A Validated HPLC Multichannel DAD Method for the Simultaneous Determination of Amoxicillin and Doxycycline in Pharmaceutical Formulations and Wastewater Samples
Abstract
1. Introduction
2. Results and Discussion
2.1. Method Validation
2.1.1. Chromatographic Parameters
2.1.2. Specificity
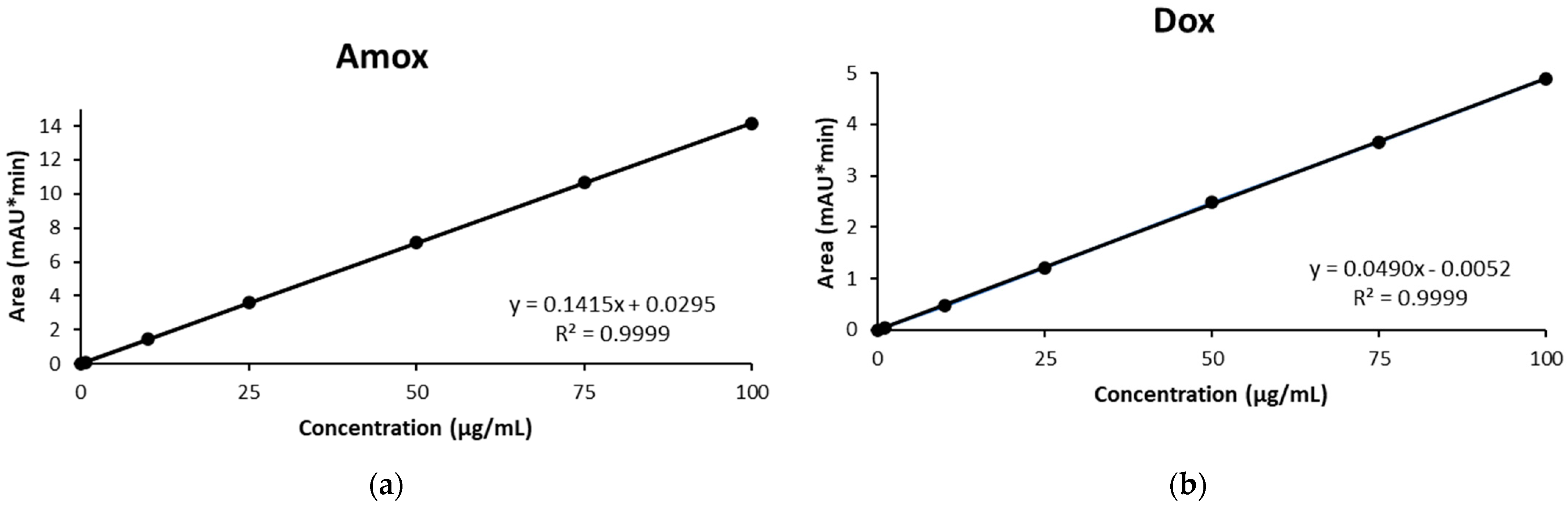
2.1.3. Linearity, Limit of Detection (LOD) and Limit of Quantification (LOQ)
2.1.4. Accuracy and Precision
2.1.5. Robustness
2.2. Determination of Amox and Dox in Commercial Drugs
2.3. Occurrence of Amox and Dox in Wastewater Samples
3. Materials and Methods
3.1. Materials
3.2. Preparation of Standards and Quality Controls
3.3. Sample Preparation
3.3.1. Commercial Tablets
3.3.2. Wastewater
3.4. Chromatographic Conditions
3.5. Method Validation
4. Conclusions
Author Contributions
Funding
Institutional Review Board Statement
Informed Consent Statement
Data Availability Statement
Conflicts of Interest
References
- Polianciuc, S.I.; Gurzau, A.E.; Kiss, B.; Stefan, M.G.; Loghin, F. Antibiotics in the environment: Causes and consequences. Med. Pharm. Rep. 2020, 93, 231–240. [Google Scholar] [CrossRef] [PubMed]
- de Marco, B.A.; Natori, J.S.H.; Fanelli, S.; Gandolpho Tótoli, E.; Nunes Salgado, H.R. Characteristics, properties and analytical methods of amoxicillin: A review with green approach. Crit. Rev. Anal. Chem. 2017, 47, 267–277. [Google Scholar] [CrossRef] [PubMed]
- Abdallat, G.A.; Salameh, E.; Shteiwi, M. Pharmaceuticals as emerging pollutants in the reclaimed wastewater used in irrigation and their effects on plants, soils, and groundwater. Water 2022, 14, 1560. [Google Scholar] [CrossRef]
- Yang, Q.; Gao, Y.; Ke, J.; Show, P.L.; Ge, Y.; Liu, Y.; Guo, R.; Chen, J. Antibiotics: An overview on the environmental occurrence, toxicity, degradation, and removal methods. Bioengineered 2021, 12, 7376–7416. [Google Scholar] [CrossRef] [PubMed]
- Al-Tabakha, M.M.; Fahelelbom, K.M.S.; Obaid, D.E.E.; Sayed, S. Quality attributes and in vitro bioequivalence of different brands of amoxicillin trihydrate tablets. Pharmaceutics 2017, 9, 18. [Google Scholar] [CrossRef]
- Unutkan, T.; Bakırdere, S.; Keyf, S. Development of an analytical method for the determination of amoxicillin in commercial drugs and wastewater samples, and assessing its stability in simulated gastric digestion. J. Chromatogr. Sci. 2018, 56, 36–40. [Google Scholar] [CrossRef]
- Ashnagar, A.; Naseri, N.G. Analysis of three penicillin antibiotics (ampicillin, amoxicillin and cloxacillin) of several Iranian pharmaceutical companies by HPLC. E-J. Chem. 2007, 4, 536–545. [Google Scholar] [CrossRef]
- El-Shafie, F.S.; Gad-Kariem, E.A.; Al-Rashood, K.A.; Al-Khamees, H.A.; El-Obeid, H.A. Colorimetric method for the determination of ampicillin and amoxicillin. Anal. Lett. 1996, 29, 381–393. [Google Scholar] [CrossRef]
- Sharma, D.K.; Sood, S.; Raj, P. Spectrophotometric determination of amoxicillin, ampicillin, cefalexin and cefadroxil in pharmaceutical formulations, biological fluids and spiked water samples. Anal. Lett. 2019, 9, 345–361. [Google Scholar] [CrossRef]
