Aerodynamic Characteristics of Morphing Supercritical Airfoils for Aircraft with All-Stage High Performance
Abstract
:1. Introduction
2. Conceptual Aircraft with Morphing Airfoil
3. Numerical Simulation Method
3.1. Mathematical Model and Numerical Method
3.2. CFD Verification and Validation
4. Results and Discussion
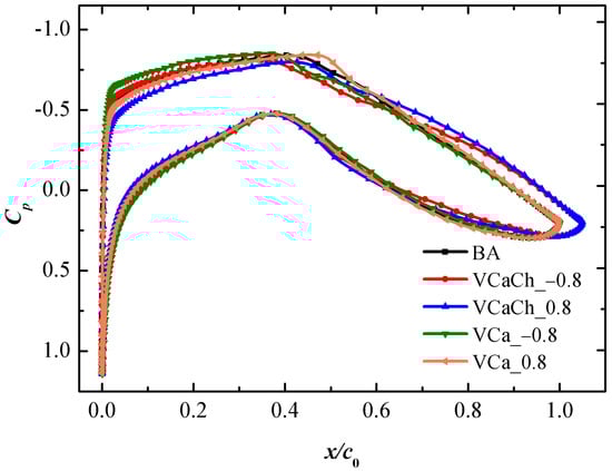
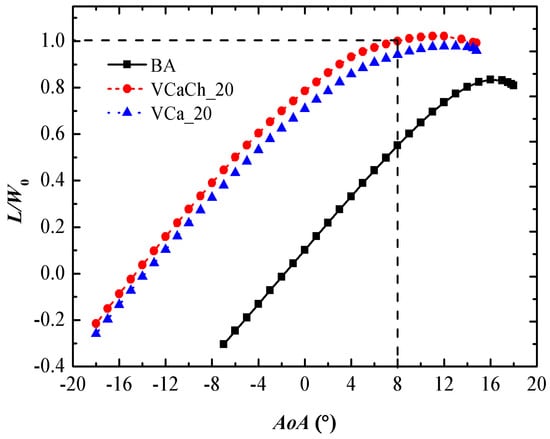
