Developing Predictive Models of Collapse Settlement and Coefficient of Stress Release of Sandy-Gravel Soil via Evolutionary Polynomial Regression
Abstract
1. Introduction
2. Evolutionary Polynomial Regression (EPR)
3. Evaluation of the Model Precision
4. Dataset
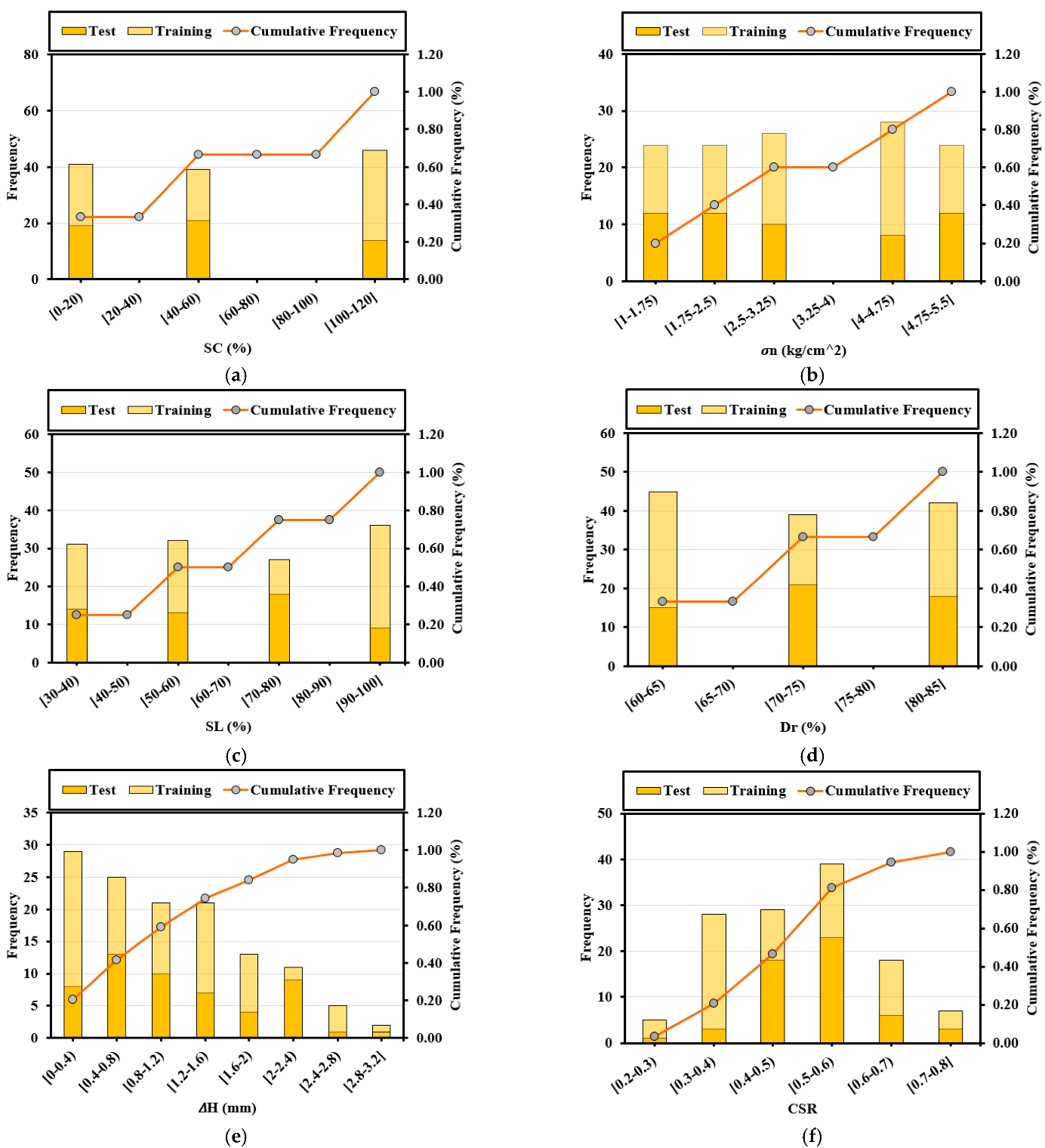
4.1. Description of Dataset
4.2. Statistical Parameters
5. Modelling Based on EPR Method
5.1. Developing Prediction Models for ∆H and CSR
5.2. Evaluating the Model Performance
5.3. Comparing the Developed Model with Other Models
6. Sensitivity Analysis
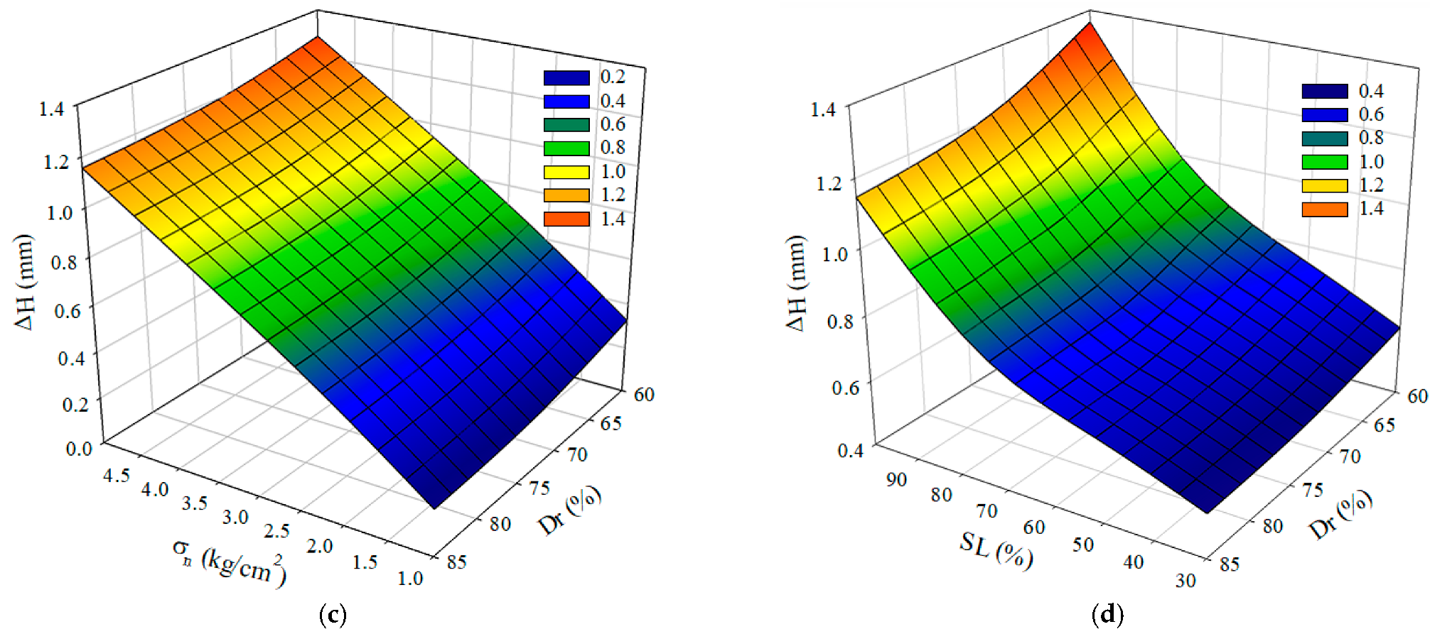
7. Parametric Study
8. Conclusions
Author Contributions
Funding
Institutional Review Board Statement
Informed Consent Statement
Data Availability Statement
Conflicts of Interest
References
- Wei, K. Study on Collapse Behaviors of Coarse Grained Soils. Period. Polytech. Civ. Eng. 2012, 56, 245–252. [Google Scholar] [CrossRef]
- Sowers, G.; Williams, R.; Wallace, T. Compressibility of Broken Rock and the Settlement of Rockfills. In Proceedings of the 6th International Conference on Soil Mechanics and Foundation Engineering, Montreal, QC, Canada, 8–15 September 1965; Volume 2, pp. 561–565. [Google Scholar]
- Naylor, D.J.; Maranha, J.R.; Maranha Das Neves, E.; Veiga Pinto, A.A. A Back-Analysis of Beliche Dam. Geotechnique 1997, 47, 221–233. [Google Scholar] [CrossRef]
- Mahinroosta, R.; Alizadeh, A.; Gatmiri, B. Simulation of Collapse Settlement of First Filling in a High Rockfill Dam. Eng. Geol. 2015, 187, 32–44. [Google Scholar] [CrossRef]
- Shalaby, S.I. Potential Collapse for Sandy Compacted Soil during Inundation. Int. J. Innov. Sci. Eng. Technol. 2017, 4, 307–314. [Google Scholar]
- Barden, L.; McGown, A.; Collins, K. The Collapse Mechanism in Partly Saturated Soil. Eng. Geol. 1973, 7, 49–60. [Google Scholar] [CrossRef]
- Alonso, E.E.; Cardoso, R. Behavior of Materials for Earth and Rockfill Dams: Perspective from Unsaturated Soil Mechanics. Front. Archit. Civ. Eng. China 2010, 4, 1–39. [Google Scholar] [CrossRef]
- Hardcastle, J.H. Stress Ratio Effects on Collapse of Compacted Clayey Sand. J. Geotech. Eng. 1991, 117, 714–730. [Google Scholar] [CrossRef]
- Mahin Roosta, R.; Oshtaghi, V. Effect of Saturation on the Shear Strength and Collapse Settlement of Gravelly Material Using Direct Shear Test Apparatus. Sharif J. Civ. Eng. 2013, 29, 103–114. [Google Scholar]
