Robust Adaptive Finite-Time Synergetic Tracking Control of Delta Robot Based on Radial Basis Function Neural Networks
Abstract
1. Introduction
- A systematic controller using a PD controller with a finite-time synergetic technique is developed based on the Delta robot dynamics for robust trajectory tracking control. In the proposed controller structure, unknown parameters and external disturbance of the DC motors and the robot manipulator are analyzed in a generalized disturbance model, then compensated torques are estimated online through RBF 2-layer neural networks.
- The stability of the proposed control framework is analyzed and proven through the Lyapunov stability theory.
- The features of the proposed controller are successfully applied to the parallel Delta robot in simulation and practical experiments with different trajectory examples. A comparative study between PD, feedforward, SM, and the proposed approach is provided to reveal the advantages and improvements of the latter.
2. Nonlinear Dynamics of Delta Robot Model
2.1. DC Motor Servo Model
2.2. Delta Robot Manipulator
- The rotational inertia of forearms is neglected.
- For analytical purposes, the masses of forearms are optimally separated into portions and at their extremities: a two-thirds majority part at its upper extremity and the other part at its lower extremity, which contributes to the traveling plate mass.
- Friction effects and elasticity are neglected.
3. The Proposed Controller
3.1. The Finite-Time Synergetic Controller (FS) for Delta Manipulator
3.2. The PD Adaptive Finite-Time Nonsingular Synergetic Controller (PDAFS) Based on Radial Basis Function Neural Networks
- The inertia matrix is a positive definite symmetric matrix.
- The matrix is a skew symmetric matrix.
3.3. Control Design Procedure
3.4. The Velocity Second Order Sliding Mode Observer
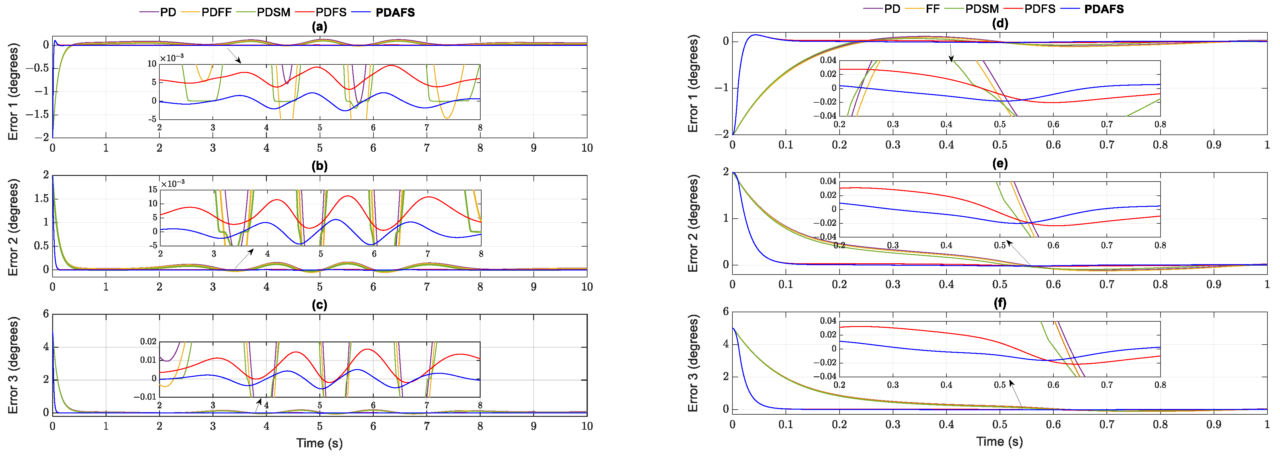
4. The Simulation Results
5. Experimental Results
5.1. Sytem Description
5.2. Velocity Estimation Results
5.3. Case Study Results
6. Conclusions
Author Contributions
Funding
Institutional Review Board Statement
Informed Consent Statement
Data Availability Statement
Acknowledgments
Conflicts of Interest
References
- Taghirad, H.D. Parallel Robots, 1st ed.; CRC Press: Cham, Switzerland, 2013; ISBN 9780429097454. [Google Scholar]
- Tsai, L.-W. Robot Analysis: The Mechanics of Serial and Parallel Manipulators; John Wiley & Sons, Inc.: New York, NY, USA, 1999; ISBN 978-0-471-32593-2. [Google Scholar]
- López, M.; Castillo, E.; García, G.; Bashir, A. Delta Robot: Inverse, Direct, and Intermediate Jacobians. Proc. Inst. Mech. Eng. Part C J. Mech. Eng. Sci. 2006, 220, 103–109. [Google Scholar] [CrossRef]
- Gritsenko, I.; Seidakhmet, A.; Abduraimov, A.; Gritsenko, P.; Bekbaganbetov, A. Delta Robot Forward Kinematics Method with One Root. In Proceedings of the 2017 International Conference on Robotics and Automation Sciences (ICRAS), Hong Kong, China, 26–29 August 2017; pp. 39–42. [Google Scholar]