4.1. The Take-Off Stage at the Airport
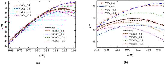
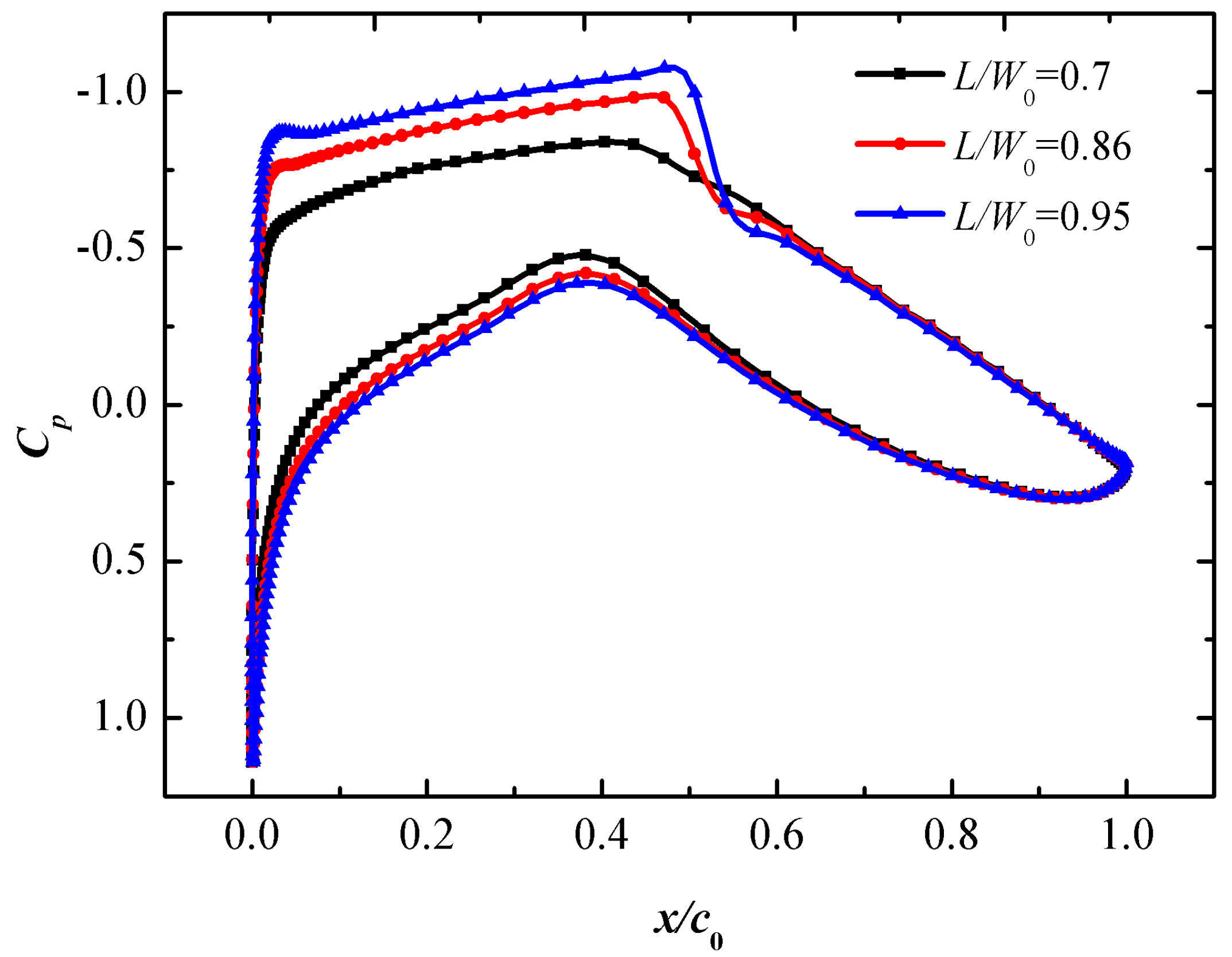
4.2. The First High-Speed Cruise Stage of Flying to the Destination
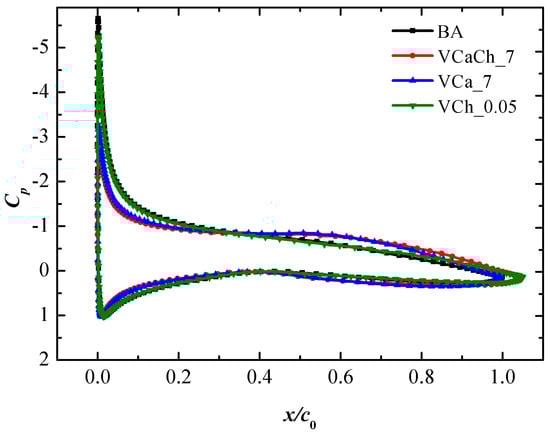
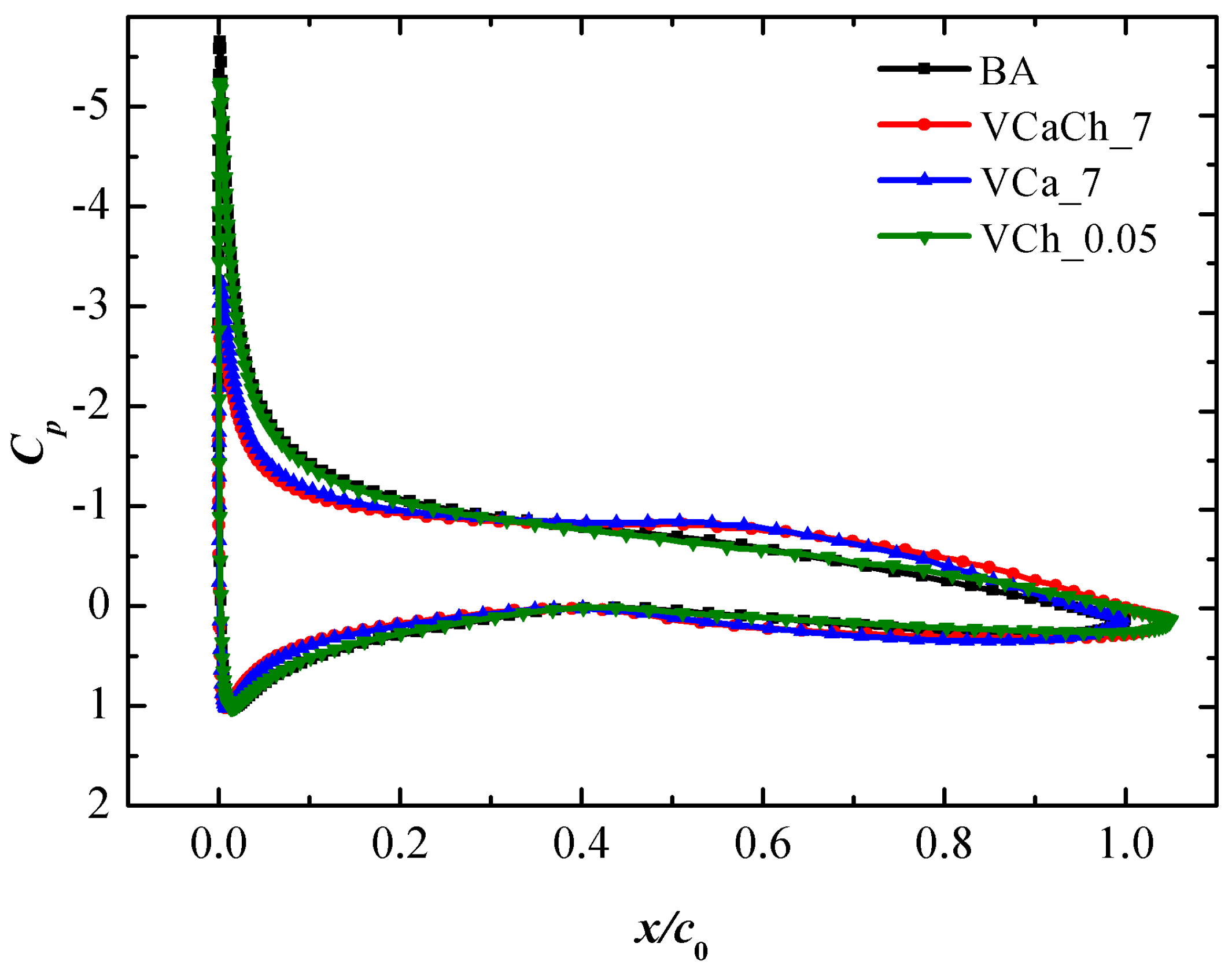
4.3. Low-Speed Flight Stage above the Destination
4.4. The Second High-Speed Cruise Stage of Flying Back to the Airport
