Intensification of the Extraction Yield of Eucalyptus globulus Phenolic Compounds with Pulsed Electric Field
Abstract
:1. Introduction
2. Materials and Methods
2.1. Material Sampling and Preparation
2.2. PEF Equipment
2.3. Determination of Phenolic Compound Content
2.3.1. Total Phenolic Content
2.3.2. Total Flavonoid Content
2.3.3. Condensed Tannin Content
2.4. Experimental Design Methodology
- -
- Pulse width T (µs).
- -
- Number of pulses n.
- -
- Concentration of ethanol [C] (%).
2.5. Extraction Kinetics
2.6. Statistical Analyses
3. Results and Discussion
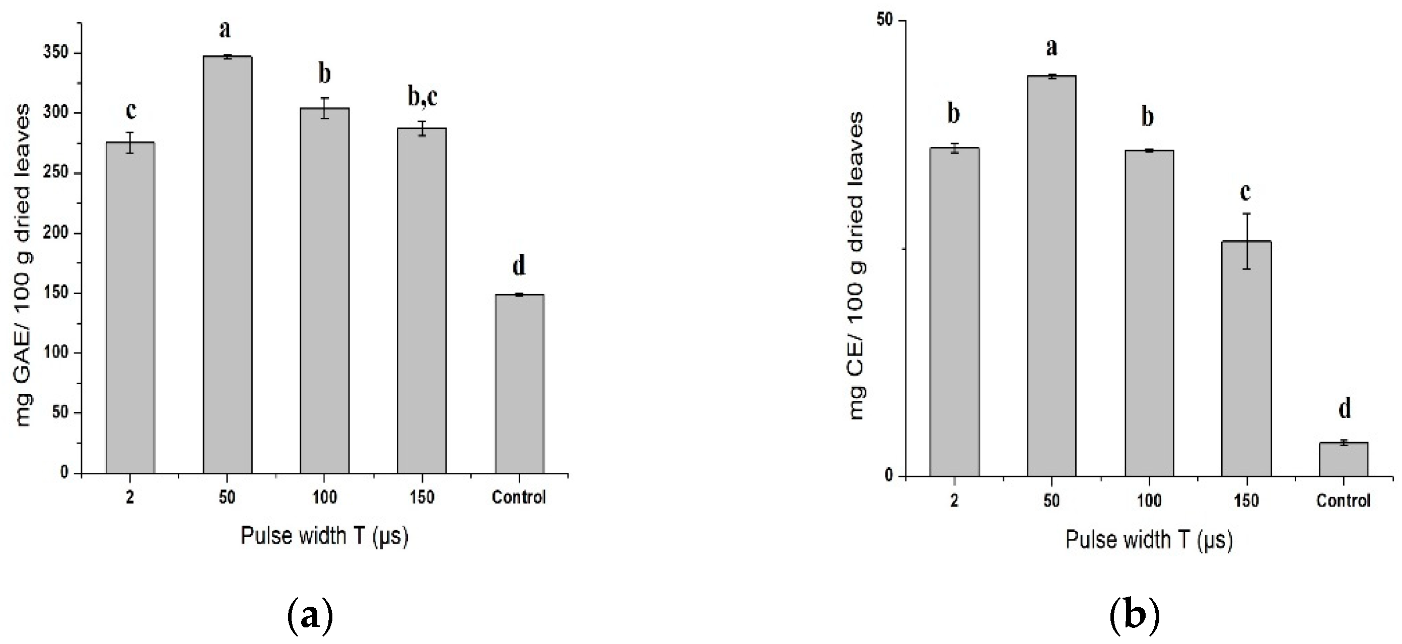
3.1. Screening Experiments
3.2. Set Point Identification
3.3. Optimisation Step
3.4. Extraction Kinetics
4. Conclusions
Author Contributions
Funding
Institutional Review Board Statement
Informed Consent Statement
Data Availability Statement
Acknowledgments
Conflicts of Interest
References
- Hayat, U.; Jilani, M.I.; Rehman, R.; Nadeem, F. A Review on Eucalyptus Globulus: A New Perspective in Therapeutics. Int. J. Chem. Biochem. Sci. 2015, 8, 85–97. [Google Scholar]
- Pauzer, M.S.; Borsato, T.d.O.; Almeida, V.P.d.; Raman, V.; Justus, B.; Pereira, C.B.; Flores, T.B.; Maia, B.H.L.N.S.; Meneghetti, E.K.; Kanunfre, C.C.; et al. Eucalyptus Cinerea: Microscopic Profile, Chemical Composition of Essential Oil and Its Antioxidant, Microbiological and Cytotoxic Activities. Braz. Arch. Biol. Technol. 2021, 64. [Google Scholar] [CrossRef]
- Chandorkar, N.; Tambe, S.; Amin, P.; Madankar, C. A Systematic and Comprehensive Review on Current Understanding of the Pharmacological Actions, Molecular Mechanisms, and Clinical Implications of the Genus Eucalyptus. Phytomedicine Plus 2021, 1, 100089. [Google Scholar] [CrossRef]
- Dhakad, A.K.; Pandey, V.V.; Beg, S.; Rawat, J.M.; Singh, A. Biological, Medicinal and Toxicological Significance of Eucalyptus Leaf Essential Oil: A Review. J. Sci. Food Agric. 2018, 98, 833–848. [Google Scholar] [CrossRef] [PubMed]
- Osawa, T.; Namiki, M. Natural Antioxidants Isolated from Eucalyptus Leaf Waxes. J. Agric. Food Chem. 1985, 33, 777–780. [Google Scholar] [CrossRef]
- Shala, A.Y.; Gururani, M.A. Phytochemical Properties and Diverse Beneficial Roles of Eucalyptus Globulus Labill.: A Review. Horticulturae 2021, 7, 450. [Google Scholar] [CrossRef]
- Hardel, D.K.; Sahoo, L. A Review on Phytochemical and Pharmacological of Eucalyptus Globulus: A Multipurpose Tree. Int. J. Res. Ayurveda Pharm. 2011, 2, 1527–1530. [Google Scholar]
- Ahmad, M.I.; Ali, N.; Feroz, F.; Faizan, M.; Usman, M.; Farman, M.; Arif, S. Phytochemical and Pharmacological Profile of Eucalyptus Globulus. GSJ 2021, 9, 10. [Google Scholar]
