Comparative Study of Three Raspberry Cultivar (Rubus idaeus L.) Leaves Metabolites: Metabolome Profiling and Antioxidant Activities
Abstract
:1. Introduction
2. Materials and Methods
2.1. Extraction and Sample Preparation
2.2. Instrumentation and Condition for LC-MS/MS Analysis
2.3. In Vitro Bioactivity Screening
2.3.1. Culture Condition and Cytotoxicity Assay of RLEE
2.3.2. Bioactivity Assessment of RLEE against UVB Induced Damage
2.4. Metabolome Data Analysis
2.5. Statistical Analysis
3. Results
3.1. Metabolomics Analysis of Three Raspberry Cultivars Leaves
3.2. Comparison of Differential Metabolite Groupings between Species
3.3. RLEE Cytotoxicity Test on L929 Fibroblasts
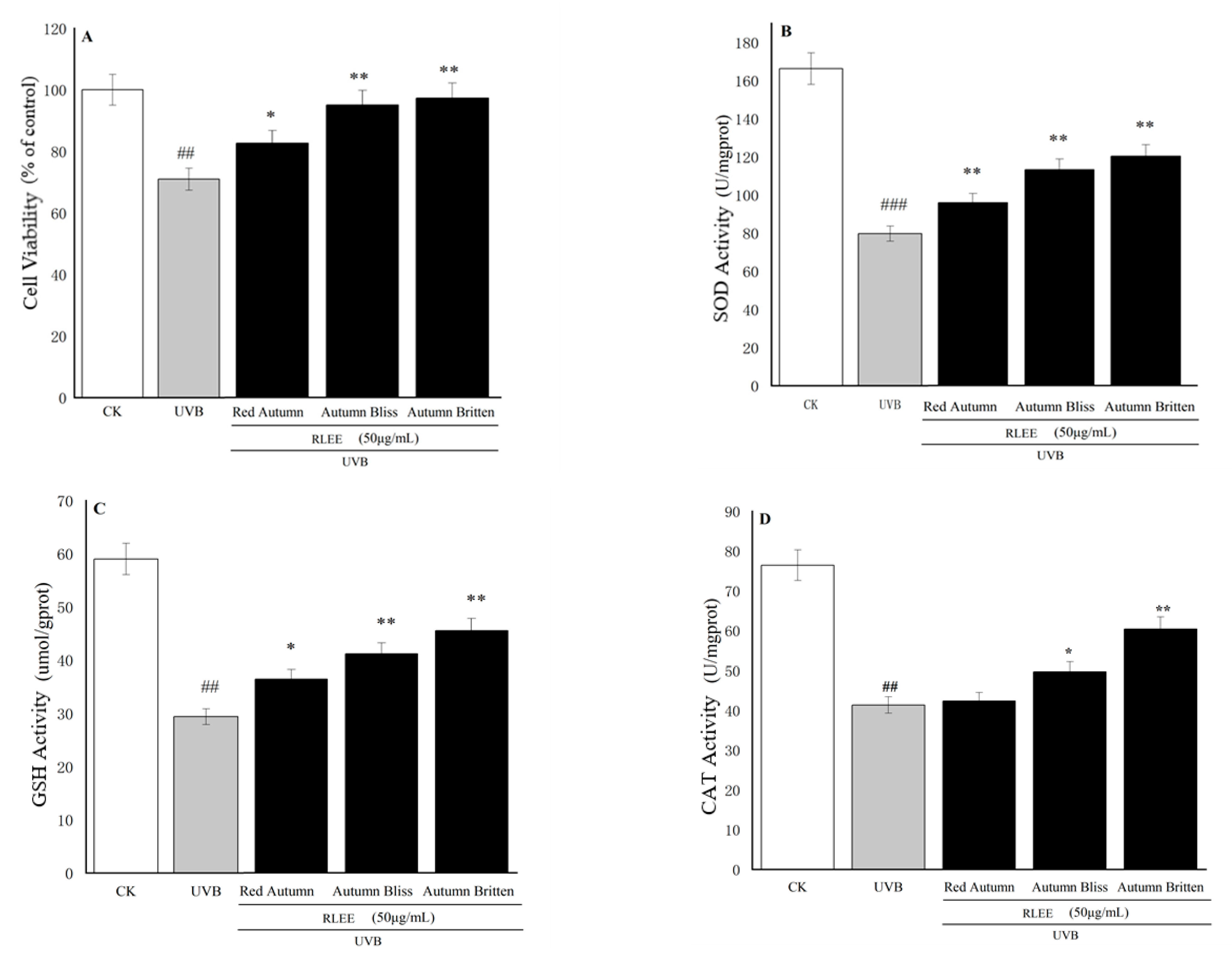
3.4. Protective Effect of Different Varieties of RLEE on UVB Induced L929 Fibroblast Injury
4. Discussion
5. Conclusions
Supplementary Materials
Author Contributions
Funding
Institutional Review Board Statement
Informed Consent Statement
Data Availability Statement
Conflicts of Interest
References
- Giuffrè, A.M.; Louadj, L.; Rizzo, P.; Poiana, M.; Sicari, V. Packaging and storage condition affect the physicochemical properties of red raspberries (Rubus idaeus L.; cv. Erika). Food Control. 2019, 97, 105–113. [Google Scholar] [CrossRef]
- Anttonen, M.J.; Karjalainen, R.O. Environmental and genetic variation of phenolic compounds in red raspberry. J. Food Compos. Anal. 2005, 18, 759–769. [Google Scholar] [CrossRef]
- Wang, S.Y.; Lin, H.-S. Antioxidant Activity in Fruits and Leaves of Blackberry, Raspberry, and Strawberry Varies with Cultivar and Developmental Stage. J. Agric. Food Chem. 2000, 48, 140–146. [Google Scholar] [CrossRef] [PubMed]
- Staszowska-Karkut, M.; Materska, M. Phenolic Composition, Mineral Content, and Beneficial Bioactivities of Leaf Extracts from Black Currant (Ribes nigrum L.), Raspberry (Rubus idaeus), and Aronia (Aronia melanocarpa). Nutrients 2020, 12, 463. [Google Scholar] [CrossRef] [Green Version]
- Krzepiko, A.; Praak, R.; Wicio, A. Chemical Composition, Antioxidant and Antimicrobial Activity of Raspberry, Black-berry and Raspberry-Blackberry Hybrid Leaf Buds. Molecules 2021, 26, 327. [Google Scholar] [CrossRef]
- Langhammer, A.J.; Nilsen, O.G. Fennel and Raspberry Leaf as Possible Inhibitors of Acetaminophen Oxidation. Phytother. Res. PTR 2014, 28, 1573–1576. [Google Scholar] [CrossRef] [PubMed]
- Pradeepa, M.; Harini, K.; Ruckmani, K.; Geetha, N. Extracellular Bio-Inspired Synthesis of Silver Nanoparticles Using Raspberry Leaf Extract against Human Pathogens. Int. J. Pharm. Sci. Rev. Res. 2014, 25, 160–165. [Google Scholar]
- Na, H.; Gu, Y.; Ye, C.; Cao, Y.; Liu, Z.; Yin, J. Antithrombotic activity of fractions and components obtained from rasp-berry leaves (Rubus chingii). Food Chem. 2012, 132, 181–185. [Google Scholar]
