Cyclic and Fragility Analysis of a Corroded Bridge Reinforced by Steel Plates under Mainshock and Aftershock Sequences
Abstract
1. Introduction
2. Seismic Fragility Analysis
3. Multiple Hazards: Corrosion and Mainshock—Aftershock Sequences
3.1. Corrosion
3.2. Mainshock–Aftershock Sequences
4. Bridge Model and Uncertainty
5. Results
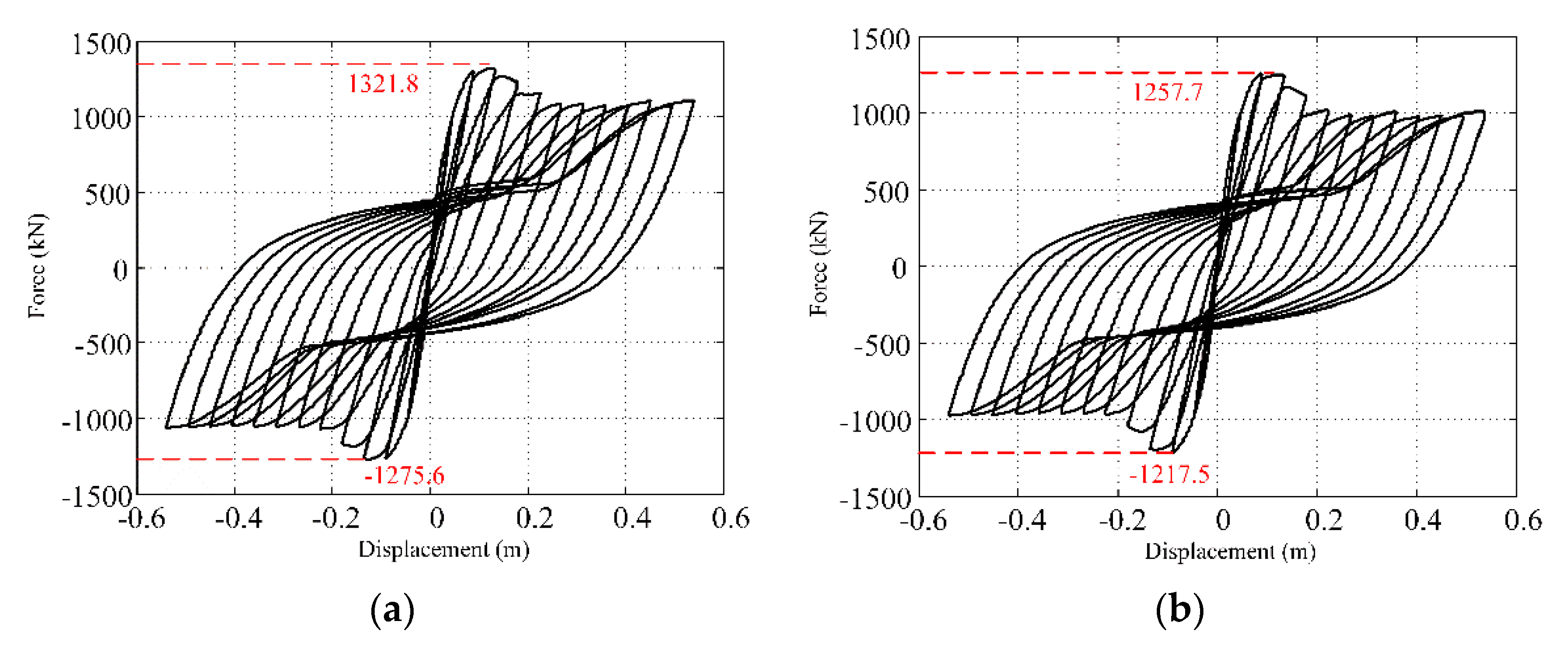
5.1. Cyclic Pushover
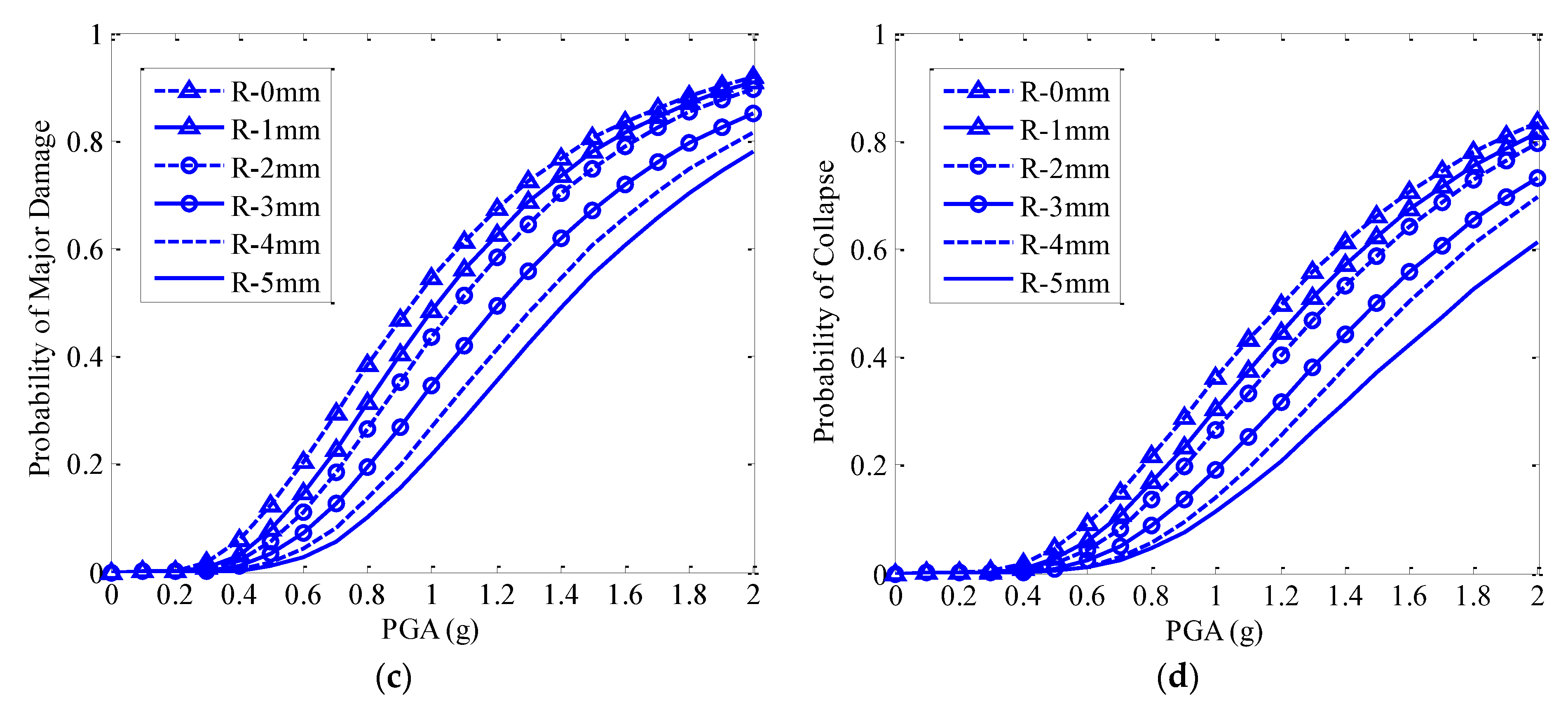
5.2. Fragility Curves
6. Discussion and Conclusions
6.1. Discussion
6.2. Conclusions
Author Contributions
Funding
Institutional Review Board Statement
Informed Consent Statement
Data Availability Statement
Conflicts of Interest
References
- Almusallam, A.A. Effect of degree of corrosion on the properties of reinforcing steel bars. Constr. Build. Mater. 2001, 15, 361–368. [Google Scholar] [CrossRef]
- Apostolopoulos, C.A.; Papadakis, V.G. Consequences of steel corrosion on the ductility properties of reinforcement bar. Constr. Build. Mater. 2008, 22, 2316–2324. [Google Scholar] [CrossRef]
- Lee, H.-S.; Cho, Y.-S. Evaluation of the mechanical properties of steel reinforcement embedded in concrete specimen as a function of the degree of reinforcement corrosion. Int. J. Fract. 2009, 157, 81–88. [Google Scholar] [CrossRef]
- Ghosh, J.; Padgett, J.E. Aging Considerations in the Development of Time-Dependent Seismic Fragility Curves. Eng. Struct. 2010, 136, 1497–1511. [Google Scholar] [CrossRef]
- Simon, J.; Bracci, J.M.; Gardoni, P. Seismic Response and Fragility of Deteriorated Reinforced Concrete Bridges. Eng. Struct. 2010, 136, 1273–1281. [Google Scholar] [CrossRef]
- Stewart, M.G. Spatial variability of pitting corrosion and its influence on structural fragility and reliability of RC beams in flexure. Struct. Saf. 2004, 26, 453–470. [Google Scholar] [CrossRef]
- Stewart, M.G.; Al-Harthy, A. Pitting corrosion and structural reliability of corroding RC structures: Experimental data and probabilistic analysis. Reliab. Eng. Syst. Saf. 2008, 93, 373–382. [Google Scholar] [CrossRef]
- Choe, D.-E.; Gardoni, P.; Rosowsky, D.; Haukaas, T. Probabilistic capacity models and seismic fragility estimates for RC columns subject to corrosion. Reliab. Eng. Syst. Saf. 2008, 93, 383–393. [Google Scholar] [CrossRef]
- Choe, D.-E.; Gardoni, P.; Rosowsky, D.; Haukaas, T. Seismic fragility estimates for reinforced concrete bridges subject to corrosion. Struct. Saf. 2009, 31, 275–283. [Google Scholar] [CrossRef]