- Gullón, B.; Gullón, P.; Lú-Chau, T.A.; Moreira, M.T.; Lema, J.M.; Eibes, G. Optimization of Solvent Extraction of Antioxidants from Eucalyptus Globulus Leaves by Response Surface Methodology: Characterization and Assessment of Their Bioactive Properties. Ind. Crops Prod. 2017, 108, 649–659. [Google Scholar] [CrossRef]
- Santos, S.A.O.; Villaverde, J.J.; Silva, C.M.; Neto, C.P.; Silvestre, A.J.D. Supercritical Fluid Extraction of Phenolic Compounds from Eucalyptus Globulus Labill Bark. J. Supercrit. Fluids 2012, 71, 71–79. [Google Scholar] [CrossRef]
- Bhuyan, D.J.; Van Vuong, Q.; Chalmers, A.C.; van Altena, I.A.; Bowyer, M.C.; Scarlett, C.J. Microwave-Assisted Extraction of Eucalyptus Robusta Leaf for the Optimal Yield of Total Phenolic Compounds. Ind. Crops Prod. 2015, 69, 290–299. [Google Scholar] [CrossRef]
- Bhuyan, D.J.; Vuong, Q.V.; Chalmers, A.C.; van Altena, I.A.; Bowyer, M.C.; Scarlett, C.J. Development of the Ultrasonic Conditions as an Advanced Technique for Extraction of Phenolic Compounds from Eucalyptus Robusta. Sep. Sci. Technol. 2017, 52, 100–112. [Google Scholar] [CrossRef]
- Knorr, D.; Geulen, M.; Grahl, T.; Sitzmann, W. Food Application of High Electric Field Pulses. Trends Food Sci. Technol. 1994, 5, 71–75. [Google Scholar] [CrossRef]
- Arshad, R.N.; Abdul-Malek, Z.; Munir, A.; Buntat, Z.; Ahmad, M.H.; Jusoh, Y.M.M.; Bekhit, A.E.-D.; Roobab, U.; Manzoor, M.F.; Aadil, R.M. Electrical Systems for Pulsed Electric Field Applications in the Food Industry: An Engineering Perspective. Trends Food Sci. Technol. 2020, 104, 1–13. [Google Scholar] [CrossRef]
- Ntourtoglou, G.; Drosou, F.; Chatzimitakos, T.; Athanasiadis, V.; Bozinou, E.; Dourtoglou, V.G.; Elhakem, A.; Sami, R.; Ashour, A.A.; Shafie, A.; et al. Combination of Pulsed Electric Field and Ultrasound in the Extraction of Polyphenols and Volatile Compounds from Grape Stems. Appl. Sci. 2022, 12, 6219. [Google Scholar] [CrossRef]
- Salvador, D.; Almeida, H.; Rego, D.; Mendonça, P.; Sousa, A.P.; Serra, M.; Redondo, L. Pulsed Electric Fields for Valorization of Platelets with No Therapeutic Value towards a High Biomedical Potential Product—A Proof of Concept. Appl. Sci. 2022, 12, 5773. [Google Scholar] [CrossRef]
- Matys, A.; Dadan, M.; Witrowa-Rajchert, D.; Parniakov, O.; Wiktor, A. Response Surface Methodology as a Tool for Optimization of Pulsed Electric Field Pretreatment and Microwave-Convective Drying of Apple. Appl. Sci. 2022, 12, 3392. [Google Scholar] [CrossRef]
- Wang, M.-S.; Wang, L.-H.; Bekhit, A.E.-D.A.; Yang, J.; Hou, Z.-P.; Wang, Y.-Z.; Dai, Q.-Z.; Zeng, X.-A. A Review of Sublethal Effects of Pulsed Electric Field on Cells in Food Processing. J. Food Eng. 2018, 223, 32–41. [Google Scholar] [CrossRef]