- Uslu, B.; Biryol, I. Voltammetric determination of amoxicillin using a poly (N-vinylimidazole) carbon paste electrode. J. Pharmaceut. Biomed. 1991, 25, 591–598. [Google Scholar]
- Biryol, I.; Uslu, B.; Kuçukyavuz, Z. Voltammetric determination of amoxicillin using carbon paste electrode modified with poly (4-vinyl)pyridine. STP Pharma Sci. 1998, 8, 383–386. [Google Scholar]
- Gutierez Navarro, P.; El Bekkouri, A.; Rodriguez Reinoso, E. Spectrofluorimetric study of the degradation of α-amino β-lactam antibiotics catalysed by metal ions in methanol. Analyst 1998, 123, 2263–2266. [Google Scholar] [CrossRef] [PubMed]
- Saini, A.; Singh, J.; Kaur, R.; Singh, N.; Kaur, N. Fluoremetric determination of amoxicillin drug in aqueous medium using hybrid framework of organic–inorganic nanoparticles. Sens. Actuators B Chem. 2015, 209, 524–529. [Google Scholar] [CrossRef]
- Ball, A.P.; Davey, P.G.; Geddes, A.M.; Farrei, I.D.; Brookes, G. Clavulanic acid and amoxicillin: A clinical, bacteriological and pharmacological study. Lancet 1980, 1, 620–623. [Google Scholar] [CrossRef]
- Marra, M.C.; Cunha, R.R.; Muñoz, R.A.A.; Batista, A.D.; Richter, E.M. Single-run capillary electrophoresis method for the fast simultaneous determination of amoxicillin, clavulanate, and potassium. J. Sep. Sci. 2017, 40, 3557–3562. [Google Scholar] [CrossRef]
- Pajchel, G.; Pawlowski, K.; Tyski, S. CE versus LC for simultaneous determination of amoxicillin/clavulanic acid and ampicillin/sulbactam in pharmaceutical formulations for injections. J. Pharmaceut. Biomed. 2002, 29, 75–81. [Google Scholar] [CrossRef]
- Marcel, S.; Tito, U.; Ines, I.; Pierre, J.P. Validation of HPLC-UV method for determination of amoxicillin Trihydrate in capsule. Ann. Adv. Chem. 2018, 2, 055–072. [Google Scholar]
- Peris-Vincente, J.; Peris-Garcia, E.; Albiol-Chiva, J.; Durgbanshi, A.; Ochoa-Aranda, E.; Carda-Broch, S.; Bose, D. Esteve-Romero. Microchem. J. 2022, 177, 107309. [Google Scholar]
- Tsou, T.-L.; Wu, J.-R.; Young, C.-D.; Wang, T.-M. Simultaneous determination of amoxycillin and clavulanic acid in pharmaceutical products by HPLC with β-cyclodextrin stationary phase. J. Pharmaceut. Biomed. 1997, 15, 1197–1205. [Google Scholar] [CrossRef]
- Almalki, A.H.; Hussein, E.A.; Naguib, I.A.; Abdelaleem, E.A.; Zaazaa, H.E.; Abdallah, F.F. Development and validation of ecofriendly HPLC-MS method for quantitative assay of amoxicillin, dicloxacillin, and their official impurity in pure and dosage forms. J. Anal. Methods Chem. 2021, 2021, 5570938. [Google Scholar] [CrossRef]
- Bizimana, T.; Kagisha, V.; Nyandwi, J.B.; Nyirimigabo, A.K.; Muganga, R.; Mukanyangezi, M.F.; Kayitare, E. Investigation of the quality of the 12 most-used antibiotics available in retail private pharmacies in Rwanda. Antibiotics 2022, 11, 329. [Google Scholar] [CrossRef] [PubMed]
