Long-Term and Seasonal Changes in Sources of Urban Atmospheric Particulates in the Western Pacific
Abstract
1. Introduction
2. Materials and Methods
2.1. Sampling Cities in the Western Pacific
2.2. Characterization of PAHs and NPAHs
2.3. Source Contribution Calculations
3. Results and Discussion
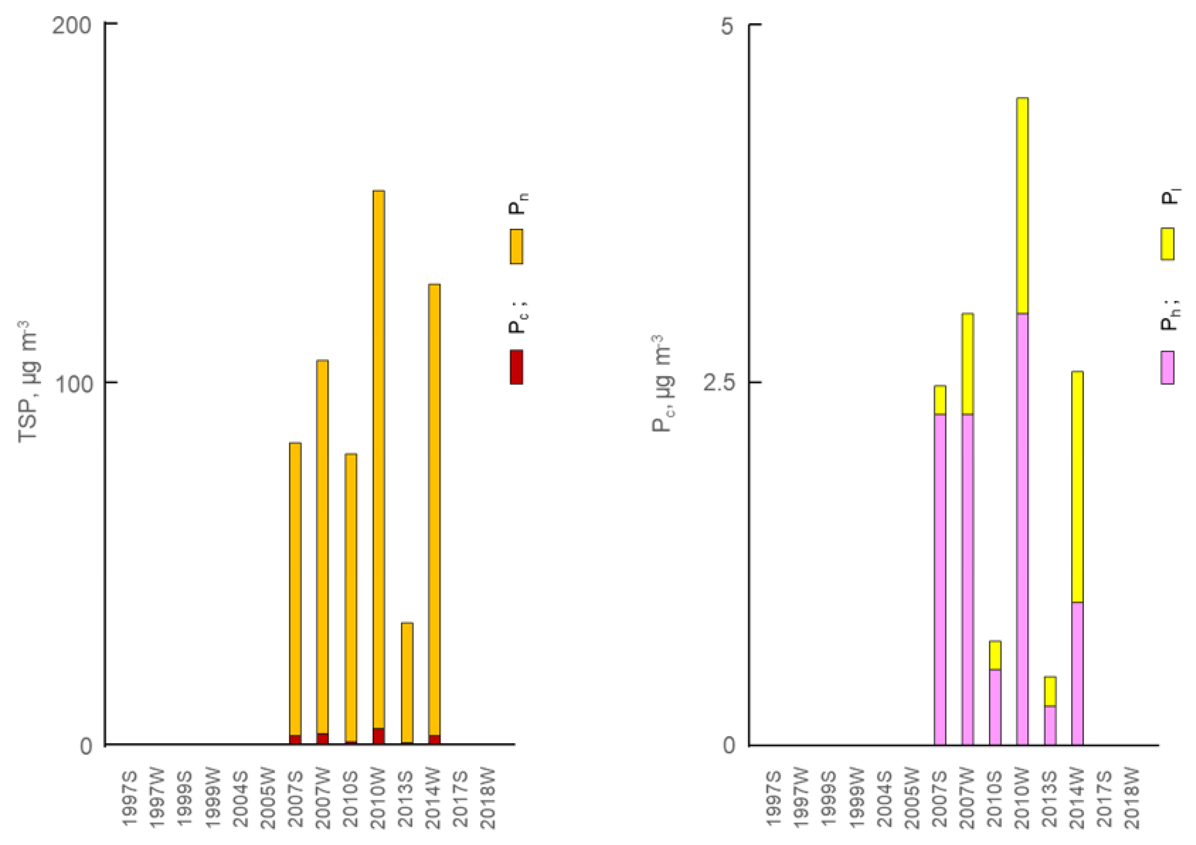
3.1. Individual City Trends
3.2. Overall Trends of the Western Pacific
4. Conclusions
Supplementary Materials
Author Contributions
Funding
Institutional Review Board Statement
Informed Consent Statement
Data Availability Statement
Acknowledgments
Conflicts of Interest
Abbreviations
| TSP | total suspended particulate matter |
| PAHs | polycyclic aromatic hydrocarbons |
| NPAHs | nitropolycyclic aromatic hydrocarbons |
| Pc | combustion-derived particulate matter |
| Pn | non-combustion-derived particulate matter |
| Ph | particulate emitted from high-temperature combustion source |
| Pl | particulate emitted from low-temperature combustion source |
| Pyrh | Ph-bound Pyr |
| Pyrl | Pl-bound Pyr |
| 1-NPh | Ph-bound 1-NP |
| 1-NPl | Pl-bound 1-NP |
| ΣPAH | sum of fluoranthene, Pyr, benz[a]anthracene, chrysene, benzo[b]fluoranthene, benzo[k]fluoranthene, benzo[a]pyrene, benzo[ghi]perylene and indeno [1,2,3-cd]pyrene |
| ΣNPAH | sum of 9-nitroanthracene, 1-NP, 6-nitrocrysene, 7-nitrobenz[a]anthracene, 3-nitroperylene and 6-nitrobenzo[a]pyrene |
References
- World Health Organization. Air Pollution and Child Health: Prescribing Clean Air, WHO Reference Number: WHO/CED/PHE/18.01. 2018. Available online: https.//who.int./bitstraam/handle/10665/275545/WHO-CED-PHE-18.1-erg.pdf (accessed on 14 February 2022).
- Hayakawa, K.; Murahashi, T.; Butoh, M.; Miyazaki, M. Determination of 1,3-,1,6-, and 1,8-dinitropyrenes and 1-nitropyrene in urban air by high-performance liquid chromatography using chemiluminescence detection. Environ. Sci. Technol. 1995, 29, 928–932. [Google Scholar] [CrossRef] [PubMed]
- Yang, L.; Zhang, X.; Xing, W.; Zhou, Q.; Zhang, L.; Wu, Q.; Zhou, Z.; Chen, R.; Toriba, A.; Hayakawa, K.; et al. Yearly variation in characteristics and health risk of polycyclic aromatic hydrocarbons and nitro-PAHs in urban Shanghai from 2010–2018. J. Environ. Sci. 2021, 99, 72–79. [Google Scholar] [CrossRef]