- Han, S.-F.; Jin, W.; Yang, Q.; El-Fatah Abomohra, A.; Zhou, X.; Tu, R.; Chen, C.; Xie, G.-J.; Wang, Q. Application of Pulse Electric Field Pretreatment for Enhancing Lipid Extraction from Chlorella Pyrenoidosa Grown in Wastewater. Renew. Energy 2019, 133, 233–239. [Google Scholar] [CrossRef]
- Zhang, S.; Sun, L.; Ju, H.; Bao, Z.; Zeng, X.; Lin, S. Research Advances and Application of Pulsed Electric Field on Proteins and Peptides in Food. Food Res. Int. 2021, 139, 109914. [Google Scholar] [CrossRef]
- Tzima, K.; Brunton, N.P.; Lyng, J.G.; Frontuto, D.; Rai, D.K. The Effect of Pulsed Electric Field as a Pre-Treatment Step in Ultrasound Assisted Extraction of Phenolic Compounds from Fresh Rosemary and Thyme by-Products. Innov. Food Sci. Emerg. Technol. 2021, 69, 102644. [Google Scholar] [CrossRef]
- López-Gámez, G.; Elez-Martínez, P.; Martín-Belloso, O.; Soliva-Fortuny, R. Pulsed Electric Fields Affect Endogenous Enzyme Activities, Respiration and Biosynthesis of Phenolic Compounds in Carrots. Postharvest Biol. Technol. 2020, 168, 111284. [Google Scholar] [CrossRef]
- Martín-García, B.; Tylewicz, U.; Verardo, V.; Pasini, F.; Gómez-Caravaca, A.M.; Caboni, M.F.; Dalla Rosa, M. Pulsed Electric Field (PEF) as Pre-Treatment to Improve the Phenolic Compounds Recovery from Brewers’ Spent Grains. Innov. Food Sci. Emerg. Technol. 2020, 64, 102402. [Google Scholar] [CrossRef]
- López-Gámez, G.; Elez-Martínez, P.; Martín-Belloso, O.; Soliva-Fortuny, R. Pulsed Electric Field Treatment Strategies to Increase Bioaccessibility of Phenolic and Carotenoid Compounds in Oil-Added Carrot Purees. Food Chem. 2021, 364, 130377. [Google Scholar] [CrossRef] [PubMed]
- Ribas-Agustí, A.; Martín-Belloso, O.; Soliva-Fortuny, R.; Elez-Martínez, P. Influence of Pulsed Electric Fields Processing on the Bioaccessible and Non-Bioaccessible Fractions of Apple Phenolic Compounds. J. Funct. Foods 2019, 59, 206–214. [Google Scholar] [CrossRef]
- Arcena, M.R.; Leong, S.Y.; Then, S.; Hochberg, M.; Sack, M.; Mueller, G.; Sigler, J.; Kebede, B.; Silcock, P.; Oey, I. The Effect of Pulsed Electric Fields Pre-Treatment on the Volatile and Phenolic Profiles of Merlot Grape Musts at Different Winemaking Stages and the Sensory Characteristics of the Finished Wines. Innov. Food Sci. Emerg. Technol. 2021, 70, 102698. [Google Scholar] [CrossRef]
- Boizot, N.; Charpentier, J.-P. Méthode rapide d’évaluation du contenu en composés phénoliques des organes d’un arbre forestier. Cah. Des Tech. De L’inra 2006, 79–82. Available online: https://hal.inrae.fr/hal-02669118 (accessed on 7 March 2022).
