Reversal of Photoinduced Bending of Crystals Due to Internal Refraction of Light
Abstract
Featured Application
Abstract
1. Introduction
2. Materials and Methods
3. Experimental Results
4. Model of the Interaction of Light with a Crystal
4.1. Simple Qualitative Model
4.2. Theoretical Formulation and Calculation Method
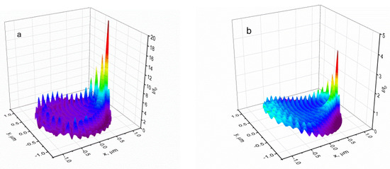
4.3. Simulation Results
4.3.1. Round Cross Section
4.3.2. Square Cross Section
5. Conclusions
Supplementary Materials
Author Contributions
Funding
Conflicts of Interest
References
- Naumov, P.; Chizhik, S.; Panda, M.K.; Nath, N.K.; Boldyreva, E. Mechanically Responsive Molecular Crystals. Chem. Rev. 2015, 115, 12440–12490. [Google Scholar] [CrossRef] [PubMed]
- Naumov, P.; Karothu, D.P.; Ahmed, E.; Catalano, L.; Commins, P.; Mahmoud Halabi, J.; Al-Handawi, M.B.; Li, L. The Rise of the Dynamic Crystals. J. Am. Chem. Soc. 2020, 142, 13256–13272. [Google Scholar] [CrossRef] [PubMed]
- Naumov, P.; Chizhik, S.; Commins, P.; Boldyreva, E. Bending, Jumping, and Self-Healing Crystals. In Mechanically Responsive Materials for Soft Robotics; John Wiley & Sons, Inc.: Hoboken, NJ, USA, 2020; pp. 105–138. [Google Scholar]
- Mahmoud Halabi, J.; Ahmed, E.; Sofela, S.; Naumov, P. Performance of molecular crystals in conversion of light to mechanical work. Proc. Natl. Acad. Sci. USA 2021, 118, e2020604118. [Google Scholar] [CrossRef]
- Kitagawa, D.; Tsujioka, H.; Tong, F.; Dong, X.; Bardeen, C.J.; Kobatake, S. Control of Photomechanical Crystal Twisting by Illumination Direction. J. Am. Chem. Soc. 2018, 140, 4208–4212. [Google Scholar] [CrossRef] [PubMed]
- Desta, I.T.; Chizhik, S.A.; Sidelnikov, A.A.; Karothu, D.P.; Boldyreva, E.V.; Naumov, P. Mechanically Responsive Crystals: Analysis of Macroscopic Strain Reveals “Hidden” Processes. J. Phys. Chem. A 2019, 124, 300–310. [Google Scholar] [CrossRef]
- Nakagawa, Y.; Morimoto, M.; Yasuda, N.; Hyodo, K.; Yokojima, S.; Nakamura, S.; Uchida, K. Photosalient Effect of Diarylethene Crystals of Thiazoyl and Thienyl Derivatives. Chemistry 2019, 25, 7874–7880. [Google Scholar] [CrossRef]
- Taniguchi, T.; Asahi, T.; Koshima, H. Photomechanical Azobenzene Crystals. Crystals 2019, 9, 437. [Google Scholar] [CrossRef]
- Taniguchi, T.; Blanc, L.; Asahi, T.; Koshima, H.; Lambert, P. Statistical Modeling of Photo-Bending Actuation of Hybrid Silicones Mixed with Azobenzene Powder. Actuators 2019, 8, 68. [Google Scholar] [CrossRef]
- Kitagawa, D.; Kobatake, S. Photoreversible current ON/OFF switching by the photoinduced bending of gold-coated diarylethene crystals. Chem. Commun. 2015, 51, 4421–4424. [Google Scholar] [CrossRef]
- Kitagawa, D.; Tanaka, R.; Kobatake, S. Dependence of photoinduced bending behavior of diarylethene crystals on irradiation wavelength of ultraviolet light. Phys. Chem. Chem. Phys. 2015, 17, 27300–27305. [Google Scholar] [CrossRef]
- Terao, F.; Morimoto, M.; Irie, M. Light-Driven Molecular-Crystal Actuators: Rapid and Reversible Bending of Rodlike Mixed Crystals of Diarylethene Derivatives. Angew. Chem. Int. Ed. 2012, 51, 901–904. [Google Scholar] [CrossRef] [PubMed]
- Sun, L.; Yang, F.; Zhang, X.; Hu, W. Stimuli-responsive behaviors of organic charge transfer cocrystals: Recent advances and perspectives. Mater. Chem. Front. 2020, 4, 715–728. [Google Scholar] [CrossRef]
- Chandrasekar, R. Mechanophotonics—Mechanical Micromanipulation of Single-Crystals toward Organic Photonic Integrated Circuits. Small 2021, 17, 2100277. [Google Scholar] [CrossRef]
- Kuzyk, M.G.; Dawson, N.J. Photomechanical materials and applications: A tutorial. Adv. Opt. Photon. 2020, 12, 847–1011. [Google Scholar] [CrossRef]
- Kitagawa, D.; Kobatake, S. Crystal Thickness Dependence of Photoinduced Crystal Bending of 1,2-Bis(2-methyl-5-(4-(1-naphthoyloxymethyl)phenyl)-3-thienyl)perfluorocyclopentene. J. Phys. Chem. C 2013, 117, 20887–20892. [Google Scholar] [CrossRef]