- Yang, X.-Y.; Igarashi, K.; Tang, N.; Lin, J.-M.; Wang, W.; Kameda, T.; Toriba, A.; Hayakawa, K. Indirect- and direct-acting mutagenicity of diesel, coal and wood burning-derived particulates and contribution of polycyclic aromatic hydrocarbons and nitropolycyclic aromatic hydrocarbons. Mutat. Res./Genet. Toxicol. Environ. Mutagen. 2010, 695, 29–34. [Google Scholar] [CrossRef]
- International Agency for Research on Cancer. Diesel and Gasoline Engine Exhausts and Some Nitroarenes, IARC Monographs on the Evaluation on Carcinogenic Risks to Humans; International Agency for Research on Cancer: Lyon, France, 2014; Volume 105, ISBN 978 92 832 01434. [Google Scholar]
- Hayakawa, K.; Tang, N.; Toriba, A. Review: Recent analytical methods for atmospheric polycyclic aromatic hydrocarbons and their derivatives. Biomed. Chromatogr. 2017, 31, e3862. [Google Scholar] [CrossRef] [PubMed]
- Tomaz, S.; Shahpoury, P.; Jaffrezo, J.-L.; Lammel, G.; Perraudin, E.; Villenave, E.; Albinet, A. One-year study of polycyclic aromatic compounds at an urban site in Grenoble (France): Seasonal variations, gas/particle partitioning and cancer risk estimation. Sci. Total Environ. 2016, 565, 1071–1083. [Google Scholar] [CrossRef]
- Nežiková, B.; Degrendele, C.; Bandowe, B.; Šmejkalová, A.; Kukučka, P.; Martiník, J.; Mayer, L.; Prokeš, R.; Přibylová, P.; Klánová, J.; et al. Three years of atmospheric concentrations of nitrated and oxygenated polycyclic aromatic hydrocarbons and oxygen heterocycles at a central European background site. Chemosphere 2021, 269, 128738. [Google Scholar] [CrossRef] [PubMed]
- Bandowe, B.; Meusel, H. Nitrated polycyclic aromatic hydrocarbons (nitro-PAHs) in the environment–A review. Sci. Total Environ. 2017, 581–582, 237–257. [Google Scholar] [CrossRef]
- Hayakawa, K.; Tang, N.; Nagato, E.G.; Toriba, A.; Sakai, S.; Kano, F.; Goto, S.; Endo, O.; Arashidani, K.; Kakimoto, H. Long term trends in atmospheric concentrations of polycyclic aromatic hydrocarbons and nitropolycyclic aromatic hydrocarbons: A study of Japanese cities from 1997 to 2014. Environ. Pollut. 2018, 233, 474–482. [Google Scholar] [CrossRef]