- Rosquist, K. Modelling and Control of a Parallel Kinematic Robot; Lund University: Lund, Sweden, 2013. [Google Scholar]
- Kuo, Y.L.; Huang, P.Y. Experimental and Simulation Studies of Motion Control of a Delta Robot Using a Model-Based Approach. Int. J. Adv. Robot. Syst. 2017, 14, 1729881417738738. [Google Scholar] [CrossRef]
- Bortoff, S.A. Object-Oriented Modeling and Control of Delta Robots. In Proceedings of the 2018 IEEE Conference on Control Technology and Applications, CCTA 2018, Copenhagen, Denmark, 21–24 August 2018; pp. 251–258. [Google Scholar] [CrossRef]
- Carabin, G.; Scalera, L.; Wongratanaphisan, T.; Vidoni, R. An Energy-Efficient Approach for 3D Printing with a Linear Delta Robot Equipped with Optimal Springs. Robot. Comput.-Integr. Manuf. 2021, 67, 102045. [Google Scholar] [CrossRef]
- Scalera, L.; Carabin, G.; Vidoni, R.; Wongratanaphisan, T. Energy Efficiency in a 4-Dof Parallel Robot Featuring Compliant Elements. Int. J. Mech. Control 2019, 20, 49–57. [Google Scholar]
- Codourey, A. Dynamic Modelling and Mass Matrix Evaluation of the DELTA Parallel Robot for Axes Decoupling Control. IEEE Int. Conf. Intell. Robot. Syst. 1996, 3, 1211–1218. [Google Scholar] [CrossRef]
- Codourey, A. Dynamic Modeling of Parallel Robots for Computed-Torque Control Implementation. Int. J. Robot. Res. 1998, 17, 1325–1336. [Google Scholar] [CrossRef]
- Song, X.; Zhao, Y.; Jin, L.; Zhang, P.; Chen, C. Dynamic Feedforward Control in Decoupling Space for a Four-Degree-of-Freedom Parallel Robot. Int. J. Adv. Robot. Syst. 2019, 16, 1729881418820451. [Google Scholar] [CrossRef]
- Su, T.; Liang, X.; He, G.; Zhao, Q.; Zhao, L. Robust Trajectory Tracking of Delta Parallel Robot Using Sliding Mode Control. In Proceedings of the 2019 IEEE Symposium Series on Computational Intelligence (SSCI), Xiamen, China, 6–9 December 2019; pp. 508–512. [Google Scholar]
- Yu, S.; Yu, X.; Shirinzadeh, B.; Man, Z. Continuous Finite-Time Control for Robotic Manipulators with Terminal Sliding Mode. Automatica 2005, 41, 1957–1964. [Google Scholar] [CrossRef]
- Kolesnikov, A.A. Introduction of Synergetic Control. In Proceedings of the 2014 American Control Conference, Portland, OR, USA, 4–6 June 2014; pp. 3013–3016. [Google Scholar]
- Fareh, R.; Khadraoui, S.; Baziyad, M.; Bettayeb, M. Synergetic Workspace Tracking Control for 4-DOF Robot Manipulator. In Proceedings of the 12th International Conference on Computer and Automation Engineering (ICCAE), Sydney, NSW, Australia, 14–16 February 2020; pp. 189–193. [Google Scholar] [CrossRef]
- Nusawardhana; Zak, S.H.; Crossley, W.A. Nonlinear Synergetic Optimal Controllers. J. Guid. Control Dyn. 2007, 30, 1134–1147. [Google Scholar] [CrossRef][Green Version]