- Arafa, M.H.; Atteia, H.H. Protective Role of Epigallocatechin Gallate in a Rat Model of Cisplatin-Induced Cerebral In-flammation and Oxidative Damage: Impact of Modulating NF-κB and Nrf2. Neurotox. Res. 2019, 37, 380–396. [Google Scholar] [CrossRef]
- Yao, L.H.; Jiang, Y.M.; Shi, J.; Tomas-Barberan, F.A.; Datta, N.; Singanusong, R.; Chen, S.S. Flavonoids in food and their health benefits. Plant Foods Hum. Nutr. 2004, 59, 113–122. [Google Scholar] [CrossRef]
- Luo, T.; Chen, S.; Zhang, H.; Jia, S.; Wang, J. Phytochemical composition and potential biological activities assessment of raspberry leaf extracts from nine different raspberry species and raspberry leaf tea. J. Berry Res. 2020, 10, 295–309. [Google Scholar] [CrossRef]
- Pavlović, A.V.; Papetti, A.; Zagorac, D.Č.D.; Gašić, U.M.; Mišić, D.M.; Tešić, Ž.L.; Natić, M.M. Phenolics composition of leaf extracts of raspberry and blackberry cultivars grown in Serbia. Ind. Crop. Prod. 2016, 87, 304–314. [Google Scholar] [CrossRef]
- Yoganathan, S.; Alagaratnam, A.; Acharekar, N.; Kong, J. Ellagic Acid and Schisandrins: Natural Biaryl Polyphenols with Therapeutic Potential to Overcome Multidrug Resistance in Cancer. Cells 2021, 10, 458. [Google Scholar] [CrossRef] [PubMed]
- Umar, S.A.; Tasduq, S.A. Integrating DNA damage response and autophagy signalling axis in ultraviolet-B induced skin photo-damage: A positive association in protecting cells against genotoxic stress. RSC Adv. 2020, 10, 36317–36336. [Google Scholar] [CrossRef]
- Kozina, L.S.; Borzova, I.V.; Arutiunov, V.A.; Ryzhak, G.A. Role of oxidative stress in skin aging. Adv. Gerontol. 2013, 3, 18–22. [Google Scholar] [CrossRef]
- Cadet, J.; Grand, A.; Douki, T. Solar UV radiation-induced DNA Bipyrimidine photoproducts: Formation and mechanis-tic insights. Top. Curr. Chem. 2014, 356, 249–275. [Google Scholar]
- Liang, B.; Peng, L.; Li, R.; Li, H.; Mo, Z.; Dai, X.; Jiang, N.; Liu, Q.; Zhang, E.; Deng, H.; et al. Lycium barbarum polysaccharide protects HSF cells against ultraviolet-induced damage through the activation of Nrf2. Cell. Mol. Biol. Lett. 2018, 23, 18. [Google Scholar] [CrossRef] [Green Version]
- Wang, P.-W.; Cheng, Y.-C.; Hung, Y.-C.; Lee, C.-H.; Fang, J.-Y.; Li, W.-T.; Wu, Y.-R.; Pan, T.-L. Red Raspberry Extract Protects the Skin against UVB-Induced Damage with Antioxidative and Anti-inflammatory Properties. Oxidative Med. Cell. Longev. 2019, 2019, 9529676. [Google Scholar] [CrossRef] [PubMed] [Green Version]
- Zhuan-Hong, L.; Guo, H.; Wen-Bin, X.; Ge, J.; Li, X.; Mireguli, A.; He, D.J. Rapid Identification of Flavonoid Constit-uents Directly from PTP1B Inhibitive Extract of Raspberry (Rubus idaeus L.) Leaves by HPLC–ESI–QTOF–MS-MS. J. Chromatogr. Sci. 2016, 54, 805. [Google Scholar]