- Choe, D.E.; Gardoni, P.; Rosowsky, D. Fragility increment functions for deteriorating reinforced concrete bridge columns. J. Eng. Mech. 2010, 136, 969–978. [Google Scholar] [CrossRef]
- Alipour, A.; Shafei, B.; Shinozuka, M.S. Capacity loss evaluation of reinforced concrete bridges located in extreme chloride-laden environments. Struct. Infrastruct. Eng. 2013, 9, 8–27. [Google Scholar] [CrossRef]
- Guo, A.; Li, H.; Ba, X.; Guan, X.; Li, H. Experimental investigation on the cyclic performance of reinforced concrete piers with chloride-induced corrosion in marine environment. Eng. Struct. 2015, 105, 1–11. [Google Scholar] [CrossRef]
- Rao, A.S.; Lepech, M.D.; Kiremidjian, A. Development of time-dependent fragility functions for deteriorating rein-forced concrete bridge piers. Struct. Infrastruct. Eng. 2017, 13, 67–83. [Google Scholar] [CrossRef]
- Jiang, C.; Wu, Y.-F.; Dai, M.-J. Degradation of steel-to-concrete bond due to corrosion. Constr. Build. Mater. 2018, 158, 1073–1080. [Google Scholar] [CrossRef]
- Wu, W.; He, X.; He, L.; Wu, C.; Zhu, A. Joints Fatigue Damage Prediction for a Steel Truss Suspension Bridge Considering Corrosion Environment. Arab. J. Sci. Eng. 2022, 47, 4879–4892. [Google Scholar] [CrossRef]
- Milone, A.; Landolfo, R. A Simplified Approach for the Corrosion Fatigue Assessment of Steel Structures in Aggressive Environments. Materials 2022, 15, 2210. [Google Scholar] [CrossRef]
- Yanez-Borjas, J.J.; Valtierra-Rodriguez, M.; Camarena-Martinez, D.; Amezquita-Sanchez, J.P. Statistical time features for global corrosion assessment in a truss bridge from vibration signals. Measurement 2020, 160, 107858. [Google Scholar] [CrossRef]
- Milone, A.; Landolfo, R.; Berto, F. Methodologies for the fatigue assessment of corroded wire ropes: A state-of-the-art review. Structures 2022, 37, 787–794. [Google Scholar] [CrossRef]
- Li, L.; Mahmoodian, M.; Li, C.Q. Prediction of fatigue failure of corrosion affected riveted connections in steel structures. Struct. Infrastruct. Eng. 2020, 16, 1524–1538. [Google Scholar] [CrossRef]
- Cao, X.-Y.; Feng, D.-C.; Wang, Z.; Wu, G. Parametric investigation of the assembled bolt-connected buckling-restrained brace and performance evaluation of its application into structural retrofit. J. Build. Eng. 2022, 48, 103988. [Google Scholar] [CrossRef]
- Ghernouti, Y.; Li, A.; Rabehi, B. Effectiveness of repair on damaged concrete columns by using fiber-reinforced polymer composite and increasing concrete section. J. Reinf. Plast. Compos. 2012, 31, 1616–1629. [Google Scholar] [CrossRef]