- Lawton, E.C.; Fragaszy, R.J.; Hetherington, M.D. Review of Wetting-Induced Collapse in Compacted Soil. J. Geotech. Eng. 1992, 118, 1376–1394. [Google Scholar] [CrossRef]
- Shan, Y.; Ke, X. Reexamination of Collapse Failure of Fine-Grained Soils and Characteristics of Related Soil Indexes. Environ. Earth Sci. 2021, 80, 1–11. [Google Scholar] [CrossRef]
- Marachi, N.D. Strength and Deformation Characteristics of Rockfill Materials. Ph.D. Thesis, University of California, Berkeley, CA, USA, 1969. [Google Scholar]
- Marei, M.G.; Abdelaziz, T.M.; Ragheb, A.M.; Ali, N. A Proposed Approach for Calculating Collapse Settlement. In Proceedings of the Sustainable Civil Infrastructures; Sustainable Civil Infrastructures; Springer: Berlin/Heidelberg, Germany, 2019; pp. 82–96. [Google Scholar]
- Das, A.P.; Thyagaraj, T. Collapse Behaviour of Compacted Red Soil. Int. J. Geotech. Eng. 2018, 12, 20–27. [Google Scholar] [CrossRef]
- Nobari, E.; Duncan, J. Effect of Reservoir Filling on Stresses and Movements in Earth and Rockfill Dams. Report No. TE-72-1; Department of Civil Engineering, University of California: Berkeley, CA, USA, 1972. [Google Scholar]
- Atkinson, B.K.; Meredith, P.G. The Theory of Subcritical Crack Growth with Applications to Minerals and Rocks. In Fracture Mechanics of Rock; Academic Press: Cambridge, MA, USA, 1987; Volume 2, pp. 111–166. [Google Scholar]
- Lama, R.D. Handbook on Mechanical Properties of Rocks; Trans Tech Publication: Zurich, Switzerland, 1978; Volume 15. [Google Scholar]
- Oldecop, L.A.; Alonso, E.E. A Model for Rockfill Compressibility. Geotechnique 2001, 51, 127–139. [Google Scholar] [CrossRef]
- Xie, W.L.; Li, P.; Vanapalli, S.K.; Wang, J.D. Prediction of the Wetting-Induced Collapse Behaviour Using the Soil-Water Characteristic Curve. J. Asian Earth Sci. 2018, 151, 259–268. [Google Scholar] [CrossRef]
- Oshtaghi, V.; Mahinroosta, R. Changes in the Stress and Strain Conditions of Dry Gravelly Material Caused by Saturation. In Proceedings of the 4th International Conference on Geotechnical Engineering and Soil Mechanics, Tehran, Iran, 2 November 2010. [Google Scholar]
- Hunter, G.; Fell, R. The Deformation Behaviour of Rockfill, School of Civil and Environmental Engineering; University of New South Wales: Sydney, Australia, 2002. [Google Scholar]
- Alonso, E.E. Exploring the Limits of Unsaturated Soil Mechanics: The Behavior of Coarse Granular Soil and Rockfill; The Eleventh Spencer J. Buchanan Lecture; College Station Hilton: College Station, TX, USA, 2003; pp. 1–53. [Google Scholar]