- Samanidou, V.F.; Evaggelopoulou, E.N.; Papadoyannis, I.N. Development of a validated HPLC method for the determination of four penicillin antibiotics in pharmaceuticals and human biological fluids. J. Sep. Sci. 2006, 29, 1550–1560. [Google Scholar] [CrossRef] [PubMed]
- Chopra, I.; Roberts, M. Tetracycline Antibiotics: Mode of action, applications, molecular biology, and epidemiology of bacterial resistance. Microbiol. Mol. Biol. Rev. 2001, 65, 232–260. [Google Scholar] [CrossRef]
- Alshaman, R.; Alattar, A.; El-Sayed, R.M.; Gardouh, A.R.; Elshaer, R.E.; Elkazaz, A.Y.; Eladl, M.A.; El-Sherbiny, M.; Farag, N.E.; Hamdan, A.M.; et al. Formulation and characterization of doxycycline-loaded polymeric nanoparticles for testing antitumor/antiangiogenic action in experimental colon cancer in mice. Nanomaterials 2022, 12, 857. [Google Scholar] [CrossRef]
- Ramesh, P.I.; Basavaiah, K.; Tharpa, K.; Vinay, K.B.; Revanasiddappa, H.D. Development and validation of RP-HPLC method for the determination of doxycycline hyclate in spiked human urine and pharmaceuticals. J. Pre-Clin. Clin. Res. 2010, 4, 101–107. [Google Scholar]
- Lee, H.; Choi, Y.Y.; Sohn, Y.J.; Kim, Y.K.; Han, M.S.; Yun, K.W.; Kim, K.; Park, J.Y.; Choi, J.H.; Cho, E.Y.; et al. Clinical efficacy of doxycycline for treatment of macrolide-resistant Mycoplasma pneumoniae pneumonia in children. Antibiotics 2021, 10, 192. [Google Scholar] [CrossRef]
- Sunaric, S.M.; Mitic, S.S.; Miletic, G.Z.; Pavlovic, A.N.; Naskovic-Djokic, D. Determination of doxycycline in pharmaceuticals based on its degradation by Cu(II)/H2O2 reagent in aqueous solution. J. Anal. Chem. 2009, 64, 231–237. [Google Scholar] [CrossRef]
- Salinas, F.; Berzas Nevado, J.J.; Espinosa, A. Determination of oxytetracycline and doxycycline in pharmaceutical compounds, urine and honey by derivative spectrophotometry. Analyst 1989, 114, 1141–1145. [Google Scholar] [CrossRef]
- Saha, U.; Sen, A.K.; Das, T.K.; Bhowal, S.K. Spectrophotometric determination of tetracyclines in pharmaceutical preparations with uranyl acetate. Talanta 1990, 37, 1193–1196. [Google Scholar] [CrossRef]
- Van Schepdael, A.; Kibaya, R.; Roets, E.; Hoogmartens, J. Analysis of doxycycline by capillary electrophoresis. Chromatographia 1995, 41, 367–369. [Google Scholar] [CrossRef]
- Injac, R.; Kac, K.; Kreft, S.; Strukelj, B. Determination of doxycycline in pharmaceuticals and human urine by micellar electrokinetic capillary chromatography. Anal. Bioanal. Chem. 2007, 387, 695–701. [Google Scholar] [CrossRef] [PubMed]
- Monser, L.; Darghouth, H. Rapid liquid chromatographic method for simultaneous determination of tetracyclines antibiotics and 6-epi-doxycycline in pharmaceutical products using porous graphitic carbon column. J. Pharm. Biomed. Anal. 2000, 23, 353–362. [Google Scholar] [CrossRef]
- Kogawa, A.C.; Salgado, H.R.N. Quantification of doxycycline hyclate in tablets by HPLC–UV method. J. Chromatogr. Sci. 2013, 51, 919–925. [Google Scholar] [CrossRef] [PubMed]