- El-Ariss, B. Stiffness of reinforced concrete beams with external tendons. Eng. Struct. 2004, 26, 2047–2051. [Google Scholar] [CrossRef]
- Chen, S.; Gu, P. Load carrying capacity of composite beams prestressed with external tendons under positive moment. J. Constr. Steel Res. 2005, 61, 515–530. [Google Scholar] [CrossRef]
- Tan, K.H.; Tjandra, R.A. Strengthening of RC Continuous Beams by External Prestressing. J. Struct. Eng. 2007, 133, 195–204. [Google Scholar] [CrossRef]
- Manisekar, R.; Sivakumar, P.; Lakshmikandhan, K.N. Experimental investigations on strengthening of RC beams by external prestressing. Asian J. Civ. Eng. 2014, 15, 350–363. [Google Scholar]
- Darwish, M.N.; Subedi, N.K.; Baglin, P.S. External Plate Reinforcement for Concrete Beams. J. Struct. Eng. 1999, 125, 1455–1456. [Google Scholar] [CrossRef]
- Su, R.; Zhu, Y. Experimental and numerical studies of external steel plate strengthened reinforced concrete coupling beams. Eng. Struct. 2005, 27, 1537–1550. [Google Scholar] [CrossRef]
- Li, Y.F.; Sung, Y.Y. A study on the shear-failure of circular sectioned bridge column retrofitted by using CFRP jacketing. J. Reinf. Plast. Compos. 2004, 23, 811–830. [Google Scholar] [CrossRef]
- Li, J.; Gong, J.; Wang, L. Seismic behavior of corrosion-damaged reinforced concrete columns strengthened using combined carbon fiber-reinforced polymer and steel jacket. Constr. Build. Mater. 2009, 23, 2653–2663. [Google Scholar] [CrossRef]
- Kumutha, R.; Vaidyanathan, R.; Palanichamy, M.S. Behaviour of reinforced concrete rectangular columns strengthened using GFRP. Cem. Concr. Compos. 2007, 29, 609–615. [Google Scholar] [CrossRef]
- El-Mogy, M.; El-Ragaby, A.; El-Salakawy, E. Flexural Behavior of Continuous FRP-Reinforced Concrete Beams. J. Compos. Constr. 2010, 14, 669–680. [Google Scholar] [CrossRef]
- Agrawal, A.K.; Ghosn, M.; Alampalli, S.; Pan, Y. Seismic Fragility of Retrofitted Multispan Continuous Steel Bridges in New York. J. Bridg. Eng. 2012, 17, 562–575. [Google Scholar] [CrossRef]
- Cao, X.-Y.; Feng, D.-C.; Li, Y. Assessment of various seismic fragility analysis approaches for structures excited by non-stationary stochastic ground motions. Mech. Syst. Signal Process. 2023, 186, 109838. [Google Scholar] [CrossRef]
- Li, Y.; Song, R.; van de Lindt, J.W. Collapse Fragility of Steel Structures Subjected to Earthquake Mainshock-Aftershock Sequences. J. Struct. Eng. 2014, 140, 04014095. [Google Scholar] [CrossRef]
- Yin, Y.-J.; Li, Y. Loss Estimation of Light-Frame Wood Construction Subjected to Mainshock-Aftershock Sequences. J. Perform. Constr. Facil. 2011, 25, 504–513. [Google Scholar] [CrossRef]