- Yang, J.; Cui, J.; Chen, J.; Yao, J.; Hao, Y.; Fan, Y.; Liu, Y. Evaluation of physicochemical properties in three raspberries (Rubus idaeus) at five ripening stages in northern China. Sci. Hortic. 2020, 263, 109146. [Google Scholar] [CrossRef]
- Ribeiro, F.M.; Volpato, H.; Lazarin-Bidóia, D.; Desoti, V.C.; Souza, R.D.; Fonseca, M.; Ueda-Nakamura, T.; Nakamura, C.V.; Silva, S. The extended production of UV-induced reactive oxygen species in L929 fibroblasts is attenuated by post-treatment with Arrabidaea chica through scavenging mechanisms. J. Photochem. Photobiol. B 2017, 178, 175–181. [Google Scholar] [CrossRef]
- de Oliveira, M.M.; Daré, R.G.; Barizão, É.O.; Visentainer, J.V.; Romagnolo, M.B.; Nakamura, C.V.; Truiti, M.D.C.T. Photodamage attenuating potential of Nectandra hihua against UVB-induced oxidative stress in L929 fibroblasts. J. Photochem. Photobiol. B Biol. Off. J. Eur. Soc. Photobiol. 2018, 181, 127–133. [Google Scholar] [CrossRef] [PubMed]
- da Silva, B.T.A.; Peloi, K.E.; Ximenes, V.F.; Nakamura, C.V.; Lautenschlager, S.D.O.S. 2-acetylphenothiazine protects L929 fibroblasts against UVB-induced oxidative damage. J. Photochem. Photobiol. B Biol. 2021, 216, 112130. [Google Scholar] [CrossRef] [PubMed]
- Lee, M.Y.; Seo, H.S.; Singh, D.; Lee, S.J.; Lee, C.H. Unraveling dynamic metabolomes underlying different maturation stages of berries harvested from Panax ginseng. J. Ginseng Res. 2020, 44, 413–423. [Google Scholar] [CrossRef] [PubMed]
- Mishra, A.; Patel, M.K.; Jha, B. Non-targeted metabolomics and scavenging activity of reactive oxygen species reveal the potential of Salicornia brachiata as a functional food. J. Funct. Foods 2015, 13, 21–31. [Google Scholar] [CrossRef]
- Xie, C.; Liu, J. Study on Chemical Constituents and Antioxidant Activities of N-butanol Extract from Ginkgo Biloba Leaves. J. Zhejiang Chin. Med. Univ. 2019, 43, 10. [Google Scholar]
- Manca, M.L.; Casula, E.; Marongiu, F.; Bacchetta, G.; Sarais, G.; Zaru, M.; Escribano-Ferrer, E.; Peris, J.E.; Usach, I.; Fais, S.; et al. From waste to health: Sustainable exploitation of grape pomace seed extract to manufacture antioxidant, regenerative and prebiotic nanovesicles within circular economy. Sci. Rep. 2020, 10, 1–14. [Google Scholar] [CrossRef]
- Koiwai, A.; Suzuki, F.; Matsuzaki, T.; Kawashima, N. The fatty acid composition of seeds and leaves of Nicotiana species. Phytochemistry 1983, 22, 1409–1412. [Google Scholar] [CrossRef]
- Marei, W.F.; Wathes, D.C.; Fouladi-Nashta, A.A. Differential effects of linoleic and alpha-linolenic fatty acids on spatial and temporal mitochondrial distribution and activity in bovine oocytes. Reprod. Fertil. Dev. 2012, 24, 679–690. [Google Scholar] [CrossRef]