- Kazemifard, A.G.; Moore, D.E. Evaluation of amperometric detection for the liquid-chromatographic determination of tetracycline antibiotics and their common contaminants in pharmaceutical formulations. J. Pharmaceut. Biomed. 1997, 16, 689–696. [Google Scholar] [CrossRef]
- Naidong, W.; Geelen, S.; Roets, E.; Hoogmartens, J. Assay and purity control of oxytetracycline and doxycycline by thin-layer chromatography—A comparison with liquid chromatography. J. Pharmaceut. Biomed. 1990, 8, 891–898. [Google Scholar] [CrossRef]
- Bryan, P.D.; Stewart, J.T. Chromatographic analysis of selected tetracyclines from dosage forms and bulk drug substance using polymeric columns with acidic mobile phases. J. Pharmaceut. Biomed. 1994, 12, 675–692. [Google Scholar] [CrossRef]
- Dzomba, P.; Zaranyika, M.F.; Kugara, J.; Zhanda, T. Analysis of oxytetracycline and doxycycline in surface water sources and treated drinking water in Harare Metropolitan using ultrasonic assisted dispersive solid phase extraction (UA-DSPE) and RP-HPLC-UV technique. Bull. Environ. Pharmacol. Life Sci. 2014, 3, 100–109. [Google Scholar]
- Cairoli, S.; Simeoli, R.; Tarchi, M.; Dionisi, M.; Vitale, A.; Perioli, L.; Dionisi-Vici, C.; Goffredo, B.M. A new HPLC–DAD method for contemporary quantification of 10 antibiotics for therapeutic drug monitoring of critically ill pediatric patients. Biomed. Chromatogr. 2020, 34, e4880. [Google Scholar] [CrossRef]
- Herzler, M.; Herre, S.; Pragst, F. Selectivity of substance identification by HPLC-DAD in toxicological analysis using a UV spectra library of 2682 compounds. J. Anal. Toxicol. 2003, 27, 233–242. [Google Scholar] [CrossRef]
- Seo, C.-S.; Lee, M.-Y. Simultaneous Analysis to Evaluate the Quality of Insamyangpye–Tang Using High-Performance Liquid Chromatography–Photo Diode Array Detection. Appl. Sci. 2021, 11, 4819. [Google Scholar] [CrossRef]
- Douša, M.; Hosmanová, R. Rapid determination of amoxicillin in premixes by HPLC. J. Pharmaceut. Biomed. 2005, 37, 373–377. [Google Scholar] [CrossRef] [PubMed]
- Napoleão, D.C.; Pinheiro, R.B.; Zaidan, L.E.M.C.; Rodríguez-Díaz, J.M.; da Nova Araújo, A.; da Conceição Montenegro, M.; da Silva, V.L. Validation of a chromatographic method for amoxicillin determination in wastewaters after its degradation by advanced oxidation process. Desalin. Water Treat. 2016, 57, 10988–10994. [Google Scholar] [CrossRef]
- Jendrzejewska, N.; Karwowska, E. The influence of antibiotics on wastewater treatment processes and the development of antibiotic-resistant bacteria. Water Sci. Technol. 2018, 77, 2320–2326. [Google Scholar] [CrossRef] [PubMed]
- Bisognin, R.P.; Wolff, D.B.; Carissimi, E.; Prestes, O.D.; Zanella, R. Occurrence and fate of pharmaceuticals in effluent and sludge from a wastewater treatment plant in Brazil. Environ. Technol. 2021, 42, 2292–2303. [Google Scholar] [CrossRef]
- Council of Europe. European Pharmacopoeia, 10th ed.; Council of Europe: Strasbourg, France, 2021. [Google Scholar]
- ICH, Q2 (R1); Validation of Analytical Procedures: Text and Methodology, ICH Harmonized Tripartite Guideline. ISO: Geneva, Switzerland, 2005.