- Song, R.; Li, Y.; van de Lindt, J.W. Impact of earthquake ground motion characteristics on collapse risk of post-mainshock buildings considering aftershocks. Eng. Struct. 2014, 81, 349–361. [Google Scholar] [CrossRef]
- Dong, Y.; Frangopol, D.M. Risk and resilience assessment of bridges under mainshock and aftershocks incorporating uncertainties. Eng. Struct. 2015, 83, 198–208. [Google Scholar] [CrossRef]
- Goda, K.; Salami, M.R. Inelastic seismic demand estimation of wood-frame houses subjected to mainshock-aftershock sequences. Bull. Earthq. Eng. 2014, 12, 855–874. [Google Scholar] [CrossRef]
- Nazari, N.; van de Lindt, W.; Li, Y. Effect of mainshock-aftershock sequences on wood frame building damage fragilities. J. Perform. Constr. Facil. 2015, 29, 04014036. [Google Scholar] [CrossRef]
- Raghunandan, M.; Liel, A.B.; Luco, N. Aftershock collapse vulnerability assessment of reinforced concrete frame structures. Earthq. Eng. Struct. Dyn. 2015, 44, 419–439. [Google Scholar] [CrossRef]
- Ruiz-García, J.; Aguilar, J.D. Aftershock seismic assessment taking into account postmainshock residual drifts. Earthq. Eng. Struct. Dyn. 2014, 44, 1391–1407. [Google Scholar] [CrossRef]
- Tesfamariam, S.; Goda, K.; Mondal, G. Seismic vulnerability of RC frame with unreinforced masonry infill due to mainshock-aftershock earthquake sequences. Earthq. Spectra 2015, 31, 1427–1449. [Google Scholar] [CrossRef]
- Zhai, C.H.; Zheng, Z.; Li, S.; Xie, L.L. Seismic analyses of a RCC building under mainshock–aftershock seismic sequences. Soil Dyn. Earthq. Eng. 2015, 74, 46–55. [Google Scholar] [CrossRef]
- Zhai, C.H.; Wen, W.P.; Li, S.; Xie, L.L. The ductility-based strength reduction factor for the mainshock–aftershock sequence-type ground motions. Bull. Earthq. Eng. 2015, 13, 2893–2914. [Google Scholar] [CrossRef]
- Burton, H.V.; Sreekumar, S.; Sharma, M.; Sun, H. Estimating aftershock collapse vulnerability using mainshock in-tensity, structural response and physical damage indicators. Struct. Saf. 2017, 68, 85–96. [Google Scholar] [CrossRef]
- Zhai, C.-H.; Zheng, Z.; Li, S.; Pan, X. Damage accumulation of a base-isolated RCC building under mainshock-aftershock seismic sequences. KSCE J. Civ. Eng. 2017, 21, 364–377. [Google Scholar] [CrossRef]
- AbdelNaby, A.E. Fragility Curves for RC Frames Subjected to Tohoku Mainshock-Aftershocks Sequences. J. Earthq. Eng. 2017, 22, 902–920. [Google Scholar] [CrossRef]
