Tunable Plasmonic Resonance Sensor Using a Metamaterial Film in a D-Shaped Photonic Crystal Fiber for Refractive Index Measurements
Abstract
:1. Introduction
2. Design and Model
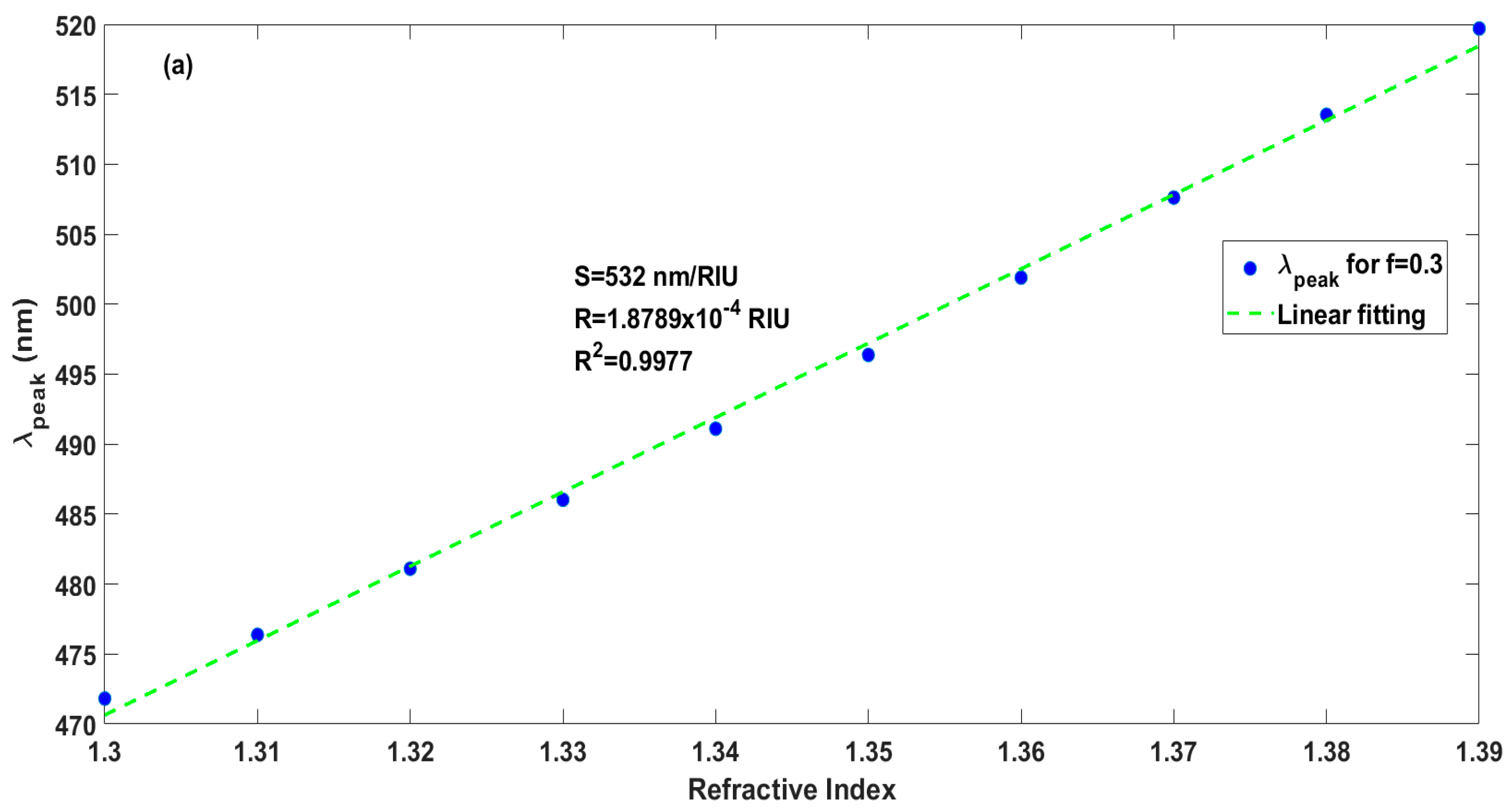
3. Results
4. Conclusions
Author Contributions
Funding
Institutional Review Board Statement
Informed Consent Statement
Data Availability Statement
Conflicts of Interest
References
- Homola, J. Surface Plasmons on Waveguides with a Perturbed Refractive Index Profile. In Surface Plasmon Polariton Based Sensors, 1st ed.; Springer: Berlin/Heidelberg, Germany; New York, NY, USA, 2018; Volume 4, pp. 19–26. [Google Scholar]
- Lin, H.-Y.; Huang, C.-H.; Cheng, G.-L.; Chen, N.-K.; Chui, H.-C. Tapered optical fiber sensor based on localized surface plasmon resonance. Opt. Express 2012, 20, 21693–21701. [Google Scholar] [CrossRef]
- Homola, J.; Koudela, I.; Yee, S.S. Surface plasmon resonance sensors based on diffraction gratings and prims couplers: Sensitivity comparison. Sens. Actuators B Chem. 1999, 54, 16–24. [Google Scholar] [CrossRef]
- Cardoso, M.; Silva, A.; Romeiro, A.; Giraldi, M.; Costa, J.; Santos, J.; Baptista, J.; Guerreiro, A. Second-Order Dispersion Sensor Based on Multi-Plasmonic Surface Resonances in D-Shaped Photonic Crystal Fibers. Photonics 2021, 8, 181. [Google Scholar] [CrossRef]
- Yu, X.; Zhang, Y.; Pan, S.; Shum, P.; Yan, M.; Leviatan, Y.; Li, C. A selectively coated photonic crystal fiber based surface plasmon resonance sensor. J. Opt. 2010, 12, 015005. [Google Scholar] [CrossRef] [Green Version]
- Rifat, A.A.; Ahmed, R.; Yetisen, A.K.; Butt, H.; Sabouri, A.; Mahdiraji, G.A.; Yun, S.H.; Adikan, F.M. Photonic crystal fiber based plasmonic sensors. Sens. Actuators B Chem. 2017, 243, 311–325. [Google Scholar] [CrossRef]
- Rifat, A.A.; Haider, F.; Ahmed, R.; Mahdiraji, G.A.; Adikan, F.R.M.; Miroshnichenko, A. Highly sensitive selectively coated photonic crystal fiber-based plasmonic sensor. Opt. Lett. 2018, 43, 891–894. [Google Scholar] [CrossRef]
- Santos, D.; Guerreiro, A.; Baptista, J. SPR optimization using metamaterials in a D-type PCF refractive index sensor. Opt. Fiber Technol. 2017, 33, 83–88. [Google Scholar] [CrossRef] [Green Version]
- Leite, I.T.; Hierro-Rodríguez, A.; Silva, A.O.; Teixeira, J.M.; Sousa, C.T.; Fernández-García, M.P.; Araújo, J.P.; Jorge, P.A.S.; Guerreiro, A. Exciting the optical response of nanowire metamaterial films on the tip of optical fibres. Phys. Status Solidi Rapid Res. Lett. 2013, 7, 664–667. [Google Scholar] [CrossRef]
- Hierro-Rodriguez, A.; Rocha-Rodrigues, P.; Valdés-Bango, F.; Alameda, J.M.; Jorge, P.A.S.; Santos, J.L.; Araujo, J.P.; Teixeira, J.M.; Guerreiro, A. On the anodic aluminium oxide refractive index of nanoporous templates. J. Phys. D Appl. Phys. 2015, 48, 455105. [Google Scholar] [CrossRef] [Green Version]