- Lee, Y.; Lee, H.; Park, B.; Elahi, F.; Lee, J.; Lee, S.T.; Park, C.K.; Hyun, S.H.; Lee, E. Alpha-linolenic acid treatment during oocyte maturation enhances embryonic development by influencing mitogen-activated protein kinase activity and in-traoocyte glutathione content in pigs1. J. Anim. Sci. 2016, 8, 3255–3263. [Google Scholar] [CrossRef]
- Swan, A.M. Amino acids for skin and joint care. Funct. Foods Nutraceuticals 2006, 55, 52. [Google Scholar]
- Lawrence, K.P.; Long, P.F.; Young, A.R. Mycosporine-Like Amino Acids for Skin Photoprotection. Curr. Med. Chem. 2018, 25, 5512–5527. [Google Scholar] [CrossRef]
- Mason, R.P.; Harman, L.S.; Mottley, C. Free radical metabolites of l-cysteine and glutathione oxidation. In Proceedings of the IUPHAR 9th International Congress of Pharmacology, London, UK, 1–6 June 1984; Volume 3, p. 295. [Google Scholar]
- Feng, L.; Zhao, B.; Chen, G.; Jiang, W.; Liu, Y.; Jiang, J.; Zhou, X. Effects of dietary histidine on antioxidant capacity in juvenile Jian carp (Cyprinus carpio var. Jian). Fish Physiol. Biochem. 2013, 39, 559–571. [Google Scholar] [CrossRef] [PubMed]
- Khan, K.; Najmi, A.K.; Akhtar, M. A Natural Phenolic Compound Quercetin Showed the Usefulness by Targeting Inflammatory, Oxidative Stress Markers and Augment 5-HT Levels in One of the Animal Models of Depression in Mice. Drug Res. 2018, 10, 159. [Google Scholar] [CrossRef]
- Fu, J.; Xu, W.; Mai, K.; Zhang, W.; Feng, X.; Liufu, Z. Effects of dietary menadione on the activity of antioxidant enzymes in abalone, Haliotis discus hannai Ino. Chin. J. Oceanol. Limnol. 2012, 30, 118–123. [Google Scholar] [CrossRef]
- Alayoubi, A.; Abu-Fayyad, A.; Nazzal, S. Vitamin E in Parenteral Lipid Emulsions. In Diet and Nutrition in Critical Care; Springer: Berlin/Heidelberg, Germany, 2015; pp. 235–248. [Google Scholar]
- Marcuse, R. Antioxidative Effect of Amino-Acids. Nature 1960, 186, 886–887. [Google Scholar] [CrossRef] [PubMed]
- Kendall, A.C.; Nicolaou, A. Bioactive lipid mediators in skin inflammation and immunity. Prog. Lipid Res. 2013, 52, 141–164. [Google Scholar] [CrossRef] [PubMed]
- Karthikeyan, R.; Kanimozhi, G.; Prasad, N.R.; Agilan, B.; Ganesan, M.; Srithar, G. Alpha pinene modulates UVA-induced oxidative stress, DNA damage and apoptosis in human skin epidermal keratinocytes. Life Sci. 2018, 212, 150–158. [Google Scholar] [CrossRef]
- Hong, Y.H.; Kim, D.; Nam, G.; Yoo, S.; Han, S.Y.; Jeong, S.-G.; Kim, E.; Jeong, D.; Yoon, K.; Kim, S.; et al. Photoaging protective effects of BIOGF1K, a compound-K-rich fraction prepared from Panax ginseng. J. Ginseng Res. 2018, 42, 81–89. [Google Scholar] [CrossRef]