- Benchouk, A.; Abou-Bekr, N.; Taibi, S. Potential Collapse for a Clay Soil. Int. J. Emerg. Technol. Adv. Eng. 2013, 3, 43–47. [Google Scholar]
- Pandya, S.; Sachan, A. Variation of Collapse Potential and Stiffness Degradation with Matric Suction of Compacted Unsaturated Cohesive Soil. Int. J. Geotech. Eng. 2020, 14, 35–48. [Google Scholar] [CrossRef]
- Bakir, N.; Abbeche, K.; Panczer, G. Experimental Study of the Effect of the Glass Fibers on Reducing Ceollapse of a Collapsible Soil. Geomech. Eng. 2017, 12, 71–83. [Google Scholar] [CrossRef]
- Fattah, M.Y.; Dawood, B.A. Time-Dependent Collapse Potential of Unsaturated Collapsible Gypseous Soils. World J. Eng. 2020, 17, 283–294. [Google Scholar] [CrossRef]
- Naderpour, H.; Rafiean, A.H.; Fakharian, P. Compressive Strength Prediction of Environmentally Friendly Concrete Using Artificial Neural Networks. J. Build. Eng. 2018, 16, 213–219. [Google Scholar] [CrossRef]
- Rezazadeh Eidgahee, D.; Haddad, A.; Naderpour, H. Evaluation of Shear Strength Parameters of Granulated Waste Rubber Using Artificial Neural Networks and Group Method of Data Handling. Sci. Iran. 2019, 26, 3233–3244. [Google Scholar] [CrossRef]
- Mahmood, W.; Mohammed, A.S.; Asteris, P.G.; Kurda, R.; Armaghani, D.J. Modeling Flexural and Compressive Strengths Behaviour of Cement-Grouted Sands Modified with Water Reducer Polymer. Appl. Sci. 2022, 12, 1016. [Google Scholar] [CrossRef]
- Koopialipoor, M.; Asteris, P.G.; Mohammed, A.S.; Alexakis, D.E.; Mamou, A.; Armaghani, D.J. Introducing Stacking Machine Learning Approaches for the Prediction of Rock Deformation. Transp. Geotech. 2022, 34, 100756. [Google Scholar] [CrossRef]
- Barkhordari, M.S.; Armaghani, D.J.; Asteris, P.G. Structural Damage Identification Using Ensemble Deep Convolutional Neural Network Models. Comput. Model. Eng. Sci. 2022, 134, 835–855. [Google Scholar] [CrossRef]
- Kardani, N.; Bardhan, A.; Samui, P.; Nazem, M.; Asteris, P.G.; Zhou, A. Predicting the Thermal Conductivity of Soils Using Integrated Approach of ANN and PSO with Adaptive and Time-Varying Acceleration Coefficients. Int. J. Therm. Sci. 2022, 173, 107427. [Google Scholar] [CrossRef]
- Parsajoo, M.; Armaghani, D.J.; Asteris, P.G. A Precise Neuro-Fuzzy Model Enhanced by Artificial Bee Colony Techniques for Assessment of Rock Brittleness Index. Neural Comput. Appl. 2022, 34, 3263–3281. [Google Scholar] [CrossRef]