- Zhishen, J.; Mengcheng, T.; Jianming, W. The Determination of Flavonoid Contents in Mulberry and Their Scavenging Effects on Superoxide Radicals. Food Chem. 1999, 64, 555–559. [Google Scholar] [CrossRef]
- Toumi, M.N.; Bouzidi, M.A.; Benyamina, A.; Tilmatine, A.; Megharbi, A.; Toumi, F. Plantes agissant sur l’alpha-amylase: Trigonella foenum-graecum et Tetraclinis articulata. Phytothérapie 2022, 20, 143–149. [Google Scholar] [CrossRef]
- Taguchi, G. System of Experimental Design: Engineering Methods to Optimize Quality and Minimize Costs; UNIPUB/Kraus International Publications: White Plains, NY, USA; Dearborn, MI, USA, 1987. [Google Scholar]
- Frigon, N.L.; Mathews, D. Practical Guide to Experimental Design, 1st ed.; Wiley: New York, NY, USA, 1996; ISBN 978-0-471-13919-5. [Google Scholar]
- Hicks, C.R.; Turner, K.V., Jr. Fundamental Concepts in the Design of Experiments, 5th ed.; Oxford University Press: New York, NY, USA, 1999; ISBN 978-0-19-512273-2. [Google Scholar]
- Roy, R.K. Design of Experiments Using The Taguchi Approach: 16 Steps to Product and Process Improvement, 1st ed.; Wiley-Interscience: New York, NY, USA, 2001; ISBN 978-0-471-36101-5. [Google Scholar]
- MODDE 5.0. User Guide and Tutorial; Umetrics: Umeå, Sweden, 1999. [Google Scholar]
- Parniakov, O.; Roselló-Soto, E.; Barba, F.J.; Grimi, N.; Lebovka, N.; Vorobiev, E. New Approaches for the Effective Valorization of Papaya Seeds: Extraction of Proteins, Phenolic Compounds, Carbohydrates, and Isothiocyanates Assisted by Pulsed Electric Energy. Food Res. Int. 2015, 77, 711–717. [Google Scholar] [CrossRef]
- Rahaman, A.; Siddeeg, A.; Manzoor, M.F.; Zeng, X.-A.; Ali, S.; Baloch, Z.; Li, J.; Wen, Q.-H. Impact of Pulsed Electric Field Treatment on Drying Kinetics, Mass Transfer, Colour Parameters and Microstructure of Plum. J. Food Sci. Technol. 2019, 56, 2670–2678. [Google Scholar] [CrossRef] [PubMed]
- Siddeeg, A.; Zeng, X.-A.; Rahaman, A.; Manzoor, M.F.; Ahmed, Z.; Ammar, A.-F. Quality Characteristics of the Processed Dates Vinegar under Influence of Ultrasound and Pulsed Electric Field Treatments. J. Food Sci. Technol. 2019, 56, 4380–4389. [Google Scholar] [CrossRef] [PubMed]







| Exp. No | Pulse Width T (µs) | Pulse Number n | Ethanol Concentration [C] (%) | TPC mg/100 g | TFC mg/100 g | CTC mg/100 g |
|---|---|---|---|---|---|---|
| 1 | 25 | 200 | 20 | 463.4 | 241.3 | 506.3 |
| 2 | 75 | 200 | 20 | 545.5 | 285.1 | 492.5 |
| 3 | 25 | 400 | 20 | 663.8 | 347.8 | 556.3 |
| 4 | 75 | 400 | 20 | 529.2 | 259.3 | 495.0 |
| 5 | 25 | 200 | 60 | 597.2 | 348.3 | 507.5 |
| 6 | 75 | 200 | 60 | 454.4 | 247.4 | 416.3 |
| 7 | 25 | 400 | 60 | 615.4 | 358.3 | 466.3 |
| 8 | 75 | 400 | 60 | 658.9 | 379.1 | 475.0 |
| 9 | 25 | 300 | 40 | 543.5 | 278.8 | 417.5 |
| 10 | 75 | 300 | 40 | 503.1 | 261.7 | 396.3 |