- Kuz’menko, A.A. Synchronous Generator Nonlinear Excitation System: Synergetic Sliding Mode Control. In Proceedings of the 2015 International Siberian Conference on Control and Communications (SIBCON), Omsk, Russia, 21–23 May 2015; pp. 1–5. [Google Scholar]
- Liu, C.-H.; Hsiao, M.-Y. A Finite Time Synergetic Control Scheme for Robot Manipulators. Comput. Math. Appl. 2012, 64, 1163–1169. [Google Scholar] [CrossRef]
- Zhai, S.; Chen, Q.; Tang, X. Finite-Time Synergetic Control of Mechanical System Based on Model-Free Friction Compensation. In Lecture Notes in Electrical Engineering; Springer: Berlin/Heidelberg, Germany, 2015; Volume 337, pp. 275–284. ISBN 9783662464625. [Google Scholar]
- Kondratiev, I.; Nikiforov, A.; Veselov, G.; Kolesnikov, A. Synergetic Control for Induction Motor Based Wheel-Drive System. In Proceedings of the 2012 IEEE International Electric Vehicle Conference, Greenville, SC, USA, 4–8 March 2012; pp. 1–7. [Google Scholar]
- Kanchanaharuthai, A.; Mujjalinvimut, E. Application of Adaptive Synergetic Control to Power Systems with Superconducting Magnetic Energy Storage System. Int. J. Innov. Comput. Inf. Control 2017, 13, 1873–1885. [Google Scholar]
- Veselov, G.E.; Sclyarov, A.A. Synergetic Approach to Unmanned Air Vehicle Control with “Attractor-Repeller” Strategy of Nondeterministic Obstacles Avoidance. In Proceedings of the CHAOS 2013—6th Chaotic Modeling and Simulation International Conference, Istanbul, Turkey, 11–14 June 2013; pp. 713–726. [Google Scholar]
- Boudjedir, C.E.; Boukhetala, D. Adaptive Robust Iterative Learning Control with Application to a Delta Robot. Proc. Inst. Mech. Eng. Part I J. Syst. Control Eng. 2021, 235, 207–221. [Google Scholar] [CrossRef]
- Boudjedir, C.E.; Boukhetala, D.; Bouri, M. Nonlinear PD plus Sliding Mode Control with Application to a Parallel Delta Robot. J. Electr. Eng. 2018, 69, 329–336. [Google Scholar] [CrossRef]
- Boudjedir, C.E.; Bouri, M.; Boukhetala, D. Model-Free Iterative Learning Control with Nonrepetitive Trajectories for Second-Order MIMO Nonlinear Systems—Application to a Delta Robot. IEEE Trans. Ind. Electron. 2021, 68, 7433–7443. [Google Scholar] [CrossRef]
- Shang, W.W.; Cong, S.; Ge, Y. Adaptive Computed Torque Control for a Parallel Manipulator with Redundant Actuation. Robotica 2012, 30, 457–466. [Google Scholar] [CrossRef]
- Zhao, R.; Wu, L.; Chen, Y.H. Robust Control for Nonlinear Delta Parallel Robot with Uncertainty: An Online Estimation Approach. IEEE Access 2020, 8, 97604–97617. [Google Scholar] [CrossRef]
- Castaneda, L.A.; Luviano-Juarez, A.; Chairez, I. Robust Trajectory Tracking of a Delta Robot Through Adaptive Active Disturbance Rejection Control. IEEE Trans. Control Syst. Technol. 2015, 23, 1387–1398. [Google Scholar] [CrossRef]
- Linda, O.; Manic, M. Uncertainty-Robust Design of Interval Type-2 Fuzzy Logic Controller for Delta Parallel Robot. IEEE Trans. Ind. Inform. 2011, 7, 661–670. [Google Scholar] [CrossRef]