- Li, Z.; Bejarbaneh, B.Y.; Asteris, P.G.; Koopialipoor, M.; Armaghani, D.J.; Tahir, M.M. A Hybrid GEP and WOA Approach to Estimate the Optimal Penetration Rate of TBM in Granitic Rock Mass. Soft Comput. 2021, 25, 11877–11895. [Google Scholar] [CrossRef]
- Harandizadeh, H.; Armaghani, D.J.; Asteris, P.G.; Gandomi, A.H. TBM Performance Prediction Developing a Hybrid ANFIS-PNN Predictive Model Optimized by Imperialism Competitive Algorithm. Neural Comput. Appl. 2021, 33, 16149–16179. [Google Scholar] [CrossRef]
- Gupta, T.; Rao, M.C. Prediction of Compressive Strength of Geopolymer Concrete Using Machine Learning Techniques. Struct. Concr. 2021, 33, 13089–13121. [Google Scholar] [CrossRef]
- Biswas, R.; Bardhan, A.; Samui, P.; Rai, B.; Nayak, S.; Armaghani, D.J. Efficient Soft Computing Techniques for the Prediction of Compressive Strength of Geopolymer Concrete. Comput. Concr. 2021, 28, 221–232. [Google Scholar] [CrossRef]
- Naderpour, H.; Nagai, K.; Fakharian, P.; Haji, M. Innovative Models for Prediction of Compressive Strength of FRP-Confined Circular Reinforced Concrete Columns Using Soft Computing Methods. Compos. Struct. 2019, 215, 69–84. [Google Scholar] [CrossRef]
- Asteris, P.G.; Lourenço, P.B.; Roussis, P.C.; Elpida Adami, C.; Armaghani, D.J.; Cavaleri, L.; Chalioris, C.E.; Hajihassani, M.; Lemonis, M.E.; Mohammed, A.S.; et al. Revealing the Nature of Metakaolin-Based Concrete Materials Using Artificial Intelligence Techniques. Constr. Build. Mater. 2022, 322, 126500. [Google Scholar] [CrossRef]
- Naderpour, H.; Rezazadeh Eidgahee, D.; Fakharian, P.; Rafiean, A.H.; Kalantari, S.M. A New Proposed Approach for Moment Capacity Estimation of Ferrocement Members Using Group Method of Data Handling. Eng. Sci. Technol. Int. J. 2020, 23, 382–391. [Google Scholar] [CrossRef]
- Khademi, A.; Behfarnia, K.; Kalman Šipoš, T.; Miličević, I. The Use of Machine Learning Models in Estimating the Compressive Strength of Recycled Brick Aggregate Concrete. Comput. Eng. Phys. Model. 2021, 4, 1–25. [Google Scholar] [CrossRef]
- Farhangi, V.; Jahangir, H.; Rezazadeh Eidgahee, D.; Karimipour, A.; Javan, S.A.N.; Hasani, H.; Fasihihour, N.; Karakouzian, M. Behaviour Investigation of SMA-Equipped Bar Hysteretic Dampers Using Machine Learning Techniques. Appl. Sci. 2021, 11, 10057. [Google Scholar] [CrossRef]
- Ghanizadeh, A.R.; Heidarabadizadeh, N.; Heravi, F. Gaussian Process Regression (GPR) for Auto-Estimation of Resilient Modulus of Stabilized Base Materials. J. Soft Comput. Civ. Eng. 2021, 5, 80–94. [Google Scholar] [CrossRef]
