Research on Device Modeling Technique Based on MLP Neural Network for Model Parameter Extraction
Abstract
:1. Introduction
2. Data Preparation and Pre-Processing
2.1. Data Preparation
2.2. Data Pre-Processing
3. Training and Testing the MLP Neural Network
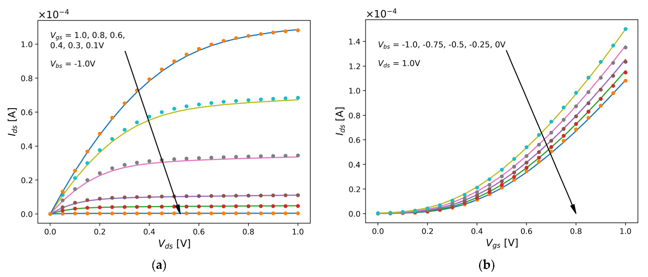
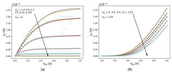
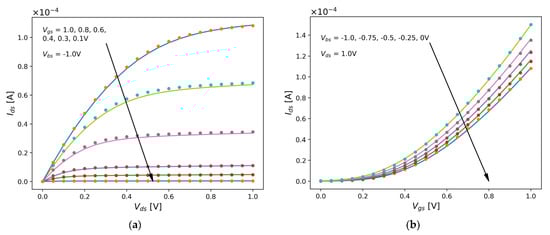
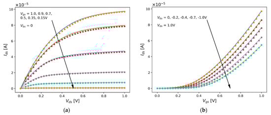
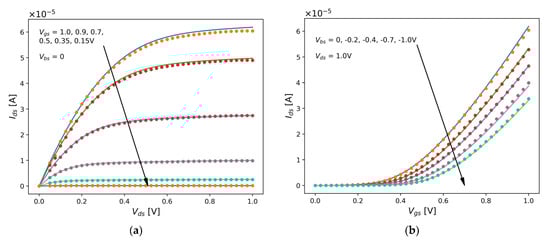
4. Results and Discussion
4.1. Error and Performance Analysis
4.2. Device Model Parameter Extraction
5. Conclusions
Author Contributions
Funding
Data Availability Statement
Acknowledgments
Conflicts of Interest
References
- Jain, A.K.; Mao, J.; Mohiuddin, K.M. Artificial neural networks: A tutorial. Computer 2015, 29, 31–44. [Google Scholar] [CrossRef] [Green Version]
- Canziani, A.; Paszke, A.; Culurciello, E. An Analysis of Deep Neural Network Models for Practical Applications. arXiv 2016, arXiv:1605.07678. [Google Scholar]
- Root, D.E. Future Device Modeling Trends. IEEE Microw. Mag. 2012, 13, 45–59. [Google Scholar] [CrossRef]
- Zhang, Z.; Wang, R.; Chen, C.; Huang, Q.; Wang, Y.; Hu, C.; Wu, D.; Wang, J.; Huang, R. New-Generation Design-Technology Co-Optimization (DTCO): Machine-Learning Assisted Modeling Framework. In Proceedings of the 2019 Silicon Nanoelectronics Workshop (SNW), Kyoto, Japan, 9–10 June 2019; pp. 1–2. [Google Scholar]
- Zhang, A.; Gao, J. InP HBT Small Signal Modeling based on Artificial Neural Network for Millimeter-wave Application. In Proceedings of the 2020 IEEE MTT-S International Conference on Numerical Electromagnetic and Multiphysics Modeling and Optimization (NEMO), Hangzhou, China, 7–9 December 2020; pp. 1–3. [Google Scholar]
- Liu, W.; Na, W.; Feng, F.; Zhu, L.; Lin, Q. A Wiener-Type Dynamic Neural Network Approach to the Modeling of Nonlinear Microwave Devices and Its Applications. In Proceedings of the 2020 IEEE MTT-S International Conference on Numerical Electromagnetic and Multiphysics Modeling and Optimization (NEMO), Hangzhou, China, 7–9 December 2020; pp. 1–3. [Google Scholar]
- Wang, S.; Roger, M.; Sarrazin, J.; Lelandais-Perrault, C. Hyperparameter Optimization of Two-Hidden-Layer Neural Networks for Power Amplifiers Behavioral Modeling Using Genetic Algorithms. IEEE Microw. Wirel. Compon. Lett. 2019, 29, 802–805. [Google Scholar] [CrossRef]
- Liu, W.; Zhu, L.; Feng, F.; Zhang, W.; Liu, G.J.M. A Time Delay Neural Network Based Technique for Nonlinear Microwave Device Modeling. Micromachines 2020, 11, 831. [Google Scholar] [CrossRef] [PubMed]
- Xu, J.; Root, D.E. Advances in artificial neural network models of active devices. In Proceedings of the IEEE Mtt-s International Conference on Numerical Electromagnetic & Multiphysics Modeling & Optimization, Limoges, France, 6–8 July 2022; pp. 1–3. [Google Scholar]