- Rebai, A.; Guesmi, K.; Hemici, B. Adaptive Fuzzy Synergetic Control for Nonlinear Hysteretic Systems. Nonlinear Dyn. 2016, 86, 1445–1454. [Google Scholar] [CrossRef]
- Escorcia-Hernández, J.M.; Aguilar-Sierra, H.; Aguilar-Mejia, O.; Chemori, A.; Arroyo-Núñez, J.H. A New Adaptive RISE Feedforward Approach Based on Associative Memory Neural Networks for the Control of PKMs. J. Intell. Robot. Syst. 2020, 100, 827–847. [Google Scholar] [CrossRef]
- Huang, S.; Tan, K.K. Intelligent Friction Modeling and Compensation Using Neural Network Approximations. IEEE Trans. Ind. Electron. 2012, 59, 3342–3349. [Google Scholar] [CrossRef]
- Jabbari Asl, H.; Narikiyo, T.; Kawanishi, M. Neural Network-Based Bounded Control of Robotic Exoskeletons without Velocity Measurements. Control Eng. Pract. 2018, 80, 94–104. [Google Scholar] [CrossRef]
- Reg, L. DC-Motor Modelling and Parameter Identification; Automation Control, Linkoping University: Linkoping, Sweden, 2017. [Google Scholar]
- Urrea Onate, C.; Kern Molina, J. Characterization, Simulation and Implementation of a New Dynamic Model for a DC Servomotor. IEEE Lat. Am. Trans. 2014, 12, 997–1004. [Google Scholar] [CrossRef]
- Turevskiy, A. Estimating DC Motor Parameters. Available online: http://www.mathworks.com/videos/estimating-dc-motor-parameters-97057.html (accessed on 15 March 2020).
- Moulay, E.; Dambrine, M.; Yeganefar, N.; Perruquetti, W. Finite-Time Stability and Stabilization of Time-Delay Systems. Syst. Control Lett. 2008, 57, 561–566. [Google Scholar] [CrossRef]
- Lee, C.-C.; Chung, P.-C.; Tsai, J.-R.; Chang, C.-I. Robust Radial Basis Function Neural Networks. IEEE Trans. Syst. Man Cybern. Part B (Cybern.) 1999, 29, 674–685. [Google Scholar] [CrossRef]
- Segal, R.; Kothari, M.L.; Madnani, S. Radial Basis Function (RBF) Network Adaptive Power System Stabilizer. IEEE Trans. Power Syst. 2000, 15, 722–727. [Google Scholar] [CrossRef]
- Slotine, J.; Weiping, L. Applied Nonlinear Control; Prentice Hall, Pearson: Hoboken, NJ, USA, 1991; ISBN 0130408905. [Google Scholar]
- Shang, W.W.; Cong, S.; Li, Z.X.; Jiang, S.L. Augmented Nonlinear PD Controller for a Redundantly Actuated Parallel Manipulator. Adv. Robot. 2009, 23, 1725–1742. [Google Scholar] [CrossRef]
- Safaric, R.; Jezernik, K. Trajectory Tracking Neural Network Controller for a Robot Mechanism and Lyapunov Theory of Stability. In Proceedings of the Proceedings of IEEE/RSJ International Conference on Intelligent Robots and Systems (IROS’94), Munich, Germany, 12–16 September 1994; Volume 1, pp. 626–633. [Google Scholar]
- Levant, A. Robust Exact Differentiation via Sliding Mode Technique. Automatica 1998, 34, 379–384. [Google Scholar] [CrossRef]
- Van, M.; Ge, S.S.; Ren, H. Finite Time Fault Tolerant Control for Robot Manipulators Using Time Delay Estimation and Continuous Nonsingular Fast Terminal Sliding Mode Control. IEEE Trans. Cybern. 2017, 47, 1681–1693. [Google Scholar] [CrossRef]
