Mascimento, B.B.; Giraldez-Álvarez, L.D. Mixture design and doehlert matrix for the optimization of the extraction of phenolic compounds from Spondias mombin L. apple bahasse agroindustrial residues. Food Chem. 2018, 5, 116. [Google Scholar]
- Ketnawa, S.; Suwannachot, J.; Ogawa, Y. In vitro gastrointestinal digestion of crisphead lettuce: Changes in bioactive compounds and antioxidant potential. Food Chem. 2020, 311, 125885. [Google Scholar] [CrossRef]
- Ydjedd, S.; Bouriche, S.; Nicolás, R.L.; Sánchez-Moya, T.; Frontela-Saseta, C.; Ros-Berruezo, G.; Rezgui, F.; Louaileche, H.; Kati, D.E. Effect of in vitro gastrointestinal digestion on encapsulated and nonencapsulated phenolic compounds of carob (Ceratonia siliqua) pulp extracts and their antioxidant capacity. J. Agric. Food Chem. 2017, 65, 827–835. [Google Scholar] [CrossRef]
- Rodríguez-Roque, M.J.; Rojas-Graü, M.A.; Elez-Martínez, P.; Martín-Belloso, O. In vitro bioaccessibility of health-related compounds as affected by the formulation of fruit juice- and milk- based beverages. Food Res. Int. 2014, 62, 771–778. [Google Scholar] [CrossRef]
- Chen, G.L.; Chen, S.G.; Chen, F.; Xie, Y.Q.; Han, M.D.; Zhao, Y.Y.; Gao, Y.Q. Nutraceutical potential and antioxidant benefits of selected fruit seeds subjected to an in vitro digestion. J. Funct. Foods 2016, 20, 317–331. [Google Scholar] [CrossRef]
- Zhang, J.; Zhang, C.; Chen, X.; Quek, Y.S. Effect of spray drying on phenolic compounds of cranberry juice and their stability during storage. J. Food Eng. 2020, 269, 109744–109754. [Google Scholar] [CrossRef]
- Eroglu, E.; Tontul, İ.; Topuz, A. Optimization of aqueous extraction and spray drying conditions for efficient processing of hibiscus blended rosehip tea powder. J. Food Processing Preserv. 2018, 42, 13643. [Google Scholar] [CrossRef]
- Costa, R.G.; Andreola, K.; Mattietto, R.A.; Faria, L.J.G.; Taranto, O.P. Effect of operating conditions on the yield and quality of açai (Euterpe oleracea Mart.) powder produced in spouted bed. Food Sci. Technol. 2015, 64, 1196–1203. [Google Scholar] [CrossRef]
- Nikolić, N.C.; Stanisavljević, N.; Šavikin, K.; Kaluševic, A.; Nedović, V.; Bigović, D.; Janković, A.T. Application of gum arabic in the production of psray-dried chokeberry polyphenols, microparticles characterisation and in vitro digestion method. Lek. Sirovine 2018, 38, 9–16. [Google Scholar] [CrossRef]






| Parameter | Results | |
|---|---|---|
| Dry Weight | Fresh Weight | |
| PC (mg GAE/gdw || mg GAE/gfw) | 6.14 ± 0.39 | 1.72 ± 0.2 |
| TA (μg cya-3-glu/gdw || μg cya-3-glu/gfw) | 18 ± 3.4 | 5 ± 1.0 |
| AA (μg AA/gdw || μg AA/gfw) | 561 ± 49 | 157 ± 14 |
| DHA (μg DHA/gdw || μg DHA/gfw) | 2 737 ± 58 | 766 ± 16 |
| Total vitamin C (μg AA+DHA/gdw || μg AA+DHA/gfw) | 3 298 ± 49 | 923 ± 14 |
| AC (ABTS) (μmol TE/gdw || μmol TE/gfw) | 42.82 ± 2.74 | 11.99 ± 0.77 |
| AC (DPPH) (μmol TE/gdw || μmol TE/gfw) | 33.24 ± 2.76 | 9.31 ± 0.77 |
| Moisture content (%) | 4.75 ± 0.69 | |
| Variable | Spray Drying | Spout-Fluid Bed Drying |
|---|---|---|
| Moisture Content (%) | 3.95 ± 0.10 a | 2.25 ± 0.43 a |
| Water Activity (aw) | 0.25 ± 0.01 a | 0.26 ± 0.03 a |
Publisher’s Note: MDPI stays neutral with regard to jurisdictional claims in published maps and institutional affiliations. |
© 2022 by the authors. Licensee MDPI, Basel, Switzerland. This article is an open access article distributed under the terms and conditions of the Creative Commons Attribution (CC BY) license (https://creativecommons.org/licenses/by/4.0/).
Share and Cite
Aguilera-Chávez, S.L.; Gallardo-Velázquez, T.; Meza-Márquez, O.G.; Osorio-Revilla, G. Spray Drying and Spout-Fluid Bed Drying Microencapsulation of Mexican Plum Fruit (Spondias purpurea L.) Extract and Its Effect on In Vitro Gastrointestinal Bioaccessibility. Appl. Sci. 2022, 12, 2213. https://doi.org/10.3390/app12042213
Aguilera-Chávez SL, Gallardo-Velázquez T, Meza-Márquez OG, Osorio-Revilla G. Spray Drying and Spout-Fluid Bed Drying Microencapsulation of Mexican Plum Fruit (Spondias purpurea L.) Extract and Its Effect on In Vitro Gastrointestinal Bioaccessibility. Applied Sciences. 2022; 12(4):2213. https://doi.org/10.3390/app12042213
Chicago/Turabian StyleAguilera-Chávez, Sthefany Leticia, Tzayhri Gallardo-Velázquez, Ofelia Gabriela Meza-Márquez, and Guillermo Osorio-Revilla. 2022. "Spray Drying and Spout-Fluid Bed Drying Microencapsulation of Mexican Plum Fruit (Spondias purpurea L.) Extract and Its Effect on In Vitro Gastrointestinal Bioaccessibility" Applied Sciences 12, no. 4: 2213. https://doi.org/10.3390/app12042213
APA StyleAguilera-Chávez, S. L., Gallardo-Velázquez, T., Meza-Márquez, O. G., & Osorio-Revilla, G. (2022). Spray Drying and Spout-Fluid Bed Drying Microencapsulation of Mexican Plum Fruit (Spondias purpurea L.) Extract and Its Effect on In Vitro Gastrointestinal Bioaccessibility. Applied Sciences, 12(4), 2213. https://doi.org/10.3390/app12042213