- Zhang, L.; Chan, M. Artificial neural network design for compact modeling of generic transistors. J. Comput. Electron. 2017, 16, 825–832. [Google Scholar] [CrossRef]
- Klemme, F.; Prinz, J.; Santen, V.M.v.; Henkel, J.; Amrouch, H. Modeling Emerging Technologies using Machine Learning: Challenges and Opportunities. In Proceedings of the 2020 IEEE/ACM International Conference On Computer Aided Design (ICCAD), San Diego, CA, USA, 2–5 November 2020; p. 1367. [Google Scholar]
- Li, M.; İrsoy, O.; Cardie, C.; Xing, H.G. Physics-Inspired Neural Networks for Efficient Device Compact Modeling. IEEE J. Explor. Solid-State Comput. Devices Circuits 2016, 2, 44–49. [Google Scholar] [CrossRef]
- Sheu, B.J.; Scharfetter, D.L.; Ko, P.K.; Jeng, M.C.J.S.-S.C. BSIM: Berkeley short-channel IGFET model for MOS transistors. IEEE J. Solid-State Circuits 1987, 22, 558–566. [Google Scholar] [CrossRef]
- Petrosyants, K.O.; Ismail-zade, M.R.; Sambursky, L.M.; Dvornikov, O.V.; Lvov, B.G.; Kharitonov, I.A. Automation of parameter extraction procedure for Si JFET SPICE model in the −200…+110 °C temperature range. In Proceedings of the 2018 Moscow Workshop on Electronic and Networking Technologies (MWENT), Moscow, Russia, 14–16 March 2018; pp. 1–5. [Google Scholar]
- Cortes-Ordonez, H.; Haddad, C.; Mescot, X.; Romanjek, K.; Ghibaudo, G.; Estrada, M.; Cerdeira, A.; Iñiguez, B. Parameter Extraction and Compact Modeling of OTFTs From 150 K to 350 K. IEEE Trans. Electron Devices 2020, 67, 5685–5692. [Google Scholar] [CrossRef]
- Leonhardt, A.; Ferreira, L.F.; Bampi, S. Nanoscale FinFET global parameter extraction for the BSIM-CMG model. In Proceedings of the 2015 IEEE 6th Latin American Symposium on Circuits & Systems (LASCAS), Montevideo, Uruguay, 24–27 February 2015; pp. 1–4. [Google Scholar]
- Tanaka, C.; Matsuzawa, K.; Miyata, T.; Adachi, K.; Hokazono, A. Investigation of BSIM4 parameter extraction and characterization for Multi Gate Oxide-Dual Work Function (MGO-DWF)-MOSFET. In Proceedings of the 2016 Joint International EUROSOI Workshop and International Conference on Ultimate Integration on Silicon (EUROSOI-ULIS), Vienna, Austria, 25–27 January 2016; pp. 96–99. [Google Scholar]
- Allan, P.J.A.N. Approximation theory of the MLP model in neural networks. Acta Numer. 1999, 8, 143–195. [Google Scholar]
- Karlik, B.; Olgac, A.V. Performance Analysis of Various Activation Functions in Generalized MLP Architectures of Neural Networks. Int. J. Artif. Intell. Expert Syst. 2011, 1, 111–122. [Google Scholar]
- Koh, R.; Yamagami, S.; Lee, J.W.; Waka Ba Yashi, H.; Saito, Y.; Ogura, A.; Narihiro, M.; Arai, K.; Takemura, H.; Mogami, T. Soi Mosfet. U.S. Patent 6933569 B2, 23 August 2005. [Google Scholar]
- Iman, R.L.; Davenport, J.M.; Zeigler, D.K. Latin Hypercube Sampling (Program User’s Guide). [LHC, in FORTRAN]; Sandia Labs.: Albuquerque, NM, USA, 1980.