5. Conclusions
- (1)
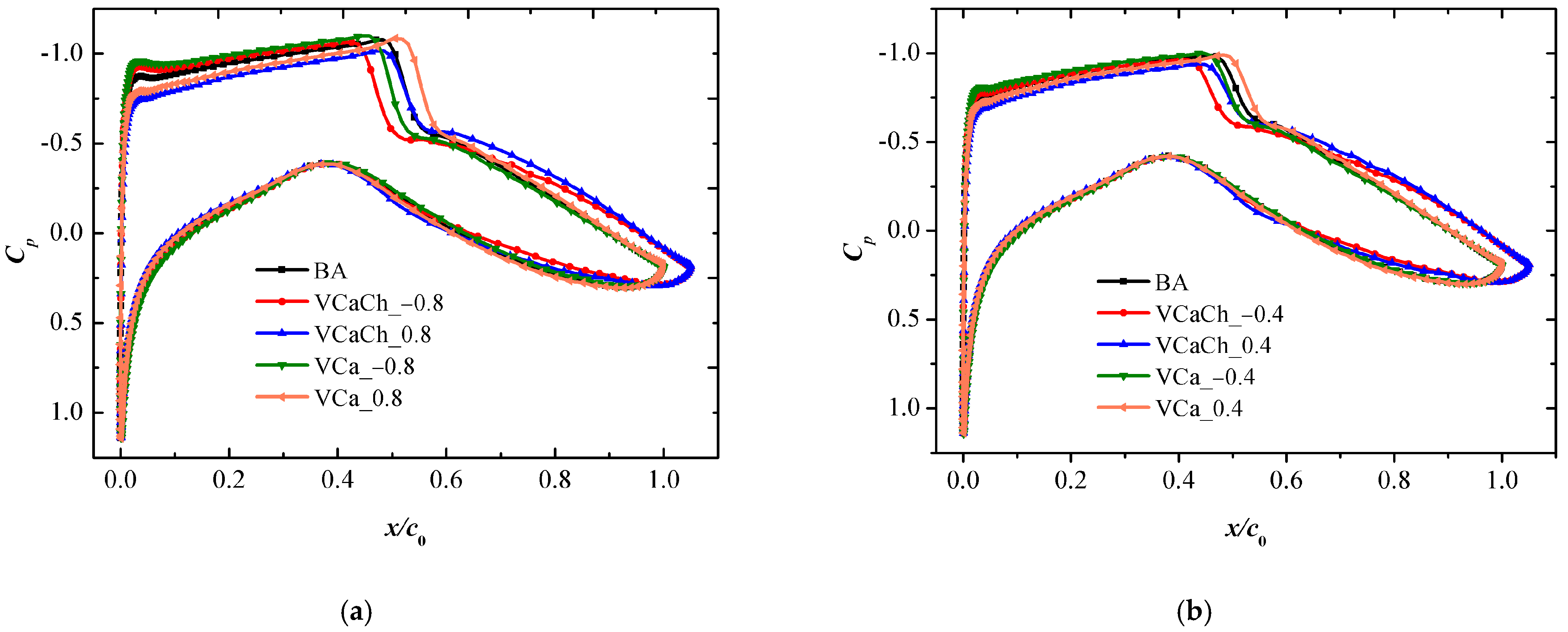
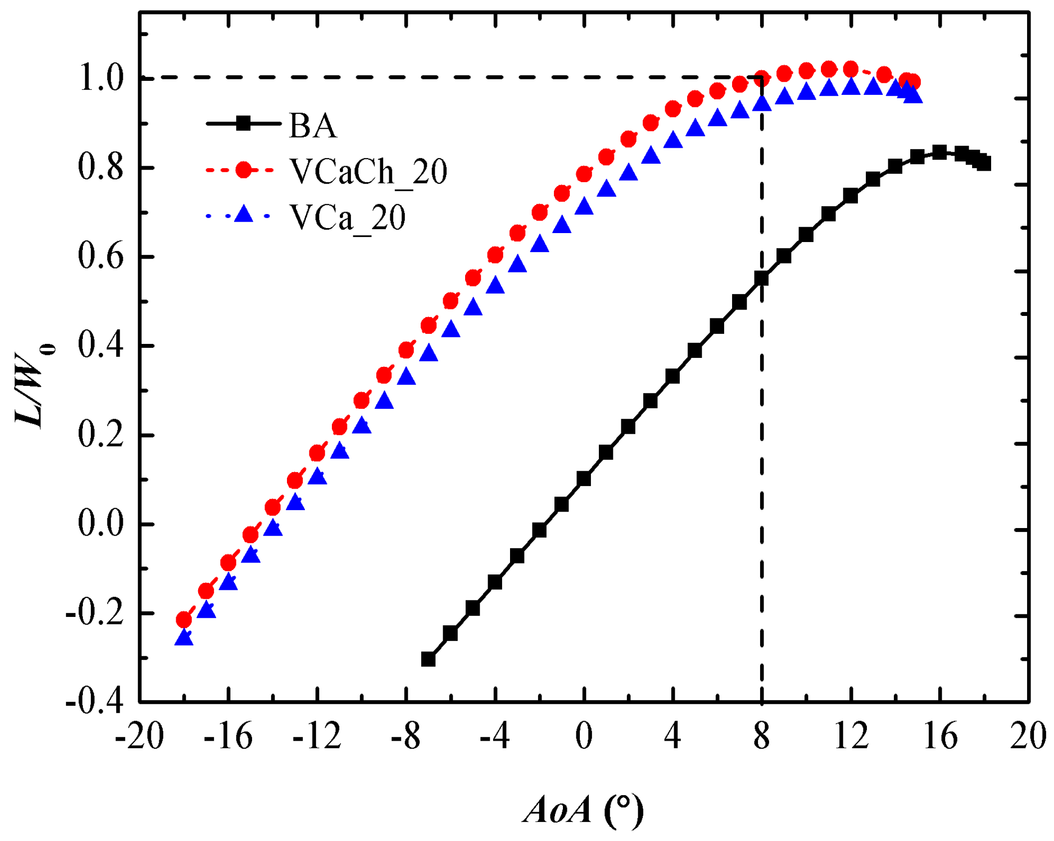
- Both VCaCh and VCa morphing methods could improve the lift during the take-off stage. The benefits of VCaCh morphing method are more significant when the trailing edge deflects at the same angle. Therefore, if the take-off weight is large, the VCaCh morphing method is required.