- Shokrabadi, M.; Burton, H.V. Risk-based assessment of aftershock and mainshock-aftershock seismic performance of reinforced concrete frames. Struct. Saf. 2018, 73, 64–74. [Google Scholar] [CrossRef]
- Zhang, P.; Kang, J.; Jinping, O. Damage and seismic performance analysis of RC frame structures under mainshock-aftershock earthquake sequences. Earthq. Eng. Eng. Dyn. 2014, 34, 1–8. [Google Scholar]
- Shinozuka, M.; Feng, M.Q.; Lee, J.; Naganuma, T. Statistical analysis of fragility curves. J. Eng. Mech. 2000, 126, 1224–1231. [Google Scholar] [CrossRef]
- Hwang, H.; Liu, J.B.; Chiu, Y.H. Seismic Fragility Analysis of Highway Bridges; Technical Report; Mid-America Earthquake Center: Urbana, IL, USA, 2001.
- Sasani, M.; Kiureghian, A.D. Seismic fragility of RC structural walls: Displacement approach. J. Struct. Eng. 2001, 127, 219–228. [Google Scholar] [CrossRef]
- Choi, E.; DesRoches, R.; Nielson, B. Seismic fragility of typical bridges in moderate seismic zones. Eng. Struct. 2004, 26, 187–199. [Google Scholar] [CrossRef]
- Nielson, B.G.; DesRoches, R. Seismic fragility methodology for highway bridges using a component level approach. Earthq. Eng. Struct. Dyn. 2006, 36, 823–839. [Google Scholar] [CrossRef]
- Nielson, B.G.; Desroches, R. Analytical Seismic Fragility Curves for Typical Bridges in the Central and Southeastern United States. Earthq. Spectra 2007, 23, 615–633. [Google Scholar] [CrossRef]
- Tekie, P.B.; Ellingwood, B.R. Seismic fragility assessment of concrete gravity dams. Earthq. Eng. Struct. Dyn. 2003, 32, 2221–2240. [Google Scholar] [CrossRef]
- Simon, J.; Vigh, L.G. Seismic fragility assessment of integral precast multi-span bridges in areas of moderate seismicity. Bull. Earthq. Eng. 2016, 14, 3125–3150. [Google Scholar] [CrossRef]
- Alipour, A.; Shafei, B.; Shinozuka, M. Reliability-based calibration of load and resistance factors for design of rc bridges under multiple extreme events: Scour and earthquake. J. Bridge Eng. 2013, 18, 362–371. [Google Scholar] [CrossRef]
- Guo, X.; Wu, Y.; Guo, Y. Time-dependent seismic fragility analysis of bridge systems under scour hazard and earthquake loads. Eng. Struct. 2016, 121, 52–60. [Google Scholar] [CrossRef]
- Guo, X.; Guo, Y. Probability of collapse of a bridge system under seismic and scour hazards. Proc. Inst. Mech. Eng. Part O J. Risk Reliab. 2016, 230, 195–203. [Google Scholar] [CrossRef]
- Cui, F.; Zhang, H.; Ghosn, M.; Xu, Y. Seismic fragility analysis of deteriorating RC bridge substructures subject to marine chloride-induced corrosion. Eng. Struct. 2018, 155, 61–72. [Google Scholar] [CrossRef]