| 11 | 50 | 200 | 40 | 422.0 | 215.1 | 451.3 |
| 12 | 50 | 400 | 40 | 519.6 | 266.5 | 556.3 |
| 13 | 50 | 300 | 20 | 479.1 | 245.3 | 521.3 |
| 14 | 50 | 300 | 60 | 535.7 | 299.7 | 562.5 |
| 15 | 50 | 300 | 40 | 596.1 | 312.3 | 576.3 |
| 16 | 50 | 300 | 40 | 615.4 | 311.1 | 586.3 |
| 17 | 50 | 300 | 40 | 589.5 | 300.9 | 581.3 |
| Response | Criteria | Weight | Min | Target | |
|---|---|---|---|---|---|
| 1 | Phenol | Maximize | 1 | 594.433 | 622.503 |
| 2 | Flavonoid | Maximize | 1 | 348.083 | 364.758 |
| 3 | Tanins | Maximise | 1 | 568.68 | 591.68 |
| Pulse with | Pulses Number | Ethanol Concentration | Phenol | Flavonoid | Tanins | Iter | Log(D) | |
|---|---|---|---|---|---|---|---|---|
| 1 | 31.7183 | 373.281 | 20 | 518.11 | 308.153 | 570.436 | 5001 | 0.9413 |
| 2 | 25.0017 | 370.821 | 20 | 520.402 | 323.891 | 528.312 | 5000 | 0.9515 |
| 3 | 33.7269 | 355.863 | 60 | 597.531 | 348.11 | 536.394 | 5000 | 0.4018 |
| 4 | 74.9998 | 400 | 60 | 438.3 | 324.987 | 575.681 | 5000 | 1.2152 |
| 5 | 38.7139 | 360.684 | 60 | 581.963 | 340.647 | 568.918 | 5000 | 0.2352 |
| 6 | 32.7857 | 369.125 | 60 | 596.869 | 348.717 | 532.862 | 5000 | 0.4419 |
| 7 | 74.9998 | 400 | 60 | 438.3 | 324.987 | 575.681 | 5000 | 1.2152 |
| 8 | 38.9804 | 356.259 | 60 | 582.463 | 340.447 | 568.946 | 5000 | 0.2336 |
Publisher’s Note: MDPI stays neutral with regard to jurisdictional claims in published maps and institutional affiliations. |
© 2022 by the authors. Licensee MDPI, Basel, Switzerland. This article is an open access article distributed under the terms and conditions of the Creative Commons Attribution (CC BY) license (https://creativecommons.org/licenses/by/4.0/).
Share and Cite
Toumi, M.N.; Benyamina, A.; Bouzidi, M.A.; Semmak, A.; Bellebna, Y.; Toumi, F.; Tilmatine, A. Intensification of the Extraction Yield of Eucalyptus globulus Phenolic Compounds with Pulsed Electric Field. Appl. Sci. 2022, 12, 9455. https://doi.org/10.3390/app12199455
Toumi MN, Benyamina A, Bouzidi MA, Semmak A, Bellebna Y, Toumi F, Tilmatine A. Intensification of the Extraction Yield of Eucalyptus globulus Phenolic Compounds with Pulsed Electric Field. Applied Sciences. 2022; 12(19):9455. https://doi.org/10.3390/app12199455
Chicago/Turabian StyleToumi, Manel Nardjes, Abdelfettah Benyamina, Mohamed Ali Bouzidi, Abdelkader Semmak, Yassine Bellebna, Fawzia Toumi, and Amar Tilmatine. 2022. "Intensification of the Extraction Yield of Eucalyptus globulus Phenolic Compounds with Pulsed Electric Field" Applied Sciences 12, no. 19: 9455. https://doi.org/10.3390/app12199455
APA StyleToumi, M. N., Benyamina, A., Bouzidi, M. A., Semmak, A., Bellebna, Y., Toumi, F., & Tilmatine, A. (2022). Intensification of the Extraction Yield of Eucalyptus globulus Phenolic Compounds with Pulsed Electric Field. Applied Sciences, 12(19), 9455. https://doi.org/10.3390/app12199455