- (2)
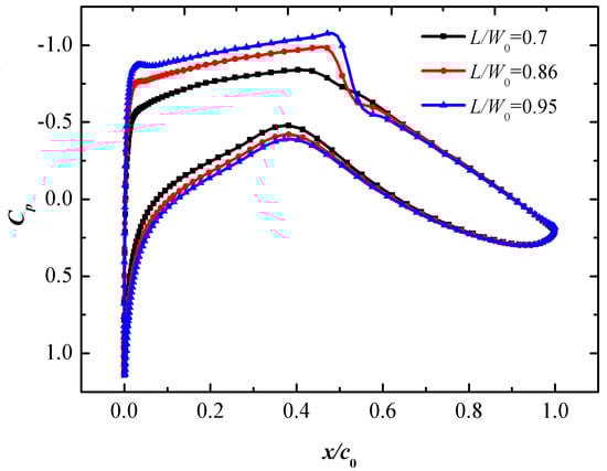
- During the first high-speed cruise stage of flying to the destination, the shock wave is quite strong at a larger L/W0. The VCaCh morphing method can significantly weaken the shock wave, reduce the shock-wave drag, and thus increase the lift-to-drag ratio.
- (3)
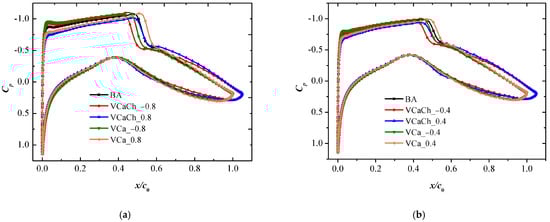
- During the low-speed flight stage above the destination, the pressure drag of VCaCh and VCa airfoils can be significantly reduced, which highly improves the lift–drag ratio.
- (4)
- The required lift force is small during the second high-speed cruise stage of flying back to the airport, and the shock wave is weak at a small L/W0. At this time, using the VCa morphing method of trailing-edge downward deflection could improve the lift–drag ratio, but the benefits are pretty small. This can be explained in that a variable camber improves the lift–drag ratio mainly through reducing the shock-wave drag, but the original shock-wave drag is actually small, so the influence of the variable camber on total drag is small.
- (5)
- During all stages of the flight, the adaptation of a VCaCh or VCa morphing method in a real-time manner can not only improve the high lift characteristics at take-off stage, but also increase the lift-to-drag ratio at transonic cruise and low-speed task stages during which the required lift is continuously decreasing due to the consumption of fuel, which implies that aircraft with proper morphing airfoil can achieve all-stage high aerodynamic performance.