- Baker, J.W. Efficient Analytical Fragility Function Fitting Using Dynamic Structural Analysis. Earthq. Spectra 2015, 31, 579–599. [Google Scholar] [CrossRef]
- Pacific Earthquake Engineering Research [PEER] Center. PEER Ground Motion Database. 2018. Available online: https://peer.berkely.edu/ (accessed on 10 November 2018).
- Vamvatsikos, D.; Cornell, C.A. Incremental dynamic analysis. Earthq. Eng. Struct. Dyn. 2002, 31, 491–514. [Google Scholar] [CrossRef]
- Vamvatsikos, D.; Cornell, C.A. Applied Incremental Dynamic Analysis. Earthq. Spectra 2004, 20, 523–553. [Google Scholar] [CrossRef]
- OpenSees. The Open System for Earthquake Engineering Simulation. 2014. Available online: http://opensees.berkeley.edu/ (accessed on 20 October 2022).
- Mazzoni, S.; McKenna, F.; Scott, M.H.; Fenves, G.L. OpenSees Command Language Manual; Pacific Earthquake Engineering Research Center: Berkeley, CA, USA, 2006.
- Mander, J.B.; Priestley, M.J.; Park, R. Theoretical stress–strain model for confined concrete. J. Struct. Eng. 1988, 114, 1804–1826. [Google Scholar] [CrossRef]
- American Petroleum Institute. Recommended Practice for Planning, Designing, and Constructing Fixed Offshore Platforms Volume 2; American Petroleum Institute: Washington, DC, USA, 1989. [Google Scholar]
- Jernigan, J.B.; Hwang, H.M. Inventory and Fragility Analysis of Memphis Bridges; Center for Earthquake Research and Information, University of Memphis: Memphis, TN, USA, 1997; p. 15.
- HAZUS-MH/MR3, The Federal Emergency Management Agency’s [FEMA] Methodology for Estimating Potential Losses from Disasters; U.S. Department of Homeland Security: Washington, DC, USA, 2007.







| Num. | Mainshock | Aftershock | Earthquake Event | ||
|---|---|---|---|---|---|
| Sequence | M | Sequence | M | ||
| 1 | 1180 | 7.62 | 3863 | 6.3 | CHI-CHI |
| 2 | 1181 | 7.62 | 3851 | 6.2 | CHI-CHI |
| 3 | 1182 | 7.62 | 3865 | 6.3 | CHI-CHI |
| 4 | 1183 | 7.62 | 3866 | 6.3 | CHI-CHI |
| 5 | 1184 | 7.62 | 3867 | 6.3 | CHI-CHI |
| 6 | 1185 | 7.62 | 3868 | 6.3 | CHI-CHI |
| 7 | 1186 | 7.62 | 3258 | 6.3 | CHI-CHI |
| 8 | 1187 | 7.62 | 3259 | 6.3 | CHI-CHI |
| 9 | 1188 | 7.62 | 3260 | 6.3 | CHI-CHI |
| 10 | 1189 | 7.62 | 3261 | 6.3 | CHI-CHI |
| 11 | 1190 | 7.62 | 3262 | 6.3 | CHI-CHI |
| 12 | 1191 | 7.62 | 3263 | 6.3 | CHI-CHI |
| 13 | 1193 | 7.62 | 3264 | 6.3 | CHI-CHI |
| 14 | 1194 | 7.62 | 3265 | 6.3 | CHI-CHI |
| 15 | 1195 | 7.62 | 3266 | 6.3 | CHI-CHI |
| 16 | 1196 | 7.62 | 3267 | 6.3 | CHI-CHI |