- Heidarabadizadeh, N.; Ghanizadeh, A.R.; Behnood, A. Prediction of the Resilient Modulus of Non-Cohesive Subgrade Soils and Unbound Subbase Materials Using a Hybrid Support Vector Machine Method and Colliding Bodies Optimization Algorithm. Constr. Build. Mater. 2021, 275, 122140. [Google Scholar] [CrossRef]
- Asteris, P.G.; Rizal, F.I.M.; Koopialipoor, M.; Roussis, P.C.; Ferentinou, M.; Armaghani, D.J.; Gordan, B. Slope Stability Classification under Seismic Conditions Using Several Tree-Based Intelligent Techniques. Appl. Sci. 2022, 12, 1753. [Google Scholar] [CrossRef]
- Hasanzadehshooiili, H.; Mahinroosta, R.; Lakirouhani, A.; Oshtaghi, V. Using Artificial Neural Network (ANN) in Prediction of Collapse Settlements of Sandy Gravels. Arab. J. Geosci. 2014, 7, 2303–2314. [Google Scholar] [CrossRef]
- Soleimani, S.; Jiao, P.; Rajaei, S.; Forsati, R. A New Approach for Prediction of Collapse Settlement of Sandy Gravel Soils. Eng. Comput. 2018, 34, 15–24. [Google Scholar] [CrossRef]
- Najemalden, A.M.; Ibrahim, S.W.; Ahmed, M.D. Prediction of Collapse Potential for Gypseous Sandy Soil Using ANN Technique. J. Eng. Sci. Technol. 2020, 15, 1236–1253. [Google Scholar]
- Uysal, F. Prediction of Collapse Potential of Soils Using Gene Expression Programming and Parametric Study. Arab. J. Geosci. 2020, 13, 1–13. [Google Scholar] [CrossRef]
- Zhang, W. MARS Use in Prediction of Collapse Potential for Compacted Soils. In MARS Applications in Geotechnical Engineering Systems; Springer: Singapore, 2020; pp. 27–46. ISBN 978-981-13-7422-7. [Google Scholar]
- Mawlood, Y.I. Linear and Nonlinear Approaches and Statistical Evaluations to Predict the Shear Strength Parameters and Collapse Potential of Gypseous Soils. Arab. J. Geosci. 2021, 14, 1–13. [Google Scholar] [CrossRef]
- Tu, J.V. Advantages and Disadvantages of Using Artificial Neural Networks versus Logistic Regression for Predicting Medical Outcomes. J. Clin. Epidemiol. 1996, 49, 1225–1231. [Google Scholar] [CrossRef]
- Giustolisi, O.; Savic, D.A. A Symbolic Data-Driven Technique Based on Evolutionary Polynomial Regression. J. Hydroinformatics 2006, 8, 207–222. [Google Scholar] [CrossRef]
- Shahnazari, H.; Shahin, M.A.; Tutunchian, M.A. Evolutionary-Based Approaches for Settlement Prediction of Shallow Foundations on Cohesionless Soils. Int. J. Civ. Eng. 2014, 12, 55–64. [Google Scholar]