Author Contributions
Funding
Institutional Review Board Statement
Informed Consent Statement
Acknowledgments
Conflicts of Interest
References
- Ajanic, E.; Feroskhan, M.; Mintchev, S.; Noca, F.; Floreano, D. Bioinspired wing and tail morphing extends drone flight capabilities. Sci. Robot. 2020, 5, eabc2897. [Google Scholar] [CrossRef]
- Wu, K.; Zhang, P.; Wu, H. A new control design for a morphing UAV based on disturbance observer and command filtered backstepping techniques. Sci. China Technol. Sci. 2019, 62, 1845–1853. [Google Scholar] [CrossRef]
- Weisshaar, T.A. Morphing Aircraft Systems: Historical Perspectives and Future Challenges. J. Aircr. 2013, 50, 337–353. [Google Scholar] [CrossRef]
- Cui, E.J.; Bai, P.; Yang, J.M. The development path of smart morphing aircraft. Aeronaut. Manufact. Technol. 2007, 8, 38–41. [Google Scholar] [CrossRef]
- Bai, P.; Chen, Q.; Xu, G.; Liu, R.; Dong, E. Development status of key technologies and expectation about smart morphing aircraft. Acta Aerodyn. Sin. 2019, 37, 426–443. [Google Scholar]
- Chen, Q.; Yin, W.; Bai, P.; Leng, J.; Liu, Z. System design and characteristics analysis of a variable-sweep and variable-span wing-body. Acta Aeronaut. Astronaut. Sin. 2010, 31, 606–613. [Google Scholar]
- Xu, H.; Han, J.; Yun, H.; Chen, X. Calculation of the Hinge Moments of a Folding Wing Aircraft during the Flight-Folding Process. Int. J. Aerosp. 2019, 2019, 9362629. [Google Scholar] [CrossRef]
- Sun, J.; Guan, Q.; Liu, Y.; Leng, J. Morphing aircraft based on smart materials and structures: A state-of-the-art review. J. Intell. Mater. Syst. Struct. 2016, 27, 2289–2312. [Google Scholar] [CrossRef]
- Sun, X.; Gu, L.; Gong, C. Dynamics of a deflectable-nose missile. Sci. China Technol. Sci. 2012, 55, 3483–3494. [Google Scholar] [CrossRef]
- Yan, B.B.; Li, Y.; Dai, P.; Liu, S.X. Aerodynamic Analysis, Dynamic Modeling, and Control of a Morphing Aircraft. J. Aerosp. Eng. 2019, 32, 04019058. [Google Scholar] [CrossRef]
- Ameduri, S.; Concilio, A. Morphing wings review: Aims, challenges, and current open issues of a technology. Proc. Inst. Mech. Eng. Part C J. Mech. Eng. Sci. 2020, 0954406220944423. [Google Scholar] [CrossRef]
- Guo, S. Morphing Wing Technologies: Large Commercial Aircraft and Civil Helicopters. Aeronaut. J. 2020, 124, 2048–2053. [Google Scholar] [CrossRef]
- Liu, H.; Gao, X.; Wang, X. Parametric active aeroelastic control of a morphing wing using the receptance method. J. Fluids Struct. 2020, 98, 103098. [Google Scholar] [CrossRef]
- Fonzi, N.; Brunton, S.L.; Fasel, U. Data-driven nonlinear aeroelastic models of morphing wings for control. Proc. R. Soc. A Math. Phys. Eng. Sci. 2020, 476, 20200079. [Google Scholar] [CrossRef]
- Yang, W.; Xuan, J.; Song, B. Experimental Study on Flexible Deformation of a Flapping Wing with a Rectangular Planform. Int. J. Aerosp. Eng. 2020, 2020, 8857078. [Google Scholar] [CrossRef]
- Wang, C.; Zhang, R.; Zhou, C.; Sun, Z. Numerical Investigation on Flapping Aerodynamic Performance of Dragonfly Wings in Crosswind. Int. J. Aerosp. Eng. 2020, 2020, 7325154. [Google Scholar] [CrossRef] [Green Version]
- Xue, R.; Ye, Z.; Ye, K. Active aeroelastic wing application on a forward swept wing configuration. Eng. Appl. Comput. Fluid Mech. 2019, 13, 1063–1079. [Google Scholar] [CrossRef] [Green Version]
- De Gaspari, A.; Moens, F. Aerodynamic Shape Design and Validation of an Advanced High-Lift Device for a Regional Aircraft with Morphing Droop Nose. Int. J. Aerosp. Eng. 2019, 2019, 7982168. [Google Scholar] [CrossRef] [Green Version]
- Yin, D.; Zhang, Z. Design, fabrication and kinematics of a bio-inspired robotic bat wing. Sci. China-Technol. Sci. 2016, 59, 1921–1930. [Google Scholar] [CrossRef]
- Li, M.; Yuan, J.; Guan, D.; Chen, W. Application of piezoelectric fiber composite actuator to aircraft wing for aerodynamic performance improvement. Sci. China-Technol. Sci. 2011, 54, 395–402. [Google Scholar] [CrossRef]
- Lobo do Vale, J.; Raffaelli, J.; Suleman, A. Experimental Validation and Evaluation of a Coupled Twist-Camber Morphing Wing Concept. Appl. Sci. 2021, 11, 10631. [Google Scholar] [CrossRef]
- Pecora, R. Morphing wing flaps for large civil aircraft: Evolution of a smart technology across the Clean Sky program. Chin. J. Aeronaut. 2021, 34, 13–28. [Google Scholar] [CrossRef]