- Ghanes, M.; Barbot, J.P.; Fridman, L.; Levant, A. A Second Order Sliding Mode Differentiator with a Variable Exponent. In Proceedings of the 2017 American Control Conference (ACC), Seattle, WA, USA, 24–26 May 2017; pp. 3300–3305. [Google Scholar]
- Slotine, J.J.E.; Hedrick, J.K.; Misawa, E.A. On Sliding Observers for Nonlinear Systems. J. Dyn. Syst. Meas. Control Trans. ASME 1987, 109, 245–252. [Google Scholar] [CrossRef]
- Chan, J.C.L.; Lee, T.H. Sliding Mode Observer-Based Fault-Tolerant Secondary Control of Microgrids. Electronics 2020, 9, 1417. [Google Scholar] [CrossRef]
- Levant, A. Sliding Order and Sliding Accuracy in Sliding Mode Control. Int. J. Control 1993, 58, 1247–1263. [Google Scholar] [CrossRef]



















| Symbol | Description | Units | Values |
|---|---|---|---|
| armature inductance | H | ||
| armature resistance | 3.4 | ||
| torque constant | Nm/A | 1 | |
| back EMF coefficient | Nm/A | 1 | |
| friction coefficient | Nm | 0.01859 | |
| motor inertia | kg m2 | 0.0443 |
| Symbol | Description | Units | Values |
|---|---|---|---|
| Length of upper arm | m | 0.175 | |
| Length of forearm | m | 0.25 | |
| Radius of traveling plate | m | 0.09 | |
| Radius of fixed base | m | 0.07 | |
| Mass of upper arm | kg | 0.046 | |
| Mass of forearm | kg | 0.082 | |
| Mass of connector | kg | 0.048 | |
| Mass of traveling plate | kg | 0.317 |
| PDAFS | Torque Contributions | Features | Advantages |
|---|---|---|---|
| PD | DC Motors | Offset-error convergence | Guarantee the stability |
| FS | Delta manipulator | Finite-time and asymptotic convergence | Manifold surface |
| Chattering noise elimination | |||
| RBF networks | Generalized disturbance | Zero-error convergence | Fast function regression Online estimation |
| Parameter | Helix Trajectory | Parabolic Trajectory |
|---|---|---|
| Initial point | (0.05, 0, −0.35) m | (−0.05, 0.05, −0.3) m |
| Final point | (0.05, 0, −0.25) m | (0.05, −0.05, −0.3) m |
| Number of circles k | 4 | None |
| Duration | 10 s | 1 s |
| Maximum speed | 0.24 m/s | 0.4 m/s |
| Maximum acceleration | 1.2 m/s2 | 2.8 m/s2 |
| Method | Torque Calculation | Parameters |
|---|---|---|
| PD | ||
| PDFF | and Table 2 | |
| PDSM | ||
| PDFS | ||
| PDAFS | , , |
| Method | Joint 1 (Degrees) | Joint 2 (Degrees) | Joint 3 (Degrees) |
|---|---|---|---|
| PD | 0.0695 | 0.0800 | 0.1104 |
| PDFF | 0.0559 | 0.0689 | 0.0985 |
| PDSM | 0.0394 | 0.0544 | 0.0841 |
| PDFS | 0.0062 | 0.0066 | 0.0078 |
| PDAFS | 0.0011 | 0.0018 | 0.0021 |
| Method | Joint 1 (Degrees) | Joint 2 (Degrees) | Joint 3 (Degrees) |
|---|---|---|---|
| PD | 0.0675 | 0.1912 | 0.3012 |
| PDFF | 0.0686 | 0.1843 | 0.2958 |
| PDSM | 0.0426 | 0.1511 | 0.2644 |
| PDFS | 0.0157 | 0.0182 | 0.0189 |
| PDAFS | 0.0089 | 0.0093 | 0.0080 |
| Method | Torque Calculation | Parameters |
|---|---|---|
| PD | ||
| PDFF | and Table 2 | |