- Alzabeebee, S. Application of EPR-MOGA in Computing the Liquefaction-Induced Settlement of a Building Subjected to Seismic Shake. Eng. Comput. 2022, 38, 437–448. [Google Scholar] [CrossRef]
- Alani, A.M.; Faramarzi, A. An Evolutionary Approach to Modelling Concrete Degradation Due to Sulphuric Acid Attack. Appl. Soft Comput. J. 2014, 24, 985–993. [Google Scholar] [CrossRef]
- Giustolisi, O.; Savic, D.A. Advances in Data-Driven Analyses and Modelling Using EPR-MOGA. J. Hydroinformatics 2009, 11, 225–236. [Google Scholar] [CrossRef]
- Ahangar-Asr, A.; Javadi, A.A.; Johari, A.; Chen, Y. Lateral Load Bearing Capacity Modelling of Piles in Cohesive Soils in Undrained Conditions: An Intelligent Evolutionary Approach. Appl. Soft Comput. J. 2014, 24, 822–828. [Google Scholar] [CrossRef]
- Rezania, M.; Javadi, A.A.; Giustolisi, O. Evaluation of Liquefaction Potential Based on CPT Results Using Evolutionary Polynomial Regression. Comput. Geotech. 2010, 37, 82–92. [Google Scholar] [CrossRef]


















| Statistical Index | SC (%) | SL (%) | Dr (%) | CSR | ∆H (mm) | |
|---|---|---|---|---|---|---|
| Min. | 0 | 1 | 30 | 60 | 0.289 | 0.11 |
| Max. | 100 | 5 | 100 | 85 | 0.779 | 2.92 |
| Mean | 51.98 | 3.03 | 64.72 | 71.42 | 0.49 | 1.08 |
| Median | 50 | 3 | 62.5 | 70 | 0.5 | 0.94 |
| Standard deviation | 41.66 | 1.39 | 27.12 | 10.46 | 0.11 | 0.73 |
| Statistical Index | SC (%) | SL (%) | Dr (%) | CSR | ∆H (mm) | |
|---|---|---|---|---|---|---|
| Min. | 0 | 1 | 30 | 60 | 0.297 | 0.12 |
| Max. | 100 | 5 | 100 | 85 | 0.769 | 2.85 |
| Mean | 45.37 | 2.92 | 61.48 | 71.22 | 0.51 | 1.18 |
| Median | 50 | 3 | 62.5 | 70 | 0.5 | 1.03 |
| Standard deviation | 39.17 | 1.47 | 24.66 | 9.98 | 0.1 | 0.77 |
| Parameter | Parameter Arrangement | ||||
|---|---|---|---|---|---|
| Sinusoidal | Exponential | Natural Logarithm | Tangent Hyperbolic | Secant Hyperbolic | |
| Exponential range | [−1, −0.5, 0, 0.5, 1] | [−1, −0.5, 0, 0.5, 1] | [−1, −0.5, 0, 0.5, 1] | [−1, −0.5, 0, 0.5, 1] | [−1, −0.5, 0, 0.5, 1] |
| Number of terms | 5 | 5 | 5 | 5 | 5 |
| Bias value | −0.056354 | −0.63544 | −0.025247 | 2.6271 | −4.6782 |
| Parameter scale | [0, 1] | [0, 1] | [0, 1] | [0, 1] | [0, 1] |
| Parameter | Parameter Arrangement | ||||
|---|---|---|---|---|---|
| Sinusoidal | Exponential | Natural Logarithm | Tangent Hyperbolic | Secant Hyperbolic | |
| Exponential range | [−1, −0.5, 0, 0.5, 1] | [−1, −0.5, 0, 0.5, 1] | [−1, −0.5, 0, 0.5, 1] | [−1, −0.5, 0, 0.5, 1] | [−1, −0.5, 0, 0.5, 1] |