- Hayakawa, K.; Tang, N.; Nagato, E.; Toriba, A.; Lin, J.-M.; Zhao, L.; Zhou, Z.; Qing, W.; Yang, X.; Mishukov, V.; et al. Long-term trends in urban atmospheric polycyclic aromatic hydrocarbons and nitropolycyclic aromatic hydrocarbons: China, Russia and Korea from 1999 to 2014. Int. J. Environ. Public Heath 2020, 17, 431–443. [Google Scholar] [CrossRef]
- Zhang, L.; Tokuda, T.; Yang, L.; Zhou, Q.; Zhang, X.; Xing, W.; Wu, Q.; Zhou, Z.; Chen, Z.; Kameda, T.; et al. Characteristics and hearth risks of particulate polycyclic aromatic hydrocarbons and nitro-polycyclic aromatic hydrocarbons at urban and suburban elementary schools in Shanghai, China. Asian J. Atmos. Environ. 2019, 13, 266–275. [Google Scholar] [CrossRef]
- Japan Society of Atmospheric Environment. History of Atmospheric Pollution in Japan (Jpn: Nippon No Taikiosen No Rekishi); Kouken-Kyokai: Tokyo, Japan, 2000; ISBN-13: 978484420101. [Google Scholar]
- Kojima, Y.; Inazu, K.; Hisamatsu, Y.; Okochi, H.; Baba, T.; Nagoya, T. Changes in concentration levels of polycyclic aromatic compounds associated with airborne particulate matter in downtown Tokyo after introducing government diesel vehicle controls. Asian J. Atmos. Environ. 2010, 4, 1–8. [Google Scholar] [CrossRef][Green Version]
- Hama, H.; Tokuda, T.; Izaki, A.; Ohno, T.; Watanabe, Y.; Kanda, T.; Tang, N.; Kameda, T.; Toriba, A.; Hayakawa, K. Variation in polycyclic aromatic hydrocarbons and nitropolycyclic aromatic hydrocarbons in airborne particulates collected in urban Kanazawa, Japan, in last 12 years. J. Jpn. Soc. Atmos. Environ. 2012, 47, 1–8. [Google Scholar] [CrossRef]
- Suzuki, G.; Morikawa, T.; Kashiwakura, K.; Tang, N.; Toriba, A.; Hayakawa, K. Variation of polycyclic aromatic hydrocarbons and nitropolycyclic aromatic hydrocarbons in airborne particulates collected in Japanese capital area. J. Jpn. Soc. Atmos. Environ. 2015, 50, 117–122. [Google Scholar] [CrossRef]
- Inomata, Y.; Kajino, M.; Sato, K.; Hayakawa, K.; Ueda, H. Spatial and temporal trend of atmospheric benzo[a]pyrene in Japan between 2000 and 2013. J. Jpn. Soc. Atmos. Environ. 2016, 51, 111–123. Available online: https://www.jstage.jst.go.jp/article/taiki/51/2/51_111/_pdf (accessed on 14 February 2022).