- Yang, Y.; Li, C. Quantitative analysis of the generalization ability of deep feedforward neural networks. J. Intell. Fuzzy Syst. 2021, 40, 4867–4876. [Google Scholar] [CrossRef]
- Choudhury, T.A.; Hosseinzadeh, N.; Berndt, C.C. Improving the Generalization Ability of an Artificial Neural Network in Predicting In-Flight Particle Characteristics of an Atmospheric Plasma Spray Process. J. Therm. Spray Techn. 2012, 21, 935–949. [Google Scholar] [CrossRef]
- Shalabi, L.A.; Shaaban, Z. Normalization as a Preprocessing Engine for Data Mining and the Approach of Preference Matrix. In Proceedings of the 2006 International Conference on Dependability of Computer Systems, Szklarska Poreba, Poland, 25–27 May 2006; pp. 207–214. [Google Scholar]
- Tai, Q.Y.; Shin, K.S. GA-based Normalization Approach in Back-propagation Neural Network for Bankruptcy Prediction Modeling. J. Intell. Inf. Syst. 2010, 16, 1–14. [Google Scholar]
- Hecht-Nielsen, R. Theory of the Backpropagation Neural Network. Int. 1989 Jt. Conf. Neural Netw. 1989, 1, 593–605. [Google Scholar]
- Villa, A.; Duch, W.; Erdi, P.; Masulli, F.; Palm, G. Artificial Neural Networks and Machine Learning—ICANN 2012; Springer: Berlin, Germany, 2011. [Google Scholar]
- Kingma, D.; Ba, J.J.C.S. Adam: A Method for Stochastic Optimization. arXiv 2014, arXiv:1412.6980. [Google Scholar]
- Cheng, Y. BSIM3v3 Manual; Department of Electrical Engineering & Computer Science, University of California: Berkeley, CA, USA, 1996. [Google Scholar]
- Akaike, H. Information theory as an extension of the maximum likelihood principle. In Proceedings of the Second International Symposium on Information Theory, Budapest, Hungary, 2–8 September 1971; pp. 267–281. [Google Scholar]
- Sugiura, N. Further analysts of the data by akaike’ s information criterion and the finite corrections. Commun. Stat. Theory Methods 1978, 7, 13–26. [Google Scholar] [CrossRef]
- Xue, Y.; Wang, W.; Zhu, H.; Zheng, G.; Cui, Z. An Inversion Method for Shallow Water Geoacoustic Parameters Based on BIC Criterion. In Proceedings of the 2021 OES China Ocean Acoustics (COA), Harbin, China, 14–17 July 2021; pp. 192–196. [Google Scholar]














| Model Parameters | Description |
|---|---|
| Bigc | Parameter for Igcs and Igcd |
| Nrecr0 | Recombination non-ideality factor at reversed bias for source |
| Beta2 | Third Vds dependent parameter of impact ionization current |
| Vtun0 | Voltage dependent parameter for tunneling current for source |
| Ntun | Reverse tunneling non-ideality factor for source |
| No. | NN | AIC | AICc | BIC | RR | RE-10% |
|---|---|---|---|---|---|---|
| 1 | 134-160-160-160-1 | −3.6964 × 106 | −3.5891 × 106 | −2.9608 × 106 | 5.38% | 2.02% |
| 2 | 134-120-120-120-1 | −3.6945 × 106 | −3.6624 × 106 | −3.2394 × 106 | 6.18% | 3.81% |
| 3 | 134-100-100-100-1 | −3.6564 × 106 | −3.6401 × 106 | −3.3174 × 106 | 6.53% | 5.83% |