- Malemud, C.J. Matrix metalloproteinases (MMPs) in health and disease: An overview. Front. Biosci. 2006, 11, 1696. [Google Scholar] [CrossRef]
- Cavinato, M.; Waltenberger, B.; Baraldo, G.; Grade, C.V.C.; Stuppner, H.; Jansen-Dürr, P. Plant extracts and natural compounds used against UVB-induced photoaging. Biogerontology 2017, 18, 499–516. [Google Scholar] [CrossRef]
- Chul, K.Y.; Young, C.S.; Ye, P.E. Anti-melanogenic effects of black, green, and white tea extracts on immortalized melanocytes. J. Vet. Sci. 2015, 16, 135–143. [Google Scholar]
- Choi, H.S.; Park, E.D.; Park, Y.; Han, S.H.; Hong, K.B.; Suh, H.J. Topical application of spent coffee ground extracts pro-tects skin from ultraviolet B-induced photoaging in hairless mice. Photochem. Photobiol. Sci. Off. J. Eur. Photochem. Assoc. Eur. Soc. Photobiol. 2016, 15, 779–790. [Google Scholar]
- Sun, Z.; Hwang, E.; Park, S.Y.; Zhang, M.; Gao, W.; Lin, P.; Yi, T.-H. Angelica archangelia Prevented Collagen Degradation by Blocking Production of Matrix Metalloproteinases in UVB-exposed Dermal Fibroblasts. Photochem. Photobiol. 2016, 92, 604–610. [Google Scholar] [CrossRef] [PubMed]
- Suzana, S.; Raja, S. Polyphenols and Sunburn. Int. J. Mol. Sci. 2016, 17, 1521. [Google Scholar]
- Tandeka, M.; Pieter, S.; Sonja, S.; Elizabeth, J.; Wentzel, G. Anti-Inflammatory Effects of Aspalathus linearis and Cyclopia spp. Extracts in a UVB/Keratinocyte (HaCaT) Model Utilising Interleukin-1α Accumulation as Biomarker. Molecules 2016, 21, 1323. [Google Scholar]
- Wang, L.; Je, J.-G.; Yang, H.-W.; Jeon, Y.-J.; Lee, S. Dieckol, an Algae-Derived Phenolic Compound, Suppresses UVB-Induced Skin Damage in Human Dermal Fibroblasts and Its Underlying Mechanisms. Antioxidants 2021, 10, 352. [Google Scholar] [CrossRef] [PubMed]
- Jo, W.S.; Yang, K.M.; Park, H.S.; Kim, G.Y.; Nam, B.H.; Jeong, M.H.; Choi, Y.J. Effect of Microalgal Extracts of Tetraselmis suecica against UVB-Induced Photoaging in Human Skin Fibroblasts. Toxicol. Res. 2012, 28, 241–248. [Google Scholar] [CrossRef] [Green Version]







| Up-Regulated Metabolites | VIP | log2(FC) | p. Ajusted | Down-Regulated Metabolites | VIP | log2(FC) | p. Ajusted | 
|---|---|---|---|---|---|---|---|
| Leucodelphinidin | 4.0004 | 5.2115 | 0.000353 | (1R,6R)-6-Hydroxy-2-succinylcyclohexa-2,4-diene-1-carboxylate | 1.981 | −9.7775 | 0.000364 | 
| Citicoline | 2.0738 | 4.4126 | 0.000378 | Quercetin 3-glucoside | 1.8664 | −3.7997 | 0.004807 | 
| Pantetheine 4′-phosphate | 2.0679 | 4.3753 | 0.000335 | 2-Methyl-6-phytylhydroquinone | 1.5523 | −3.2782 | 0.0000000004 | 
| 1-O-Sinapoyl-beta-D-glucose | 1.8218 | 3.5535 | 0.0000004 | (S)-3-Hydroxybutyryl-CoA | 1.4495 | −2.7599 | 0.001836 | 