- Hayakawa, K.; Tang, N.; Toriba, A.; Nagato, E.G. Calculating sources of combustion-derived particulates using 1-nitropyrene and pyrene as markers. Environ. Pollut. 2020, 265, 114730. [Google Scholar] [CrossRef]
- Hayakawa, K.; Tang, N.; Toriba, A. Calculating source contributions to urban atmospheric polycyclic aromatic hydrocarbons and nitropolycyclic aromatic hydrocarbons using 1-nitropyrene and pyrene: An application to an Asian dust event. Chemosphere 2021, 220, 130662. [Google Scholar] [CrossRef]
- Tang, N.; Taga, R.; Hattori, T.; Toriba, A.; Kizu, R.; Hayakawa, K. Simultaneous determination of twenty-one mutagenic nitropolycyclic aromatic hydrocarbons by high-performance liquid chromatography with chemiluminescence detection. In 13th International Symposium, Bioluminescence and Chemiluminescence Progress and Perspective; Tsuji, A., Maeda, M., Matsumoto, M., Krica, L., Stanley, P.l., Eds.; World Science: London, UK, 2005; pp. 441–444, ISBN-10: 9812561188. [Google Scholar]
- BP. Statistical Review of World Energy 2021, 70th ed.; BP: London, UK, 2020; Available online: https://www.bp.com/en/global/corporate/energy-economics/statistical-review-of-world-energy (accessed on 14 February 2022).
- Hoshi, J.; Saito, S. Estimating the contribution of biomass burning to atmospheric organic particles at the central Tokyo metropolitan area using levoglucosan and radiocarbon. J. Jpn. Soc. Atmos. Environ. 2020, 55, 204–220. [Google Scholar] [CrossRef]
- Hayakawa, K.; Tang, N.; Xing, W.; Oanh, P.K.; Hara, A.; Nakamura, H. Concentrations and sources of atmospheric PM, polycyclic aromatic hydrocarbons and nitropolycyclic aromatic hydrocarbons in Kanazawa, Japan. Atmosphere 2020, 12, 256. [Google Scholar] [CrossRef]
- Hayakawa, K.; Tang, N.; Morisaki, H.; Toriba, A.; Akutagawa, T.; Sakai, S. Atmospheric polycyclic and nitropolycyclic aromatic hydrocarbons in an iron-manufacturing city. Asian J. Atmos. Environ. 2016, 10, 90–98. [Google Scholar] [CrossRef]
- The Japan Iron and Steel Federation, Production of Crude Steel, Home Page. 2021. Available online: https://www.jisf.org.jp/en/statistics/production (accessed on 14 February 2022).
- International Energy Agency. Global EV Outlook 2021–Analysis, Technical Report, April 2021. Available online: https://www.iea.org/reports/global-ev-outlook-2021 (accessed on 14 February 2022).
- Wise, S.; Phinney, K.; Sander, L.; Schaz, M. Review: Role of chromatography in the development of standard reference materials for organic analysis. J. Chromatogr. A 2012, 1261, 3–22. [Google Scholar] [CrossRef]