- Le, T.H.H.; Phung, T.H.; Le, D.C. Development and Validation of an HPLC Method for simultaneous assay of potassium guaiacolsulfonate and sodium benzoate in pediatric oral powder. J. Anal. Methods Chem. 2019, 2019, 6143061. [Google Scholar] [CrossRef]
- Shabir, A.G. Validation of high-performance liquid chromatography methods for pharmaceutical analysis: Understanding the differences and similarities between validation requirements of the US Food and Drug Administration, the US Pharmacopeia and the International Conference on Harmonization. J. Chromatogr. A 2003, 987, 57–66. [Google Scholar]
- Singh, R. HPLC method development and validation- an overview. J. Adv. Pharm. Educ. Res. 2013, 4, 26–33. [Google Scholar]
- Tiwari, G.; Tiwari, R. Bioanalytical method validation: An updated review. Pharm. Methods 2010, 1, 25–38. [Google Scholar] [CrossRef]
- Certara. Available online: https://www.certara.com/knowledge-base/what-is-quantification-anyway/ (accessed on 30 May 2022).
- Magnusson, B.; Örnemark, U. (Eds.) Eurachem Guide: The Fitness for Purpose of Analytical Methods—A Laboratory Guide to Method Validation and Related Topics, 2nd ed.; Eurachem: Middlesex, UK, 2014; Available online: www.eurachem.org (accessed on 30 May 2022).
- Lister, A.S. Validation of HPLC methods in pharmaceutical analysis. In Handbook of Pharmaceutical Analysis by HPLC: Separation Science and Technology; Ahuja, S., Dong, M.W., Eds.; Elsevier: Oxford, UK, 2005; Volume 6, pp. 191–217. [Google Scholar]
- Gülfen, M.; Canbaz, Y.; Özdemir, A. Simultaneous determination of amoxicillin, lansoprazole, and levofloxacin in pharmaceuticals by HPLC with UV–Vis detector. J. Anal. Test. 2020, 4, 45–53. [Google Scholar] [CrossRef]
- Ghidini, L.F.; Kogawa, A.C.; Nunes Salgado, H.R. Eco-Friendlv green liquid chromatographic for determination of Doxycycline in tablets and in the presence of its degradation products. Drug Anal. Res. 2018, 2, 49–55. [Google Scholar] [CrossRef]
- Pauter, K.; Szultka-Młyńska, M.; Buszewski, B. Determination and identification of antibiotic drugs and bacterial strains in biological samples. Molecules 2020, 25, 2556. [Google Scholar] [CrossRef] [PubMed]
- Fanelli, S.; Zimmermann, A.; Totóli, E.G.; Salgado, H.R. FTIR spectrophotometry as a green tool for quantitative analysis of drugs: Practical application to amoxicillin. J. Chem. 2018, 2018, 3920810. [Google Scholar] [CrossRef]
- Attia, K.A.M.; Nassar, M.W.I.; El-Zeiny, M.B.; Serag, A. Different spectrophotometric methods applied for the analysis of binary mixture of flucloxacillin and amoxicillin: A comparative study. Spectrochim. Acta A 2016, 161, 64–69. [Google Scholar] [CrossRef] [PubMed]
- Freitas, S.K.; Silva, V.L.D.; Araújo, A.N.; Montenegro, M.C.; Reis, B.F.; Paim, A.P.S. A multicommuted flow analysis method for the photometric determination of amoxicillin in pharmaceutical formulations using a diazo coupling reaction. J. Braz. Chem. 2011, 22, 279–285. [Google Scholar] [CrossRef]