- Kitagawa, D.; Nishi, H.; Kobatake, S. Photoinduced Twisting of a Photochromic Diarylethene Crystal. Angew. Chem. Int. Ed. 2013, 52, 9320–9322. [Google Scholar] [CrossRef] [PubMed]
- Kim, T.; Zhu, L.; Mueller, L.J.; Bardeen, C.J. Mechanism of Photoinduced Bending and Twisting in Crystalline Microneedles and Microribbons Composed of 9-Methylanthracene. J. Am. Chem. Soc. 2014, 136, 6617–6625. [Google Scholar] [CrossRef]
- Tong, F.; Kitagawa, D.; Bushnak, I.; Al-Kaysi, R.O.; Bardeen, C.J. Light-Powered Autonomous Flagella-Like Motion of Molecular Crystal Microwires. Angew. Chem. 2021, 60, 2414–2423. [Google Scholar] [CrossRef] [PubMed]
- Commins, P.; Desta, I.T.; Karothu, D.P.; Panda, M.K.; Naumov, P. Crystals on the move: Mechanical effects in dynamic solids. Chem. Commun. 2016, 52, 13941–13954. [Google Scholar] [CrossRef] [PubMed]
- So, H.-S.; Minami, T.; Jindo, T.; Matsumoto, S. Thermosalient effect of two polymorphs of a diketopyrrolopyrrole dye with different crystal systems and molecular arrangements. CrystEngComm 2018, 20, 5317–5320. [Google Scholar] [CrossRef]
- Hipwell, V.M.; Zee, C.-T.; Rodriguez, J.; Garcia-Garibay, M.A. Scale-Dependent Photosalience and Topotactic Reaction of Microcrystalline Benzylidenebutyrolactone Determined by Electron Microscopy and Electron Diffraction. Cryst. Growth Des. 2022, 22, 1533–1537. [Google Scholar] [CrossRef]
- Zhu, L.; Tong, F.; Al-Kaysi, R.O.; Bardeen, C.J. Photomechanical Effects in Photochromic Crystals. In Photomechanical Materials, Composites, and Systems; White, T.J., Ed.; Wiley: Hoboken, NJ, USA, 2017; pp. 233–274. [Google Scholar]
- Chizhik, S.; Sidelnikov, A.; Zakharov, B.; Naumov, P.; Boldyreva, E. Quantification of photoinduced bending of dynamic molecular crystals: From macroscopic strain to kinetic constants and activation energies. Chem. Sci. 2018, 9, 2319–2335. [Google Scholar] [CrossRef] [PubMed]
- Hirano, A.; Kitagawa, D.; Kobatake, S. Photomechanical bending behavior of photochromic diarylethene crystals induced under polarized light. CrystEngComm 2019, 21, 2495–2501. [Google Scholar] [CrossRef]
- Easley, C.J.; Tong, F.; Dong, X.; Al-Kaysi, R.O.; Bardeen, C.J. Using light intensity to control reaction kinetics and reversibility in photomechanical crystals. Chem. Sci. 2020, 11, 9852–9862. [Google Scholar] [CrossRef] [PubMed]
- Hasebe, S.; Hagiwara, Y.; Komiya, J.; Ryu, M.; Fujisawa, H.; Morikawa, J.; Katayama, T.; Yamanaka, D.; Furube, A.; Sato, H.; et al. Photothermally Driven High-Speed Crystal Actuation and Its Simulation. J. Am. Chem. Soc. 2021, 143, 8866–8877. [Google Scholar] [CrossRef]
- Hasebe, S.; Hagiwara, Y.; Takechi, K.; Katayama, T.; Furube, A.; Asahi, T.; Koshima, H. Polymorph-Derived Diversification of Crystal Actuation by Photoisomerization and the Photothermal Effect. Chem. Mater. 2022, 34, 1315–1324. [Google Scholar] [CrossRef]
- Hasebe, S.; Hagiwara, Y.; Hirata, K.; Asahi, T.; Koshima, H. Crystal actuation switching by crystal thickness and light wavelength. Mater. Adv. 2022, 3, 7098–7106. [Google Scholar] [CrossRef]
- Scandola, F.; Bartocci, C.; Scandola, M.A. Wavelength dependence of nitropentaamminecobalt(III) photochemistry. Charge transfer and ligand field excited-state behavior. J. Phys. Chem. 1974, 78, 572–575. [Google Scholar] [CrossRef]
- Balzani, V.; Ballardini, R.; Sabbatini, N.; Moggi, L. Photochemical reactions of nitropentaamminecobalt(III) ion. Inorg. Chem. 1968, 7, 1398–1404. [Google Scholar] [CrossRef]
- Kubota, M.; Ohba, S. Nitro-nitrito linkage photoisomerization in crystals of pentaamminenitrocobalt(III) dichloride. Acta Cryst. 1992, 48, 627–632. [Google Scholar] [CrossRef]