| PDSM | ||
| PDFS | ||
| PDAFS | , , |
| Method | Joint 1 (Degrees) | Joint 2 (Degrees) | Joint 3 (Degrees) |
|---|---|---|---|
| PD | 2.1493 | 1.5703 | 2.0829 |
| PDFF | 1.9529 | 1.5272 | 1.9093 |
| PDSM | 1.2824 | 0.8211 | 1.3015 |
| PDFS | 1.0158 | 0.8063 | 1.0859 |
| PDAFS | 0.6655 | 0.5510 | 0.6872 |
| Method | Joint 1 (Degrees) | Joint 2 (Degrees) | Joint 3 (Degrees) |
|---|---|---|---|
| PD | 3.7855 | 3.5320 | 3.8794 |
| PDFF | 2.8982 | 3.2263 | 2.8451 |
| PDSM | 2.2124 | 2.0874 | 2.7929 |
| PDFS | 2.5561 | 2.4066 | 2.6639 |
| PDAFS | 1.1978 | 1.1713 | 1.2120 |
| Method | Joint 1 (Degrees) | Joint 2 (Degrees) | Joint 3 (Degrees) |
|---|---|---|---|
| PDFS (no load) | 1.0158 | 0.8063 | 1.0859 |
| PDAFS (no load) | 0.6655 | 0.5510 | 0.6872 |
| PDFS (load) | 1.1674 | 0.8641 | 1.1363 |
| PDAFS (load) | 0.5804 | 0.6156 | 0.6103 |
| Method | Features | Ads | Cons |
|---|---|---|---|
| PD | Steady-state error offset | Guarantee the stability Simple to apply | Error offset existence |
| PDFF [11] | Steady-state error offset with dynamic model | Improve dynamic motion | Exact model parameters requirement |
| PDSM [13] | Zero-error convergence with dynamic model | Improve dynamic motion | Chattering noise |
| PDFS [19] | Asymptotic convergence with dynamic model | Improve dynamic motion Fast convergence Flexible to apply | Zero-error convergence at infinite time |
| This work | Zero-error convergence with dynamic model and disturbance consideration | Improve dynamic motion Fast convergence to zero Flexible to apply | Balance contribution of each controller in the system |
Publisher’s Note: MDPI stays neutral with regard to jurisdictional claims in published maps and institutional affiliations. |
© 2022 by the authors. Licensee MDPI, Basel, Switzerland. This article is an open access article distributed under the terms and conditions of the Creative Commons Attribution (CC BY) license (https://creativecommons.org/licenses/by/4.0/).
Share and Cite
Pham, P.-C.; Kuo, Y.-L. Robust Adaptive Finite-Time Synergetic Tracking Control of Delta Robot Based on Radial Basis Function Neural Networks. Appl. Sci. 2022, 12, 10861. https://doi.org/10.3390/app122110861
Pham P-C, Kuo Y-L. Robust Adaptive Finite-Time Synergetic Tracking Control of Delta Robot Based on Radial Basis Function Neural Networks. Applied Sciences. 2022; 12(21):10861. https://doi.org/10.3390/app122110861
Chicago/Turabian StylePham, Phu-Cuong, and Yong-Lin Kuo. 2022. "Robust Adaptive Finite-Time Synergetic Tracking Control of Delta Robot Based on Radial Basis Function Neural Networks" Applied Sciences 12, no. 21: 10861. https://doi.org/10.3390/app122110861
APA StylePham, P.-C., & Kuo, Y.-L. (2022). Robust Adaptive Finite-Time Synergetic Tracking Control of Delta Robot Based on Radial Basis Function Neural Networks. Applied Sciences, 12(21), 10861. https://doi.org/10.3390/app122110861