- Hadad, G.M.; El-Gindy, A.; Mahmoud, W.M.M. HPLC and chemometrics-assisted UV-spectroscopy methods for the simultaneous determination of ambroxol and doxycycline in capsule. Spectrochim. Acta A Mol. 2008, 70, 655–663. [Google Scholar] [CrossRef]
- Qu, N.; Zhu, M.; Mi, H.; Dou, Y.; Ren, Y. Nondestructive determination of compound amoxicillin powder by NIR spectroscopy with the aid of chemometrics. Spectrochim. Acta A Mol. 2008, 70, 1146–1151. [Google Scholar] [CrossRef]
- Gil, E.C.; Van Schepdael, A.; Roets, E.; Hoogmartens, J. Analysis of doxycycline by capillary electrophoresis Method development and validation. J. Chromatogr. A 2000, 895, 43–49. [Google Scholar]
- Gürler, B.; Özkorucuklu, S.P.; Kır, E. Voltammetric behavior and determination of doxycycline in pharmaceuticals at molecularly imprinted and non-imprinted overoxidized polypyrrole electrodes. J. Pharm. Biomed. Anal. 2013, 84, 263–268. [Google Scholar] [CrossRef]
- Al-Riyami, I.M.; Ahmed, M.; Al-Busaidi, A.; Chousdri, B.S. Antibiotics in wastewaters: A review with focus on Oman. Appl. Water Sci. 2018, 8, 199. [Google Scholar] [CrossRef]
- Teixeira, S.; Delerue-Matos, C.; Alves, A.; Santos, L. Fast screening procedure for antibiotics in wastewaters by direct HPLC-DAD analysis. J. Sep. Sci. 2008, 31, 2924–2931. [Google Scholar] [CrossRef]



| Parameter | Amox | Dox |
|---|---|---|
| retention time (min) | 1.72 | 5.23 |
| RSD of retention time (%) | 0.65 | 0.58 |
| asymmetry factor | 1.31 | 1.52 |
| resolution | 1.92 | 6.43 |
| theoretical plates | 11,558 | 26,328 |
| Analyte | Capsules | Wastewater | ||
|---|---|---|---|---|
| Amox (µg/mL) | Dox (µg/mL) | Amox (µg/mL) | Dox (µg/mL) | |
| 1 | 0.754 | 1.12 | 0.711 | 1.064 |
| 2 | 0.712 | 1.05 | 0.728 | 0.981 |
| 3 | 0.673 | 0.947 | 0.694 | 0.976 |
| 4 | 0.684 | 0.935 | 0.683 | 0.937 |
| 5 | 0.746 | 0.935 | 0.648 | 1.037 |
| 6 | 0.709 | 1.10 | 0.624 | 0.907 |
| RSD (%) | 4.54 | 8.61 | 5.73 | 6.00 |
| Recovery (%) | 102 | 101 | 97.3 | 98.4 |
| Analyte | Capsules | Wastewater | ||||||
|---|---|---|---|---|---|---|---|---|
| Fortified (µg/g) | Found (µg/g) | Recovery (%) | RSD (%) | Fortified (µg/mL) | Found (µg/mL) | Recovery (%) | RSD (%) | |
| Amox | 20.1 | 18.6 ± 0.21 | 92.8 | 1.11 | 10.1 | 9.92 | 98.6 | 1.03 |
| Dox | 20.1 | 18.6 ± 0.29 | 92.5 | 1.54 | 10.1 | 9.95 | 98.4 | 1.37 |
| Intraday (n = 5) | RSD (%) | Interday (n = 6) | RSD (%) | |||||
|---|---|---|---|---|---|---|---|---|
| Analyte | Matrix | Fortified (µg/g) | Measured (µg/g) | RSD (%) | Measured (µg/g)) | RSD (%) | ||
| Amox | Tablet | 30.0 | 30.3 ± 0.34 | 1.12 | 101 | - | - | - |
| 60.0 | 60.4 ± 0.72 | 1.19 | 101 | - | - | - | ||
| Dox | 30.0 | 29.9 ± 0.55 | 1.12 | 99.8 | - | - | - | |
| 60.0 | 60.4 ± 0.80 | 1.32 | 101 | - | - | - | ||
| Amox | 20.0 | - | - | - | 20.1 ± 0.65 | 3.23 | 100 | |
| 35.0 | - | - | - | 35.3 ± 0.86 | 2.44 | 101 | ||
| Dox | 20.0 | - | - | - | 20.1 ± 0.87 | 4.34 | 101 | |
| 35.0 | - | - | - | 34.8 ± 0.84 | 2.40 | 99.3 | ||
| Analyte | Matrix | Fortified (µg/mL) | Measured (µg/mL) | RSD (%) | Accuracy (%) | Measured (µg/mL) | RSD (%) | Recovery (%) |