- Wang, B.W.; Yang, Y.; Qian, Z.S.; Wang, Z.G.; Lv, S.S. Review of technical development of variable camber wing. Acta Aeronaut. et Astronaut. Sin. 2020, 57, 603–614. [Google Scholar]
- Concilio, A.; Dimino, I.; Pecora, R. SARISTU: Adaptive Trailing Edge Device (ATED) design process review. Chin. J. Aeronaut. 2020, 34, 187–210. [Google Scholar] [CrossRef]
- You, H.; Kim, S.; Yun, G.J. Design Criteria for Variable Camber Compliant Wing Aircraft Morphing Wing Skin. AIAA J. 2020, 58, 867–878. [Google Scholar] [CrossRef]
- Niu, W.; Zhang, Y.; Chen, H.; Zhang, M. Numerical study of a supercritical airfoil/wing with variable-camber technology. Chin. J. Aeronaut. 2020, 33, 1850–1866. [Google Scholar] [CrossRef]
- Keidel, D.; Fasel, U.; Ermanni, P. Control Authority of a Camber Morphing Flying Wing. J. Aircr. 2020, 57, 603–614. [Google Scholar] [CrossRef]
- Kan, Z.; Li, D.; Shen, T.; Xiang, J.; Zhang, L. Aerodynamic characteristics of morphing wing with flexible leading-edge. Chin. J. Aeronaut. 2020, 33, 2610–2619. [Google Scholar] [CrossRef]
- Kaul, U.K.; Nguyen, N.T. Drag Characterization Study of Variable Camber Continuous Trailing Edge Flap. J. Fluids Eng. 2018, 140, 101108. [Google Scholar] [CrossRef]
- Tian, Y.; Wang, T.; Liu, P.; Feng, P. Aerodynamic/mechanism optimization of a variable camber Fowler flap for general aviation aircraft. Sci. China Technol. Sci. 2017, 60, 1144–1159. [Google Scholar] [CrossRef]
- Yin, W. Stiffness requirement of flexible skin for variable trailing-edge camber wing. Sci. China Technol. Sci. 2010, 53, 1077–1081. [Google Scholar] [CrossRef]
- Wakayama, S.; White, E.V. Evaluation of Adaptive Compliant Trailing Edge Technology. In Proceedings of the 33rd AIAA Applied Aerodynamics Conference, Dallas, TX, USA, 22–26 June 2015. [Google Scholar]
- Kota, S.; Flick, P.; Collier, F. Flight Testing of the FlexFloilTrade Adaptive Compliant Trailing Edge. In Proceedings of the 54th AIAA Aerospace Sciences Meeting, San Diego, CA, USA, 4–8 January 2016. [Google Scholar]
- Smith, M.S.; Bui, T.T.; Garcia, C.A.; Cumming, S.B. Longitudinal aerodynamic modeling of the adaptive compliant trailing edge flaps on a GIII airplane and comparisons to flight date. In Proceedings of the AIAA Atmospheric Flight Mechanics Conference, Washington, DC, USA, 13–17 June 2016. [Google Scholar]
- Nguyen, N. NASA Innovation Fund 2010 Project: Elastically Shaped Future Air Vehicle Concept; NASA Ames Research Center: Moffett Field, CA, USA, 2010. [Google Scholar]
- Nguyen, N.; Trinh, K.; Reynolds, K.; Kless, J.; Aftosmis, M.; Sr, J.U.; Ippolito, C. Elastically shaped wing optimization and aircraft concept for improved cruise efficiency. In Proceedings of the 51st AIAA Aerospace Sciences Meeting, Grapevine, TX, USA, 7–10 January 2013. [Google Scholar]
- Ting, E.; Chaparro, D.; Nhan, N.; Fujiwara, G.E.C. Optimization of Variable-Camber Continuous Trailing-Edge Flap Configuration for Drag Reduction. J. Aircr. 2018, 55, 2217–2239. [Google Scholar] [CrossRef]
- Liu, Y.; Bai, J.; Livne, E. Robust Optimization of Variable-Camber Continuous Trailing-Edge Flap Static Aeroelastic Action. AIAA J. 2017, 55, 1031–1043. [Google Scholar] [CrossRef]
- Chen, Q.; Bai, P.; Yin, W.; Leng, J.; Zhan, H.; Liu, Z. Analysis on the aerodynamic characteristics of variable camber airfoils with continuous smooth morphing trailing edge. Acta Aerodyn. Sin. 2010, 28, 46–53. [Google Scholar]
- Majid, T.; Jo, B.W. Comparative Aerodynamic Performance Analysis of Camber Morphing and Conventional Airfoils. Appl. Sci. 2021, 11, 10663. [Google Scholar] [CrossRef]
- Lu, W.S.; Tian, Y.; Liu, P.Q. Aerodynamic optimization and mechanism design of flexible variable camber trailing-edge flap. Chin. J. Aeronaut. 2017, 30, 988–1003. [Google Scholar] [CrossRef]
- Burdette, D.A.; Martins, J.R.R.A. Design of a transonic wing with an adaptive morphing trailing edge via aerostructural optimization. Aerosp. Sci. Technol. 2018, 81, 192–203. [Google Scholar] [CrossRef]
- Lyu, Z.; Martins, J.R.R.A. Aerodynamic Shape Optimization of an Adaptive Morphing Trailing-Edge Wing. J. Aircr. 2015, 52, 1951–1970. [Google Scholar] [CrossRef] [Green Version]