| 17 | 1197 | 7.62 | 3268 | 6.3 | CHI-CHI |
| 18 | 1198 | 7.62 | 3269 | 6.3 | CHI-CHI |
| 19 | 1199 | 7.62 | 3271 | 6.3 | CHI-CHI |
| 20 | 1200 | 7.62 | 3272 | 6.3 | CHI-CHI |
| 21 | 1201 | 7.62 | 3273 | 6.3 | CHI-CHI |
| 22 | 1202 | 7.62 | 3274 | 6.3 | CHI-CHI |
| 23 | 1203 | 7.62 | 3275 | 6.3 | CHI-CHI |
| 24 | 1204 | 7.62 | 3277 | 6.3 | CHI-CHI |
| 25 | 1205 | 7.62 | 3278 | 6.3 | CHI-CHI |
| 26 | 1206 | 7.62 | 3279 | 6.3 | CHI-CHI |
| 27 | 1207 | 7.62 | 3280 | 6.3 | CHI-CHI |
| 28 | 1208 | 7.62 | 3281 | 6.3 | CHI-CHI |
| 29 | 1209 | 7.62 | 3282 | 6.3 | CHI-CHI |
| 30 | 1210 | 7.62 | 3283 | 6.3 | CHI-CHI |
| 31 | 1211 | 7.62 | 3284 | 6.3 | CHI-CHI |
| 32 | 1212 | 7.62 | 3285 | 6.3 | CHI-CHI |
| 33 | 1213 | 7.62 | 3286 | 6.3 | CHI-CHI |
| 34 | 1214 | 7.62 | 3287 | 6.3 | CHI-CHI |
| 35 | 1216 | 7.62 | 3289 | 6.3 | CHI-CHI |
| 36 | 1256 | 7.62 | 3324 | 6.3 | CHI-CHI |
| 37 | 1257 | 7.62 | 3325 | 6.3 | CHI-CHI |
| 38 | 1258 | 7.62 | 2997 | 6.2 | CHI-CHI |
| 39 | 1259 | 7.62 | 2761 | 6.2 | CHI-CHI |
| 40 | 1260 | 7.62 | 3326 | 6.3 | CHI-CHI |
| 41 | 130 | 5.91 | 4276 | 5.5 | Friuli-02 |
| 42 | 122 | 6.5 | 131 | 5.91 | Friuli-01 |
| 43 | 132 | 5.91 | 4277 | 5.5 | Friuli-02 |
| 44 | 133 | 5.91 | 4278 | 5.5 | Friuli-02 |
| 45 | 125 | 6.5 | 4267 | 5.2 | Friuli-01 |
| 46 | 949 | 6.69 | 1651 | 6.05 | Northridge-01 |
| 47 | 954 | 6.69 | 1695 | 5.28 | Northridge |
| 48 | 963 | 6.69 | 1652 | 6.05 | Northridge |
| 49 | 974 | 6.69 | 3779 | 5.28 | Northridge |
| 50 | 978 | 6.69 | 1701 | 5.28 | Northridge |
| 51 | 981 | 6.69 | 1655 | 6.05 | Northridge |
| 52 | 982 | 6.69 | 1703 | 5.28 | Northridge |
| 53 | 984 | 6.69 | 1656 | 6.05 | Northridge |
| 54 | 985 | 6.69 | 1657 | 6.05 | Northridge |
| 55 | 988 | 6.69 | 1658 | 6.05 | Northridge |
| 56 | 990 | 6.69 | 1659 | 6.05 | Northridge |
| 57 | 995 | 6.69 | 1660 | 6.05 | Northridge |
| 58 | 996 | 6.69 | 1711 | 5.28 | Northridge |
| 59 | 999 | 6.69 | 1661 | 6.05 | Northridge |
| 60 | 1004 | 6.69 | 3771 | 5.28 | Northridge |
| Type | Fmax (kN) | ||||||
|---|---|---|---|---|---|---|---|
| 0.0% | 5% | 5%-R1 | 5%-R2 | 5%-R3 | 5%-R4 | 5%-R5 | |
| Pitting | 1321.8 | 1257.7 | 1411.6 | 1564.4 | 1722.1 | 1885.2 | 2066.3 |
| Uniform | 1321.8 | 1275.9 | 1439.4 | 1593.2 | 1753.7 | 1927.7 | 2088.7 |
| Pitting (%) | 0.00 | −4.85 | 6.79 | 18.35 | 30.28 | 42.62 | 56.32 |
| Uniform (%) | 0.00 | −3.47 | 8.89 | 20.53 | 32.67 | 45.84 | 58.02 |
| Type | Fmax (kN) | ||||||
|---|---|---|---|---|---|---|---|
| 0.0% | 10% | 10%-R1 | 10%-R2 | 10%-R3 | 10%-R4 | 10%-R5 | |