| Amox | Wastewater | 20.0 | 20.2 ± 0.37 | 1.82 | 100 | - | - | - |
| 50.0 | 49.9 ± 0.60 | 1.20 | 101 | - | - | - | ||
| Dox | 20.0 | 20.1 ± 0.29 | 1.73 | 101 | - | - | - | |
| 50.0 | 50.1 ± 0.87 | 1.46 | 101 | - | - | - | ||
| Amox | 10.0 | - | - | - | 10.1 ± 0.17 | 1.72 | 101 | |
| 25.0 | - | - | - | 24.3 ± 0.71 | 2.93 | 97 | ||
| Dox | 10.0 | - | - | - | 10.1 ± 0.13 | 1.29 | 101 | |
| 25.0 | - | - | - | 24.3 ± 0.27 | 1.10 | 97 | ||
| Analyte | Chromatographic Parameters | Column Temperature (°C) | Flow Rate (mL/min) | Mobile Phase Ratio (%) | Wavelength (nm) | ||||
|---|---|---|---|---|---|---|---|---|---|
| 27.5 | 32.5 | 1.55 | 1.45 | 11 ACN | 9 ACN | 232 * 348 ** | 228 * 352 ** | ||
| Amox | Assay (%) | 99.6 | 98.9 | 100 | 99.1 | 100 | 99.7 | 99.9 | 98.7 |
| Retention time (min) | 1.72 | 1.72 | 1.72 | 1.71 | 1.71 | 1.72 | 1.73 | 1.72 | |
| Asymmetry factor | 1.16 | 1.11 | 1.15 | 1.57 | 1.12 | 1.67 | 1.12 | 1.14 | |
| Resolution | 28.2 | 27.8 | 25.3 | 26.8 | 20.3 | 24.1 | 10.2 | 11.4 | |
| Dox | Assay (%) | 98.7 | 98.6 | 99.1 | 99.2 | 98.6 | 98.4 | 99.3 | 99.4 |
| Retention time (min) | 5.33 | 5.30 | 5.27 | 5.25 | 5.23 | 5.27 | 5.23 | 5.30 | |
| Asymmetry factor | 2.07 | 1.44 | 1.45 | 2.45 | 1.45 | 2.18 | 1.13 | 1.31 | |
| Resolution | 23.4 | 3.8 | 27.6 | 31.0 | 11.4 | 17.4 | 11.4 | 18.1 | |
| Composition (%) | |||
|---|---|---|---|
| Running Time (min) | Flow (mL/min) | Mobile Phase-A | Mobile Phase-B |
| 0.00 | 1.5 | 90 | 10 |
| 10.00 | 1.5 | 40 | 60 |
| 10.10 | 1.5 | 90 | 10 |
| 15.00 | 1.5 | 90 | 10 |
Publisher’s Note: MDPI stays neutral with regard to jurisdictional claims in published maps and institutional affiliations. |
© 2022 by the authors. Licensee MDPI, Basel, Switzerland. This article is an open access article distributed under the terms and conditions of the Creative Commons Attribution (CC BY) license (https://creativecommons.org/licenses/by/4.0/).
Share and Cite
Becze, A.; Resz, M.-A.; Ilea, A.; Cadar, O. A Validated HPLC Multichannel DAD Method for the Simultaneous Determination of Amoxicillin and Doxycycline in Pharmaceutical Formulations and Wastewater Samples. Appl. Sci. 2022, 12, 9789. https://doi.org/10.3390/app12199789
Becze A, Resz M-A, Ilea A, Cadar O. A Validated HPLC Multichannel DAD Method for the Simultaneous Determination of Amoxicillin and Doxycycline in Pharmaceutical Formulations and Wastewater Samples. Applied Sciences. 2022; 12(19):9789. https://doi.org/10.3390/app12199789
Chicago/Turabian StyleBecze, Anca, Maria-Alexandra Resz, Aranka Ilea, and Oana Cadar. 2022. "A Validated HPLC Multichannel DAD Method for the Simultaneous Determination of Amoxicillin and Doxycycline in Pharmaceutical Formulations and Wastewater Samples" Applied Sciences 12, no. 19: 9789. https://doi.org/10.3390/app12199789
APA StyleBecze, A., Resz, M.-A., Ilea, A., & Cadar, O. (2022). A Validated HPLC Multichannel DAD Method for the Simultaneous Determination of Amoxicillin and Doxycycline in Pharmaceutical Formulations and Wastewater Samples. Applied Sciences, 12(19), 9789. https://doi.org/10.3390/app12199789