| 4 | 134-150-150-150-1 | −3.6832 × 106 | −3.6031 × 106 | −3.0238 × 106 | 5.48% | 2.67% |
| 5 | 134-190-190-190-1 | −3.5421 × 106 | −3.2832 × 106 | −2.5539 × 106 | 5.66% | 2.95% |
| No. | T | W | L | Bigc | Nrecr0 | Beta2 | Vtun0 | Ntun |
|---|---|---|---|---|---|---|---|---|
| (°C) | (nm) | (nm) | ((Fs2/g)0.5m−1V−1) | (-) | (V) | (V) | (-) | |
| 1 | 43 | 804 | 705 | 0.004556 | 3.035 | 0.06692 | 0.5217 | 1.179 |
| 2 | 40 | 742 | 364 | 0.003386 | 3.300 | 0.08025 | 0.4921 | 1.046 |
| 3 | 65 | 936 | 1055 | 0.002766 | 2.795 | 0.07883 | 0.5806 | 1.346 |
| 4 | −26 | 1178 | 254 | 0.006996 | 2.529 | 0.04238 | 0.3751 | 1.016 |
| 5 | 31 | 758 | 463 | 0.007036 | 2.991 | 0.03853 | 1.1110 | 1.410 |
| 6 | 28 | 1237 | 182 | 0.009446 | 2.240 | 0.03931 | 0.5623 | 0.997 |
| 7 | −5 | 1211 | 405 | 0.006202 | 2.665 | 0.07713 | 0.8417 | 1.049 |
| 8 | 101 | 762 | 363 | 0.003523 | 2.175 | 0.06655 | 1.1560 | 1.284 |
| 9 | 61 | 1412 | 834 | 0.001907 | 3.303 | 0.06904 | 1.0025 | 1.497 |
| 10 | 6 | 902 | 111 | 0.008876 | 3.252 | 0.02890 | 1.1886 | 1.484 |
| No. | RR-All | RR-Sub | RR-Nonsub |
|---|---|---|---|
| 1 | 4.59% | 6.83% | 4.01% |
| 2 | 3.05% | 4.02% | 2.54% |
| 3 | 3.13% | 3.67% | 2.87% |
| 4 | 4.54% | 6.58% | 3.39% |
| 5 | 5.20% | 6.06% | 4.81% |
| 6 | 6.68% | 7.30% | 6.41% |
| 7 | 2.95% | 3.15% | 2.91% |
| 8 | 3.01% | 5.08% | 2.43% |
| 9 | 2.98% | 3.63% | 2.83% |
| 10 | 5.91% | 6.11% | 5.87% |
| Number of IV Curves | SPICE (s) | NN Model (s) | Multiplier of Speed Increase |
|---|---|---|---|
| 5000 | 19,934.43 | 20.67 | 964.41 |
| 10,000 | 39,822.99 | 30.95 | 1286.69 |
| 15,000 | 59,729.98 | 46.12 | 1295.10 |
| 20,000 | 79,630.48 | 61.04 | 1304.56 |
Publisher’s Note: MDPI stays neutral with regard to jurisdictional claims in published maps and institutional affiliations. |
© 2022 by the authors. Licensee MDPI, Basel, Switzerland. This article is an open access article distributed under the terms and conditions of the Creative Commons Attribution (CC BY) license (https://creativecommons.org/licenses/by/4.0/).
Share and Cite
Kang, H.; Wu, Y.; Chen, L.; Zhang, X. Research on Device Modeling Technique Based on MLP Neural Network for Model Parameter Extraction. Appl. Sci. 2022, 12, 1357. https://doi.org/10.3390/app12031357
Kang H, Wu Y, Chen L, Zhang X. Research on Device Modeling Technique Based on MLP Neural Network for Model Parameter Extraction. Applied Sciences. 2022; 12(3):1357. https://doi.org/10.3390/app12031357
Chicago/Turabian StyleKang, Haixia, Yuping Wu, Lan Chen, and Xuelian Zhang. 2022. "Research on Device Modeling Technique Based on MLP Neural Network for Model Parameter Extraction" Applied Sciences 12, no. 3: 1357. https://doi.org/10.3390/app12031357
APA StyleKang, H., Wu, Y., Chen, L., & Zhang, X. (2022). Research on Device Modeling Technique Based on MLP Neural Network for Model Parameter Extraction. Applied Sciences, 12(3), 1357. https://doi.org/10.3390/app12031357