| Number of terms | 5 | 5 | 5 | 5 | 5 |
| Bias value | 1.0927 | 0.28029 | 0.83969 | 0.097054 | 1.2518 |
| Parameter scale | [0, 1] | [0, 1] | [0, 1] | [0, 1] | [0, 1] |
| Models | COD | AVG | RMSE | SSE | R2 |
|---|---|---|---|---|---|
| Secant hyperbolic | 0.9784 | 0.125 | 0.01 | 0.011 | 0.9781 |
| Tangent hyperbolic | 0.9743 | 0.144 | 0.011 | 0.013 | 0.9744 |
| Natural logarithm | 0.9625 | 0.16 | 0.014 | 0.02 | 0.9626 |
| Exponential | 0.9759 | 0.116 | 0.01 | 0.012 | 0.9759 |
| Sinusoidal | 0.9568 | 0.182 | 0.013 | 0.023 | 0.9571 |
| Models | COD | AVG | RMSE | SSE | R2 |
|---|---|---|---|---|---|
| Secant hyperbolic | 0.9728 | 0.111 | 0.014 | 0.015 | 0.9732 |
| Tangent hyperbolic | 0.9733 | 0.142 | 0.016 | 0.021 | 0.9634 |
| Natural logarithm | 0.9667 | 0.134 | 0.02 | 0.019 | 0.9668 |
| Exponential | 0.9746 | 0.101 | 0.013 | 0.014 | 0.9759 |
| Sinusoidal | 0.9374 | 0.204 | 0.018 | 0.036 | 0.938 |
| Models | COD | AVG | RMSE | SSE | R2 |
|---|---|---|---|---|---|
| Secant hyperbolic | 0.9785 | 0.125 | 0.015 | 0.012 | 0.9768 |
| Tangent hyperbolic | 0.9746 | 0.142 | 0.017 | 0.014 | 0.971 |
| Natural logarithm | 0.9615 | 0.16 | 0.019 | 0.021 | 0.9641 |
| Exponential | 0.9758 | 0.116 | 0.014 | 0.013 | 0.9757 |
| Sinusoidal | 0.9569 | 0.182 | 0.019 | 0.023 | 0.9512 |
| Models | COD | AVG | RMSE | SSE | R2 |
|---|---|---|---|---|---|
| Secant hyperbolic | 0.9812 | 0.025 | 0.01 | 0.0002 | 0.9812 |
| Tangent hyperbolic | 0.9781 | 0.03 | 0.011 | 0.0002 | 0.9781 |
| Natural logarithm | 0.9706 | 0.036 | 0.014 | 0.0003 | 0.9706 |
| Exponential | 0.9833 | 0.012 | 0.01 | 0.0002 | 0.9833 |
| Sinus | 0.9687 | 0.015 | 0.013 | 0.0004 | 0.9694 |
| Models | COD | AVG | RMSE | SSE | R2 |
|---|---|---|---|---|---|
| Secant hyperbolic | 0.98 | 0.023 | 0.014 | 0.0002 | 0.9803 |
| Tangent hyperbolic | 0.9722 | 0.028 | 0.016 | 0.0002 | 0.9733 |
| Natural logarithm | 0.9593 | 0.035 | 0.02 | 0.0004 | 0.9607 |
| Exponential | 0.9817 | 0.022 | 0.013 | 0.0001 | 0.982 |
| Sinus | 0.9655 | 0.027 | 0.018 | 0.0003 | 0.9663 |
| Models | COD | AVG | RMSE | SSE | R2 |
|---|---|---|---|---|---|
| Secant hyperbolic | 0.9812 | 0.025 | 0.015 | 0.0003 | 0.9811 |
| Tangent hyperbolic | 0.978 | 0.03 | 0.017 | 0.0003 | 0.9769 |
| Natural logarithm | 0.9709 | 0.036 | 0.019 | 0.0004 | 0.9682 |
| Exponential | 0.9832 | 0.025 | 0.014 | 0.0002 | 0.9833 |
| Sinusoidal | 0.9685 | 0.034 | 0.019 | 0.0004 | 0.9687 |