- Heyns, A.M.; de Waal, D. An infrared study of the nitro-nitrito linkage isomerization in solid nitro- and nitritopentamminecobalt(III) chloride. Spectrochim. Acta Part A Mol. Spectrosc. 1989, 45, 905–909. [Google Scholar] [CrossRef]
- Adell, B. Zur Kenntnis der Isomerisationsgeschwindigkeit einiger komplexer Mononitritokobalt(III)-verbindungen in festem Zustande und in verdünnter, wässeriger Lösung. Z. Für Anorg. Und Allg. Chem. 1952, 271, 49–64. [Google Scholar] [CrossRef]
- Boldyreva, E.V.; Sidelnikov, A.A.; Chupakhin, A.P.; Lyakhov, N.Z.; Boldyrev, V.V. Deformation and fragmentation of crystals of [Co(NH3) 5NO2]X2(X = Cl−, Br−, NO3−) during photochemical linkage isomerization. Dokl. Akad. Nauk SSSR 1984, 277, 893–896. [Google Scholar]
- Boldyreva, E.V.; Sidelnikov, A.A. The Effect of the Mechanical Strain on the Rate of Deformation of Crystals of [Co(NH3)5NO2]-Cl(NO3) in Course of the Linkage Nitro-Nitrito Photoisomerization. Izv. Sib. Otd. Akad. Nauk SSR Ser. Khim. Nauk 1987, 5, 139–144. [Google Scholar]
- Eslami, A. Thermoanalytical study of linkage isomerism in coordination compounds: Part I. Reinvestigation of thermodynamic and thermokinetic of solid state interconversion of nitrito (ONO) and nitro (NO2) isomers of pentaaminecobalt(III) chloride by means of DSC. Thermochim. Acta 2004, 409, 189–193. [Google Scholar] [CrossRef]
- Eslami, A.; Hasani, N. Thermoanalytical study of linkage isomerism in coordination compounds. Part III: A DSC study on the effect of counterion on the solid state isomerization of nitro and nitrito linkage isomers of pentaamminecobalt(III) complexes. Thermochim. Acta 2014, 575, 114–121. [Google Scholar] [CrossRef]
- Ahmed, E.; Chizhik, S.; Sidelnikov, A.; Boldyreva, E.; Naumov, P. Relating Excited States to the Dynamics of Macroscopic Strain in Photoresponsive Crystals. Inorg. Chem. 2022, 61, 3573–3585. [Google Scholar] [CrossRef]
- Schneider, C.A.; Rasband, W.S.; Eliceiri, K.W. NIH Image to ImageJ: 25 years of image analysis. Nat. Methods 2012, 9, 671–675. [Google Scholar] [CrossRef]
- van de Hulst, H.C. Light Scattering by Small Particles; Dover Publications: Mineola, NY, USA, 1981. [Google Scholar]
- Bohren, C.F.; Huffman, D.R. (Eds.) Absorption and Scattering of Light by Small Particles; John Wiley & Sons: Nashville, TN, USA, 1998. [Google Scholar]
- Kerker, M. CHAPTER 3—Scattering by a Sphere. In The Scattering of Light and Other Electromagnetic Radiation; Kerker, M., Ed.; Academic Press: Cambridge, MA, USA, 1969; Volume 16, pp. 27–96. [Google Scholar]
- Hecht, F. New development in FreeFem++. J. Numer. Math. 2012, 20, 251–265. [Google Scholar] [CrossRef]











| Publisher’s Note: MDPI stays neutral with regard to jurisdictional claims in published maps and institutional affiliations. | 
© 2022 by the authors. Licensee MDPI, Basel, Switzerland. This article is an open access article distributed under the terms and conditions of the Creative Commons Attribution (CC BY) license (https://creativecommons.org/licenses/by/4.0/).
Share and Cite
Chizhik, S.; Gribov, P.; Kovalskii, V.; Sidelnikov, A. Reversal of Photoinduced Bending of Crystals Due to Internal Refraction of Light. Appl. Sci. 2022, 12, 12007. https://doi.org/10.3390/app122312007
Chizhik S, Gribov P, Kovalskii V, Sidelnikov A. Reversal of Photoinduced Bending of Crystals Due to Internal Refraction of Light. Applied Sciences. 2022; 12(23):12007. https://doi.org/10.3390/app122312007
Chicago/Turabian StyleChizhik, Stanislav, Pavel Gribov, Viktor Kovalskii, and Anatoly Sidelnikov. 2022. "Reversal of Photoinduced Bending of Crystals Due to Internal Refraction of Light" Applied Sciences 12, no. 23: 12007. https://doi.org/10.3390/app122312007
APA StyleChizhik, S., Gribov, P., Kovalskii, V., & Sidelnikov, A. (2022). Reversal of Photoinduced Bending of Crystals Due to Internal Refraction of Light. Applied Sciences, 12(23), 12007. https://doi.org/10.3390/app122312007
 
        