- Guo, T.; Bai, J.; Yang, T. Influence of continuous trailing-edge variable camber on aerodynamic characteristics of transonic airfoils. Acta Aeronaut. Astronaut. Sin. 2016, 37, 513–521. [Google Scholar]
- Guo, T.; Bai, J.; Yang, Y. Influence of continuous trailing-edge variable camber wing on aerodynamic characteristics of airliner. J. Beijing Univ. Aeronaut. Astronaut. 2017, 43, 1559–1566. [Google Scholar] [CrossRef]
- Guo, T.; Bai, J.; Li, L.; Chen, S. The morphing trailing-edge wing optimization design of the civil aircraft. Sci. Sin. Technol. 2018, 48, 55–66. [Google Scholar] [CrossRef]
- Shen, G.; Bai, J.; Liu, N.; Liu, R. Mechanical Simulation and Aerodynamic Analysis on a New Type of Wing Trailing Edge Variable Camber. J. Northwestern Polytech. Univ. 2016, 34, 578–586. [Google Scholar]
- Liang, Y.; Shan, X. Aerodynamic analysis and optimization design for variable camber airfoil of civil transport jet. Acta Aeronaut. Astronaut. Sin. 2016, 37, 790–798. [Google Scholar]
- He, M.; Yang, T.; Bai, J.Q.; Yang, Y. Drag reduction benefits of variable camber technology of airliner based on trailing-edge flap deflection. Acta Aeronaut. Astronaut. Sin. 2020, 41, 165–180. [Google Scholar]
- Lei, R.; Bai, J.; Xu, D.; Ma, S.; Hui, X.; Wang, H. Research on variable camber wing of civil aircraft considering buffeting characteristics. Sci. Sin. Technol. 2020, 50, 161–174. [Google Scholar]
- Magrini, A.; Benini, E. Aerodynamic Optimization of a Morphing Leading Edge Airfoil with a Constant Arc Length Parameterization. J. Aerosp. Eng. 2018, 31, 04017093. [Google Scholar] [CrossRef]
- Joo, J.J.; Marks, C.R.; Zientarski, L.; Culler, A. Variable camber compliant wing—Design. In Proceedings of the 23rd AIAA Adaptive Structures Conference, Kissimmee, FL, USA, 5–9 January 2015. [Google Scholar]
- Yeongmin, J.; Seongim, C.; Zientarski, L.A.; Joo, J.J. Aerodynamic characteristics and optimization techniques of a variable camber compliant win. In Proceedings of the 34th AIAA Applied Aerodynamics Conference, Washington, DC, USA, 13–17 June 2016. [Google Scholar]
- Kong, B.; Wang, F.; Zhou, T. The aerodynamic design of seamlessly camber-variable airfoil based on circulation control. Acta Aerodyn. Sin. 2013, 31, 583–586. [Google Scholar]
- Lu, W.S.; Tian, Y.; Liu, P.Q.; Wang, T.; Zhang, L. Aerodynamic performance of GAW-1 airfoil leading-edge and trailing-edge variable camber. Acta Aeronaut. Astronaut. Sin. 2016, 37, 437–450. [Google Scholar]
- Menshchikov, A.; Somov, A. Morphing wing with compliant aileron and slat for unmanned aerial vehicles. Phys. Fluids 2019, 31, 037105. [Google Scholar] [CrossRef]
- Zhang, Z.; De Graspari, A.; Ricci, S.; Song, C.; Yang, C. Gradient-Based Aerodynamic Optimization of an Airfoil with Morphing Leading and Trailing Edges. App. Sci. 2021, 11, 1929. [Google Scholar] [CrossRef]
- Wang, B.; Hao, X.; Guo, S.; Su, C. Cruise drag reduction of variable camber wing of wide-body civil transport. Acta Aerodyn. Sin. 2019, 37, 974–982. [Google Scholar]
- Campanile, L.; Sachau, D. The belt-rib concept: A structronic approach to variable camber. J. Intell. Mater. Syst. Struct. 2000, 11, 215–224. [Google Scholar] [CrossRef]
- Li, H.; Liu, L.; Xiao, T.; Ang, H. Design and simulative experiment of an innovative trailing edge morphing mechanism driven by artificial muscles embedded in skin. Smart Mater. Struct. 2016, 25, 095004. [Google Scholar] [CrossRef]
- Bowman, J.; Sanders, B.; Cannon, B.; Kudva, J.; Weisshaar, T. Development of Next Generation Morphing Aircraft Structures. AIAA 2007-1730, 2007. In Proceedings of the 48th AIAA/ASME/ASCE/AHS/ASC Structures, Structural Dynamics, Honolulu, HI, USA, 23–26 April 2007. [Google Scholar]
- Menter, F.R. Two-equation eddy-viscosity turbulence models for engineering applications. AIAA J. 1994, 32, 1598–1605. [Google Scholar] [CrossRef] [Green Version]
- Zhang, Y.F.; Zhang, X.L. Credibility analysis of RAE2822 airfoil transonic flow computation. Aeronaut. Comput. Tech. 2009, 039, 68–70. [Google Scholar] [CrossRef]
- Yu, T.; Wang, J.J.; Zhang, P.F. Numerical Simulation of Gurney Flap on RAE-2822 Supercritical Airfoil. J. Aircr. 2011, 48, 1565–1575. [Google Scholar] [CrossRef]