| Pitting | 1321.8 | 1209.40 | 1342.3 | 1503.4 | 1661.4 | 1802.9 | 1975.2 |
| Uniform | 1321.8 | 1244.3 | 1395.1 | 1547.24 | 1708.56 | 1866.39 | 2042.27 |
| Pitting (%) | 0.00 | −8.50 | 1.55 | 13.70 | 25.60 | 36.40 | 49.40 |
| Uniform (%) | 0.00 | −5.86 | 5.54 | 17.10 | 29.30 | 41.20 | 54.50 |
| Type | Fmax (kN) | ||||||
|---|---|---|---|---|---|---|---|
| 0.0% | 15% | 15%-R1 | 15%-R2 | 15%-R3 | 15%-R4 | 15%-R5 | |
| Pitting | 1321.8 | 1157.3 | 1282.5 | 1433.5 | 1595.0 | 1743.5 | 1905.0 |
| Uniform | 1321.8 | 1213.2 | 1344.5 | 1509.9 | 1656.7 | 1809.5 | 1990.0 |
| Pitting (%) | 0.00 | −12.45 | −2.90 | 8.40 | 20.60 | 31.90 | 44.12 |
| Uniform (%) | 0.00 | −8.22 | 1.70 | 14.2 | 25.30 | 36.80 | 50.50 |
| Type | Fmax (kN) | ||||||
|---|---|---|---|---|---|---|---|
| 0.0% | 20% | 20%-R1 | 20%-R2 | 20%-R3 | 20%-R4 | 20%-R5 | |
| Pitting | 1321.8 | 1100.7 | 1229.5 | 1353.3 | 1521.8 | 1670.9 | 1814.3 |
| Uniform | 1321.8 | 1182.0 | 1305.3 | 1466.9 | 1621.2 | 1771.1 | 1942.2 |
| Pitting (%) | 0.00 | −16.72 | −6.90 | −2.3 | 15.10 | 26.40 | 37.30 |
| Uniform (%) | 0.00 | −10.57 | −1.20 | 10.9 | 22.60 | 33.90 | 46.90 |
Publisher’s Note: MDPI stays neutral with regard to jurisdictional claims in published maps and institutional affiliations. |
© 2022 by the authors. Licensee MDPI, Basel, Switzerland. This article is an open access article distributed under the terms and conditions of the Creative Commons Attribution (CC BY) license (https://creativecommons.org/licenses/by/4.0/).
Share and Cite
Chen, X.; Kang, A.; Chen, L.; Sun, H.; Guo, X. Cyclic and Fragility Analysis of a Corroded Bridge Reinforced by Steel Plates under Mainshock and Aftershock Sequences. Appl. Sci. 2022, 12, 12078. https://doi.org/10.3390/app122312078
Chen X, Kang A, Chen L, Sun H, Guo X. Cyclic and Fragility Analysis of a Corroded Bridge Reinforced by Steel Plates under Mainshock and Aftershock Sequences. Applied Sciences. 2022; 12(23):12078. https://doi.org/10.3390/app122312078
Chicago/Turabian StyleChen, Xin, Aihong Kang, Lingkun Chen, Huahuai Sun, and Xuan Guo. 2022. "Cyclic and Fragility Analysis of a Corroded Bridge Reinforced by Steel Plates under Mainshock and Aftershock Sequences" Applied Sciences 12, no. 23: 12078. https://doi.org/10.3390/app122312078
APA StyleChen, X., Kang, A., Chen, L., Sun, H., & Guo, X. (2022). Cyclic and Fragility Analysis of a Corroded Bridge Reinforced by Steel Plates under Mainshock and Aftershock Sequences. Applied Sciences, 12(23), 12078. https://doi.org/10.3390/app122312078