- Hayakawa, K.; Kitamura, R.; Butoh, M.; Imaizumi, N.; Miyazaki, M. Determination of diamino- and aminopyrenes by high-performance liquid chromatography with chemiluminescence detection. Anal. Sci. 1991, 7, 573–577. [Google Scholar] [CrossRef]






| Year/Season | [Pc] | [Ph] | [Pl] |
|---|---|---|---|
| Sapporo | |||
| 1997 S | - | - | - |
| 1997 W | - | - | - |
| 2004 S | 0.5 | 0.33 | 0.17 |
| 2005 W | 1.9 | 1.37 | 0.53 |
| 2007 S | 0.37 | 0.294 | 0.076 |
| 2008 W | 3.4 | 2.24 | 1.16 |
| 2010 S | 0.22 | 0.16 | 0.06 |
| 2010 W | 1.8 | 1.06 | 0.74 |
| 2013 S | 0.11 | 0.054 | 0.056 |
| 2014 W | 0.9 | 0.64 | 0.26 |
| Kanazawa | |||
| 1997 S | - | - | - |
| 1997 W | - | - | - |
| 1999 S | 3 | 2.8 | 0.2 |
| 1999 W | 11.1 | 10.49 | 0.51 |
| 2004 S | 1.6 | 1.43 | 0.17 |
| 2005 W | 2.3 | 2 | 0.3 |
| 2007 S | 0.8 | 0.67 | 0.13 |
| 2008 W | 1.2 | 0.74 | 0.46 |
| 2010 S | 0.3 | 0.2 | 0.1 |
| 2010 W | 1.1 | 0.6 | 0.5 |
| 2013 S | 0.4 | 0.27 | 0.13 |
| 2014 W | 0.9 | 0.34 | 0.56 |
| 2017 S | 0.18 | 0.071 | 0.1 |
| 2018 W | 0.47 | 0.16 | 0.31 |
| Tokyo | |||
| 1997 S | - | - | - |
| 1997 W | - | - | - |
| 2004 S | 0.41 | 0.26 | 0.15 |
| 2005 W | 0.84 | 0.74 | 0.1 |
| Sagamihara | |||
| 2007 S | 0.32 | 0.32 | 0.003 |
| 2008 W | 0.42 | 0.23 | 0.19 |
| 2010 S | 0.068 | 0.01 | 0.058 |
| 2010 W | 0.91 | 0.41 | 0.5 |
| 2013 S | 0.38 | 0.24 | 0.14 |
| 2014 W | 0.78 | 0.69 | 0.09 |
| Kitakyushu | |||
| 1997 S | - | - | - |
| 1997 W | - | - | - |
| 2004 S | 1.2 | 0.29 | 0.91 |
| 2005 W | 1.6 | 1.05 | 0.55 |
| 2007 S | 0.15 | 0.08 | 0.07 |
| 2008 W | 0.9 | 0.38 | 0.52 |
| 2010 S | 0.4 | 0.17 | 0.33 |
| 2010 W | 1.1 | 0.51 | 0.59 |
| 2013 S | 0.12 | 0.02 | 0.01 |
| 2014 W | 2.8 | 0.29 | 2.51 |
| Shenyang | |||
| 2001 S | 3 | 2.24 | 0.76 |
| 2002 W | 78.6 | 5.9 | 72.7 |
| 2007 S | 4.5 | 2.45 | 2.05 |
| 2008 W | 31.1 | 10.6 | 20.5 |
| 2010 S | 32.2 | 21.4 | 10.8 |
| 2010 W | 20.7 | 10.3 | 10.4 |
| 2013 S | 3 | 1.28 | 1.72 |
| 2014 W | 41.1 | 9.3 | 31.8 |
| Beijing | |||
| 2004 W | 57.1 | 7.9 | 49.2 |
| 2007 S | 2.3 | 1 | 1.3 |
| 2008 W | 37.3 | 8.3 | 29 |
| 2010 S | 1.3 | 0.6 | 0.7 |
| 2010 W | 86.9 | 0.7 | 86.2 |
| 2013 S | 1.1 | 0.4 | 0.7 |
| 2014 W | 26 | 2.3 | 23.7 |
| Shanghai | |||
| 2007 S | 2.5 | 2.3 | 0.2 |
| 2007 W | 3 | 2.3 | 0.7 |
| 2010 S | 0.73 | 0.53 | 0.2 |
| 2010 W | 4.5 | 3 | 1.5 |
| 2013 S | 0.48 | 0.28 | 0.2 |
| 2014 W | 2.6 | 1 | 1.6 |
| 2015 S | - | - | - |
| 2015 W | - | - | - |
| 2017 S | - | - | - |
| 2018 W | - | - | - |
| Vladivostok | |||
| 1999 S | - | - | - |
| 1999 W | - | - | - |
| 2005 W | - | - | - |
| 2007 S | 0.48 | 0.26 | 0.22 |
| 2008 W | 12.5 | 4.8 | 7.7 |
| 2010 S | 0.53 | 0.26 | 0.27 |
| 2010 W | 19.3 | 4.1 | 15.2 |