| Models | EPR | ANN [46] | MGGP [47] | |||
|---|---|---|---|---|---|---|
| Dataset | Training | Testing | Training | Testing | Training | Testing |
| ∆H | 0.9759 | 0.9759 | 0.9828 | 0.9830 | 0.9780 | 0.9580 |
| CSR | 0.9833 | 0.9820 | 0.9806 | 0.9810 | 0.9610 | 0.9820 |
| Input Parameters | Input Parameter Changes | Collapse Settlement Changes | Stress Release Changes | ||||
|---|---|---|---|---|---|---|---|
| Hasanzadehshooiili et al. [46] | Soleimani et al. [47] | This Study | Hasanzadehshooiili et al. [46] | Soleimani et al. [47] | This Study | ||
| Increase | Increase | Increase | Increase | Increase | Increase | Increase | |
| SC | Increase | Increase | Increase | Increase | Decrease | Decrease | Decrease |
| SL | Increase | Increase | Increase | Increase | Decrease | Decrease | Decrease |
| Dr | Increase | Decrease | Decrease | Decrease | Increase | Increase | Increase |
Publisher’s Note: MDPI stays neutral with regard to jurisdictional claims in published maps and institutional affiliations. |
© 2022 by the authors. Licensee MDPI, Basel, Switzerland. This article is an open access article distributed under the terms and conditions of the Creative Commons Attribution (CC BY) license (https://creativecommons.org/licenses/by/4.0/).
Share and Cite
Ghanizadeh, A.R.; Delaram, A.; Fakharian, P.; Armaghani, D.J. Developing Predictive Models of Collapse Settlement and Coefficient of Stress Release of Sandy-Gravel Soil via Evolutionary Polynomial Regression. Appl. Sci. 2022, 12, 9986. https://doi.org/10.3390/app12199986
Ghanizadeh AR, Delaram A, Fakharian P, Armaghani DJ. Developing Predictive Models of Collapse Settlement and Coefficient of Stress Release of Sandy-Gravel Soil via Evolutionary Polynomial Regression. Applied Sciences. 2022; 12(19):9986. https://doi.org/10.3390/app12199986
Chicago/Turabian StyleGhanizadeh, Ali Reza, Ali Delaram, Pouyan Fakharian, and Danial Jahed Armaghani. 2022. "Developing Predictive Models of Collapse Settlement and Coefficient of Stress Release of Sandy-Gravel Soil via Evolutionary Polynomial Regression" Applied Sciences 12, no. 19: 9986. https://doi.org/10.3390/app12199986
APA StyleGhanizadeh, A. R., Delaram, A., Fakharian, P., & Armaghani, D. J. (2022). Developing Predictive Models of Collapse Settlement and Coefficient of Stress Release of Sandy-Gravel Soil via Evolutionary Polynomial Regression. Applied Sciences, 12(19), 9986. https://doi.org/10.3390/app12199986