- Cook, P.H.; McDonald, M.A.; Firmin, M.C.P. Aerofoil RAE 2822—Pressure Distributions, and Boundary Layer and Wake Measurements; AGARD Report AR 138; Technical Editing and Reproduction Ltd.: London, Britain, 1979. [Google Scholar]
- Haase, W.; Brandsma, F.; Elsholz, E. EUROVAL—An European Initiative on Validation of CFD Codes; Notes on Numerical Fluid Mechanics, DLR; Springer: Berlin/Heidelberg, Germany, 1993. [Google Scholar]
- Paparone, L.; Tognaccini, R. Computational fluid dynamics-based drag prediction and decomposition. AIAA J. 2003, 41, 1647–1657. [Google Scholar] [CrossRef] [Green Version]













| Flight Stage | Typical Altitude (m) | Mach Number | Reynolds Number |
|---|---|---|---|
| Take off | 0 | 0.2 | 4.66 × 106 |
| Lower speed mission | 3000 | 0.3 | 5.29 × 106 |
| High-speed cruise | 11200 | 0.734 | 5.39 × 106 |
| CL | CD | CM | |
|---|---|---|---|
| Cook et al. [65], Exp. | 0.803 | 0.0168 | −0.099 |
| 0.035M | 0.75551 | 0.017697 | −0.085625 |
| 0.07M | 0.75672 | 0.017774 | −0.085838 |
| 0.14M | 0.75744 | 0.017782 | −0.085960 |
| 0.28M | 0.75743 | 0.017779 | −0.085974 |
| 0.56M | 0.75748 | 0.017783 | −0.086020 |
| Airfoil | AOA (°) | Dfriction (N) | Dpressure (N) | Dotel (N) | L/D | L/D Increment (%) |
|---|---|---|---|---|---|---|
| BA | 2.03 | 51.682338 | 51.682338 | 103.70147 | 49.71 | 0 |
| VCaCh_−0.8 | 2.34 | 53.879911 | 49.737227 | 103.61714 | 49.75 | 0.08 |
| VCaCh_−0.4 | 2.1 | 54.03176 | 48.300435 | 102.33219 | 50.375 | 1.34 |
| VCaCh_0.4 | 1.6 | 54.310334 | 46.617522 | 100.92786 | 51.076 | 2.75 |
| VCaCh_0.8 | 1.35 | 54.430309 | 46.17884 | 100.60915 | 51.238 | 3.07 |
| VCa_−0.8 | 2.49 | 51.373503 | 54.924219 | 106.29772 | 48.496 | −2.44 |
| VCa_−0.4 | 2.26 | 51.516681 | 53.360549 | 104.87723 | 49.153 | −1.12 |
| VCa_0.4 | 1.8 | 51.753826 | 52.106653 | 103.96048 | 49.586 | −0.25 |
| VCa_0.8 | 1.59 | 51.78407 | 52.895148 | 104.67922 | 49.246 | −0.93 |
| Airfoil | Dfriction (N) | Dpressure (N) | Dtotal (N) | L/D | L/D Increment (%) |
|---|---|---|---|---|---|
| BA | 27.77734 | 33.06096 | 60.8383 | 74.032 | 0 |
| VCaCh_7 | 30.77227 | 27.26645 | 58.03872 | 77.603 | 4.82 |
| VCa_7 | 29.39886 | 28.76330 | 58.16216 | 77.439 | 4.60 |
| VCh_0.05 | 29.15994 | 31.2976 | 60.45753 | 74.465 | 0.58 |
| Airfoil | Dfriction (N) | Dpressure (N) | Dtotal (N) | L/D | L/D Increment (%) |
|---|---|---|---|---|---|
| BA | 52.837902 | 33.098545 | 85.936446 | 44.195 | 0 |
| VCaCh_−0.8 | 55.075342 | 31.153174 | 86.228517 | 44.046 | −0.34 |
| VCaCh_−0.4 | 55.141862 | 31.132482 | 86.274344 | 44.022 | −0.39 |
| VCaCh_0.4 | 55.249519 | 31.376331 | 86.62585 | 43.844 | −0.79 |
| VCaCh_0.8 | 55.295188 | 31.590941 | 86.886129 | 43.712 | −1.09 |
| VCa_−0.8 | 52.70671 | 32.969936 | 85.676647 | 44.329 | 0.30 |
| VCa_−0.4 | 52.772106 | 32.983469 | 85.755575 | 44.289 | 0.21 |
| VCa_0.4 | 52.856851 | 33.41362 | 86.270472 | 44.024 | −0.39 |
| VCa_0.8 | 52.869419 | 33.960176 | 86.829596 | 43.741 | −1.03 |
Publisher’s Note: MDPI stays neutral with regard to jurisdictional claims in published maps and institutional affiliations. |
© 2022 by the authors. Licensee MDPI, Basel, Switzerland. This article is an open access article distributed under the terms and conditions of the Creative Commons Attribution (CC BY) license (https://creativecommons.org/licenses/by/4.0/).
Share and Cite
Cheng, Y.; Zeng, J.; Chen, Q.; Liang, H.; Bai, P. Aerodynamic Characteristics of Morphing Supercritical Airfoils for Aircraft with All-Stage High Performance. Appl. Sci. 2022, 12, 1128. https://doi.org/10.3390/app12031128
Cheng Y, Zeng J, Chen Q, Liang H, Bai P. Aerodynamic Characteristics of Morphing Supercritical Airfoils for Aircraft with All-Stage High Performance. Applied Sciences. 2022; 12(3):1128. https://doi.org/10.3390/app12031128
Chicago/Turabian StyleCheng, Yuwei, Jinyuan Zeng, Qian Chen, Haizhao Liang, and Peng Bai. 2022. "Aerodynamic Characteristics of Morphing Supercritical Airfoils for Aircraft with All-Stage High Performance" Applied Sciences 12, no. 3: 1128. https://doi.org/10.3390/app12031128
APA StyleCheng, Y., Zeng, J., Chen, Q., Liang, H., & Bai, P. (2022). Aerodynamic Characteristics of Morphing Supercritical Airfoils for Aircraft with All-Stage High Performance. Applied Sciences, 12(3), 1128. https://doi.org/10.3390/app12031128