| 2013 S | 0.15 | 0.08 | 0.07 |
| 2014 W | 4.3 | 2.1 | 2.2 |
| Busan | |||
| 2005 W | 1.9 | 1.2 | 0.7 |
| 2007 S | 0.37 | 0.28 | 0.09 |
| 2008 W | 2.4 | 1.3 | 1.1 |
| 2010 S | 0.34 | 0.18 | 0.16 |
| 2010 W | 2.2 | 0.8 | 1.4 |
| City | [Pc] | Winter/Summer | ||
|---|---|---|---|---|
| a Annual | Summer | Winter | ||
| Sapporo | 1.15 ± 1.14 | 0.30 ± 0.17 | 2.00 ± 1.00 | 6.7 |
| Kanazawa | 1.94 ± 3.00 | 1.05 ± 1.09 | 2.85 ± 4.09 | 2.7 |
| Tokyo/Sagamihara | 0.52 ± 0.29 | 0.29 ± 0.16 | 0.74 ± 0.22 | 2.6 |
| Kitakyushu | 1.03 ± 0.89 | 0.47 ± 0.50 | 1.60 ± 0.58 | 3.4 |
| Shenyang | 26.78 ± 25.64 | 10.68 ± 14.37 | 42.88 ± 25.23 | 4.0 |
| Beijing | 30.29 ± 32.83 | 1.57 ± 0.64 | 51.80 ± 26.68 | 33.0 |
| Shanghai | 2.30 ± 1.50 | 1.24 ± 0.90 | 3.37 ± 1.00 | 2.7 |
| Vladivostok | 6.21 ± 7.95 | 0.39 ± 0.20 | 12.03 ± 7.51 | 30.8 |
| Busan | 1.44 ± 1.01 | 0.36 ± 0.02 | 2.17 ± 0.25 | 6.0 |
| City | [Ph] | [Pl] | [Ph]/[Pc] |
|---|---|---|---|
| Sapporo | 0.77 ± 0.75 | 0.38 ± 0.40 | 0.70 |
| Kanazawa | 1.65 ± 2.91 | 0.29 ± 0.18 | 0.85 |
| Tokyo/Sagamihara | 0.37 ± 0.25 | 0.15 ± 0.15 | 0.71 |
| Kitakyushu | 0.35 ± 0.32 | 0.68 ± 0.79 | 0.34 |
| Shenyang | 7.93 ± 6.62 | 18.88 ± 24.23 | 0.30 |
| Beijing | 3.03 ± 3.52 | 27.26 ± 31.77 | 0.10 |
| Shanghai | 1.57 ± 1.11 | 0.73 ± 0.66 | 0.68 |
| Vladivostok | 1.93 ± 3.00 | 4.28 ± 6.09 | 0.31 |
| Busan | 0.75 ± 0.51 | 0.69 ± 0.57 | 0.52 |
Publisher’s Note: MDPI stays neutral with regard to jurisdictional claims in published maps and institutional affiliations. |
© 2022 by the authors. Licensee MDPI, Basel, Switzerland. This article is an open access article distributed under the terms and conditions of the Creative Commons Attribution (CC BY) license (https://creativecommons.org/licenses/by/4.0/).
Share and Cite
Hayakawa, K.; Tang, N.; Toriba, A. Long-Term and Seasonal Changes in Sources of Urban Atmospheric Particulates in the Western Pacific. Appl. Sci. 2022, 12, 2149. https://doi.org/10.3390/app12042149
Hayakawa K, Tang N, Toriba A. Long-Term and Seasonal Changes in Sources of Urban Atmospheric Particulates in the Western Pacific. Applied Sciences. 2022; 12(4):2149. https://doi.org/10.3390/app12042149
Chicago/Turabian StyleHayakawa, Kazuichi, Ning Tang, and Akira Toriba. 2022. "Long-Term and Seasonal Changes in Sources of Urban Atmospheric Particulates in the Western Pacific" Applied Sciences 12, no. 4: 2149. https://doi.org/10.3390/app12042149
APA StyleHayakawa, K., Tang, N., & Toriba, A. (2022). Long-Term and Seasonal Changes in Sources of Urban Atmospheric Particulates in the Western Pacific. Applied Sciences, 12(4), 2149. https://doi.org/10.3390/app12042149