- Cardoso, M.P.; Silva, A.O.; Romeiro, A.F.; Giraldi, M.T.R.; Costa, J.C.; Santos, J.L.; Baptista, J.M.; Guerreiro, A. Multi-Plasmonic Resonance Based Sensor for the Characterization of Optical Dispersion Using a D-Shaped Photonic Crystal Fiber. IEEE Instrum. Meas. Mag. 2021, 24, 63–68. [Google Scholar] [CrossRef]
- Guerreiro, A.; Santos, D.; Baptista, J.M. New Trends in the Simulation of Nanosplasmonic Optical D-Type Fiber Sensors. Sensors 2019, 19, 1772. [Google Scholar] [CrossRef] [PubMed] [Green Version]
- Mahdiraji, G.A.; Chow, D.; Sandoghchi, S.R.; Amirkhan, F.; Dermosesian, E.; Yeo, K.S.; Kakaei, Z.; Ghomeishi, M.; Poh, S.Y.; Gang, S.Y.; et al. Challenges and Solutions in Fabrication of Silica-Based Photonic Crystal Fibers: An Experimental Study. Fiber Integr. Opt. 2014, 33, 85–104. [Google Scholar] [CrossRef]
- Sharma, A.K.; Gupta, B.D. On the performance of different bimetallic combinations in surface plasmon resonance based fiber optic sensors. J. Appl. Phys. 2007, 101, 093111. [Google Scholar] [CrossRef]
- Wenshan, C.; Shalaev, V. Optical Metamaterials—Fundamentals and Applications, 1st ed.; Springer: New York, NY, USA, 2010. [Google Scholar]
- Belyaev, B.A.; Tyurnev, V.V. Electrodynamic Calculation of Effective Electromagnetic Parameters of a Dielectric Medium with Metallic Nanoparticles of a Given Size. J. Exp. Theor. Phys. 2018, 127, 608–619. [Google Scholar] [CrossRef]
- Costa, J.S.; Zaman, Q.; Da Costa, K.Q.; Dmitriev, V.; Pandoli, O.; Fontes, G.; Del Rosso, T. Limits of the Effective Medium Theory in Particle Amplified Surface Plasmon Resonance Spectroscopy Biosensors. Sensors 2019, 19, 584. [Google Scholar] [CrossRef] [Green Version]
- Leite, I.T.; Silva, A.O.; Hierro-Rodríguez, A.; Sousa, C.T.; Fernández-García, M.P.; Teixeira, J.M.; Araujo, J.P.; Giraldi, M.T.; Costa, J.W.C.A.; Viegas, D.; et al. Ag-nanowire metamaterials: Spectral reflectance analysis and homogenization models. In Proceedings of the 8th Ibero American Optics Meeting and 11th Latin American Meeting on Optics, Lasers, and Applications, Porto, Portugal, 22–26 July 2013. [Google Scholar]
- Hierro-Rodriguez, A.; Leite, I.T.; Rocha-Rodrigues, P.; Fernandes, P.; Araujo, J.P.; Jorge, P.A.S.; Santos, J.L.; Teixeira, J.M.; Guerreiro, A. Hydrogen sensing via anomalous optical absorption of palladium-based metamaterials. Nanotechnology 2016, 27, 185501. [Google Scholar] [CrossRef] [Green Version]
- Joannopoulos, J.D.; Johnson, S.G.; Winn, J.N.; Meade, R.D. Photonic Crystal: Molding the Flow of Light, 2nd ed.; Princeton University Press: Princeton, NJ, USA, 2008. [Google Scholar]
- Vial, A.; Grimault, A.-S.; Macías, D.; Barchiesi, D.; de la Chapelle, M.L. Improved analytical fit of gold dispersion: Application to the modeling of extinction spectra with a finite-difference time-domain method. Phys. Rev. B 2005, 71, 085416. [Google Scholar] [CrossRef]
- Comsol. Available online: www.br.comsol.com (accessed on 12 October 2021).