| 4-(4-Deoxy-alpha-D-gluc-4-enuronosyl)-D-galacturonate | 1.6364 | 2.8387 | 0.032985 | 15(S)-HPETE | 1.435 | −2.6728 | 0.036865 | 
| Prunasin | 1.5326 | 2.8185 | 0.012186 | Arachidic acid | 1.3926 | −2.4542 | 0.0000004 | 
| Leucopelargonidin | 1.3803 | 2.6083 | 0.012042 | 8-Methylthiooctyl-desulfoglucosinolate | 1.3725 | −2.4453 | 0.000724 | 
| Argininosuccinic acid | 1.3016 | 2.5508 | 0.000039 | Adenosine phosphosulfate | 1.3038 | −2.2126 | 0.018818 | 
| 3,6,8-Trimethylallantoin | 1.2061 | 2.4081 | 0.016974 | Amygdalin | 1.2666 | −2.1232 | 0.026546 | 
| D-Erythro-imidazole-glycerol-phosphate | 1.3016 | 1.3016 | 0.027269 | 3-alpha(S)-Strictosidine | 1.2234 | -2.0788 | 0.007547 | 
| Up-Regulated Metabolites | VIP | log2(FC) | p. Ajusted | Down-Regulated Metabolites | VIP | log2(FC) | p. Ajusted | 
|---|---|---|---|---|---|---|---|
| SAICAR | 4.0004 | 5.4584 | 0.047114 | Castasterone | 2.316 | −8.3039 | 0.000106 | 
| Leucodelphinidin | 2.2308 | 3.3671 | 0.019403 | Sirohydrochlorin | 2.0838 | −5.248 | 0.001097 | 
| 2beta-Hydroxygibberellin 1 | 1.826 | 3.2476 | 0.001585 | Kaur-16-en-18-oic acid | 1.9624 | −5.2391 | 0.004953 | 
| Argininosuccinic acid | 1.6775 | 3.0899 | 0.000441 | Vitamin K2 | 1.8252 | −5.0163 | 0.003455 | 
| Glucoiberverin | 1.3803 | 2.9702 | 0.005375 | Prephytoene diphosphate | 1.6364 | −4.9073 | 0.001097 | 
| 2-Oxo-9-methylthiononanoic acid | 1.2666 | 2.814 | 0.00000005 | 7,7′,8,8′-Tetrahydrolycopene | 1.5917 | −4.7239 | 0.000134 | 
| Galactosylglycerol | 1.1467 | 2.7782 | 0.000169 | Behenic acid | 1.5275 | −4.5183 | 0.000060 | 
| Leucocyanidin | 1.1459 | 2.7444 | 0.001885 | 7,8-Diaminononanoate | 1.4495 | −4.4145 | 0.002004 | 
| Cis-zeatin-7-N-glucoside | 1.1105 | 2.7402 | 0.000059 | N1-trans-Feruloylagmatine | 1.435 | −4.3678 | 0.000037 | 
| D-Gal alpha 1->6D-Gal al-pha 1->6D-Glucose | 0.018223 | 2.7328 | 0.001915 | 2-Deoxycastaster-one | 2.316 | −4.2749 | 0.005609 | 
| Up-Regulated Metabolites | VIP | log2(FC) | p. Ajusted | Down-Regulated Metabolites | VIP | log2(FC) | p. Ajusted | 
|---|---|---|---|---|---|---|---|
| Castasterone | 3.533 | 8.7869 | 0.000019 | (1R,6R)-6-Hydroxy-2-succinylcyclohexa-2,4-diene-1-carboxylate | 2.2308 | −7.1632 | 0.015585 | 
| Propinol adenylate | 2.316 | 6.9795 | 0.032560 | Phenylacetaldehyde | 1.826 | −5.8687 | 0.000909 | 
| Pantetheine 4′-phosphate | 2.2522 | 5.545 | 0.000002 | Adenosine phosphosulfate | 1.7621 | −4.6282 | 0.000007 | 
| 4-Hydroxycinnamic acid | 2.2308 | 5.3486 | 0.0000000005 | SAICAR | 1.6775 | −4.57 | 0.017379 | 
| Sirohydrochlorin | 2.0838 | 5.2977 | 0.000039 | 6-Geranylgeranyl-2-methylbenzene-1,4-diol | 1.5523 | −3.8981 | 0.000010 | 
| Kaur-16-en-18-oic acid | 2.0679 | 5.0538 | 0.000150 | Prostaglandin H2 | 1.2666 | −3.282 | 0.016800 | 