- Luan, N.; Wang, R.; Lv, W.; Yao, J. Surface plasmon resonance sensor based on D-shaped microstructured optical fiber with hollow core. Opt. Express 2015, 23, 8576–8582. [Google Scholar] [CrossRef]
- Pathak, A.K.; Singh, V.K.; Ghosh, S.; Rahman, B.M.A. Investigation of a SPR based refractive index sensor using a single mode fiber with a large D shaped microfluidic channel. OSA Contin. 2019, 2, 3008–3018. [Google Scholar] [CrossRef] [Green Version]
- Patnaik, A.; Senthilnathan, K.; Jha, R. Graphene-Based Conducting Metal Oxide Coated D-Shaped Optical Fiber SPR Sensor. IEEE Photon Technol. Lett. 2015, 27, 2437–2440. [Google Scholar] [CrossRef]
- Yundong, L.; Xili, J.; Shuguang, L.; Zhen, Z.; Ying, G.; Jie, W.; Shun, W. High sensitivity surface plasmon resonance sensor based on D-shaped photonic crystal fiber with circular layout. Opt. Fiber Technol. 2018, 46, 311–317. [Google Scholar]
- Yasli, A.; Ademgil, H.; Haxha, S.; Aggoun, A. Multi-Chanel photonic crystal fiber based surface plasmon resonance sensor for multi-analyte sensor. IEEE Photonics J. 2020, 12, 1–15. [Google Scholar] [CrossRef]









Publisher’s Note: MDPI stays neutral with regard to jurisdictional claims in published maps and institutional affiliations. |
© 2022 by the authors. Licensee MDPI, Basel, Switzerland. This article is an open access article distributed under the terms and conditions of the Creative Commons Attribution (CC BY) license (https://creativecommons.org/licenses/by/4.0/).
Share and Cite
Cardoso, M.P.; Silva, A.O.; Romeiro, A.F.; Giraldi, M.T.R.; Costa, J.C.W.A.; Santos, J.L.; Baptista, J.M.; Guerreiro, A. Tunable Plasmonic Resonance Sensor Using a Metamaterial Film in a D-Shaped Photonic Crystal Fiber for Refractive Index Measurements. Appl. Sci. 2022, 12, 2153. https://doi.org/10.3390/app12042153
Cardoso MP, Silva AO, Romeiro AF, Giraldi MTR, Costa JCWA, Santos JL, Baptista JM, Guerreiro A. Tunable Plasmonic Resonance Sensor Using a Metamaterial Film in a D-Shaped Photonic Crystal Fiber for Refractive Index Measurements. Applied Sciences. 2022; 12(4):2153. https://doi.org/10.3390/app12042153
Chicago/Turabian StyleCardoso, Markos Paulo, Anderson O. Silva, Amanda F. Romeiro, Maria Thereza R. Giraldi, João C. W. Albuquerque Costa, José L. Santos, José M. Baptista, and Ariel Guerreiro. 2022. "Tunable Plasmonic Resonance Sensor Using a Metamaterial Film in a D-Shaped Photonic Crystal Fiber for Refractive Index Measurements" Applied Sciences 12, no. 4: 2153. https://doi.org/10.3390/app12042153
APA StyleCardoso, M. P., Silva, A. O., Romeiro, A. F., Giraldi, M. T. R., Costa, J. C. W. A., Santos, J. L., Baptista, J. M., & Guerreiro, A. (2022). Tunable Plasmonic Resonance Sensor Using a Metamaterial Film in a D-Shaped Photonic Crystal Fiber for Refractive Index Measurements. Applied Sciences, 12(4), 2153. https://doi.org/10.3390/app12042153