| Behenic acid | 1.9624 | 4.769 | 0.000002 | 15(S)-HPETE | 1.2294 | −3.1716 | 0.005833 | 
| 4-(4-Deoxy-alpha-D-gluc-4-enuronosyl)-D-galacturonate | 1.826 | 4.7415 | 0.000038 | Flavin Mononucleotide | 1.1819 | −3.082 | 0.001200 | 
| Prephytoene diphosphate | 1.8252 | 4.665 | 0.000022 | 2-Oxo-9-methylthiononanoic acid | 1.1571 | −2.9249 | 0.005972 | 
| S-(Phenylacetothiohydroxi-moyl)-L-cysteine | 0.012543 | 4.6557 | 0.000027 | Phos-phory-lcholine | 0.5808 | −2.6394 | 0.000342 | 
| Autumn Bliss | Red Autumn | Autumn Britten | |
|---|---|---|---|
| Alpha-linolenic acid | 1.0363 × 108 a | 3.8463 × 107 b | 1.0980 × 108 c | 
| ±4.3826 × 106 | ±2.2716 × 106 | ±5.3622 × 106 | |
| L-cysteine | 3.2698 × 105 a | 1.4537 × 105 b | 4.6593 × 105 c | 
| ±1.5488 × 104 | ±1.9103 × 104 | ±1.5832 × 104 | |
| Quercetun-3-glucoside | 3.0711 × 105 a | 3.0067 × 104 a | 5.1269 × 105 b | 
| ±1.1350 × 104 | ±1.0110 × 104 | ±1.0016 × 104 | |
| Vitamin K2 | 3.7465 × 105 a | 2.0264 × 104 b | 5.5264 × 105 c | 
| ±1.6836 × 104 | ±0.0254 × 104 | ±0.0509 × 104 | 
| Publisher’s Note: MDPI stays neutral with regard to jurisdictional claims in published maps and institutional affiliations. | 
© 2022 by the authors. Licensee MDPI, Basel, Switzerland. This article is an open access article distributed under the terms and conditions of the Creative Commons Attribution (CC BY) license (https://creativecommons.org/licenses/by/4.0/).
Share and Cite
Zhang, S.; Liu, Z.; Li, X.; Abubaker, M.A.; Liu, X.; Li, Z.; Wang, X.; Zhu, X.; Zhang, J.; Chen, X. Comparative Study of Three Raspberry Cultivar (Rubus idaeus L.) Leaves Metabolites: Metabolome Profiling and Antioxidant Activities. Appl. Sci. 2022, 12, 990. https://doi.org/10.3390/app12030990
Zhang S, Liu Z, Li X, Abubaker MA, Liu X, Li Z, Wang X, Zhu X, Zhang J, Chen X. Comparative Study of Three Raspberry Cultivar (Rubus idaeus L.) Leaves Metabolites: Metabolome Profiling and Antioxidant Activities. Applied Sciences. 2022; 12(3):990. https://doi.org/10.3390/app12030990
Chicago/Turabian StyleZhang, Shunbin, Zhao Liu, Xu Li, Mohamed Aamer Abubaker, Xiaoxiao Liu, Zhengdou Li, Xueqi Wang, Xinliang Zhu, Ji Zhang, and Xuelin Chen. 2022. "Comparative Study of Three Raspberry Cultivar (Rubus idaeus L.) Leaves Metabolites: Metabolome Profiling and Antioxidant Activities" Applied Sciences 12, no. 3: 990. https://doi.org/10.3390/app12030990
APA StyleZhang, S., Liu, Z., Li, X., Abubaker, M. A., Liu, X., Li, Z., Wang, X., Zhu, X., Zhang, J., & Chen, X. (2022). Comparative Study of Three Raspberry Cultivar (Rubus idaeus L.) Leaves Metabolites: Metabolome Profiling and Antioxidant Activities. Applied Sciences, 12(3), 990. https://doi.org/10.3390/app12030990
 
         
                                                
 
       