Analytical Methods to Assess Polyphenols, Tannin Concentration, and Astringency in Hard Apple Cider
Abstract
Featured Application
Abstract
1. Introduction
2. Materials and Methods
2.1. Cider Production
2.2. Polyphenol, Astringency, and Tannin Analyses
2.3. Statistical Analyses
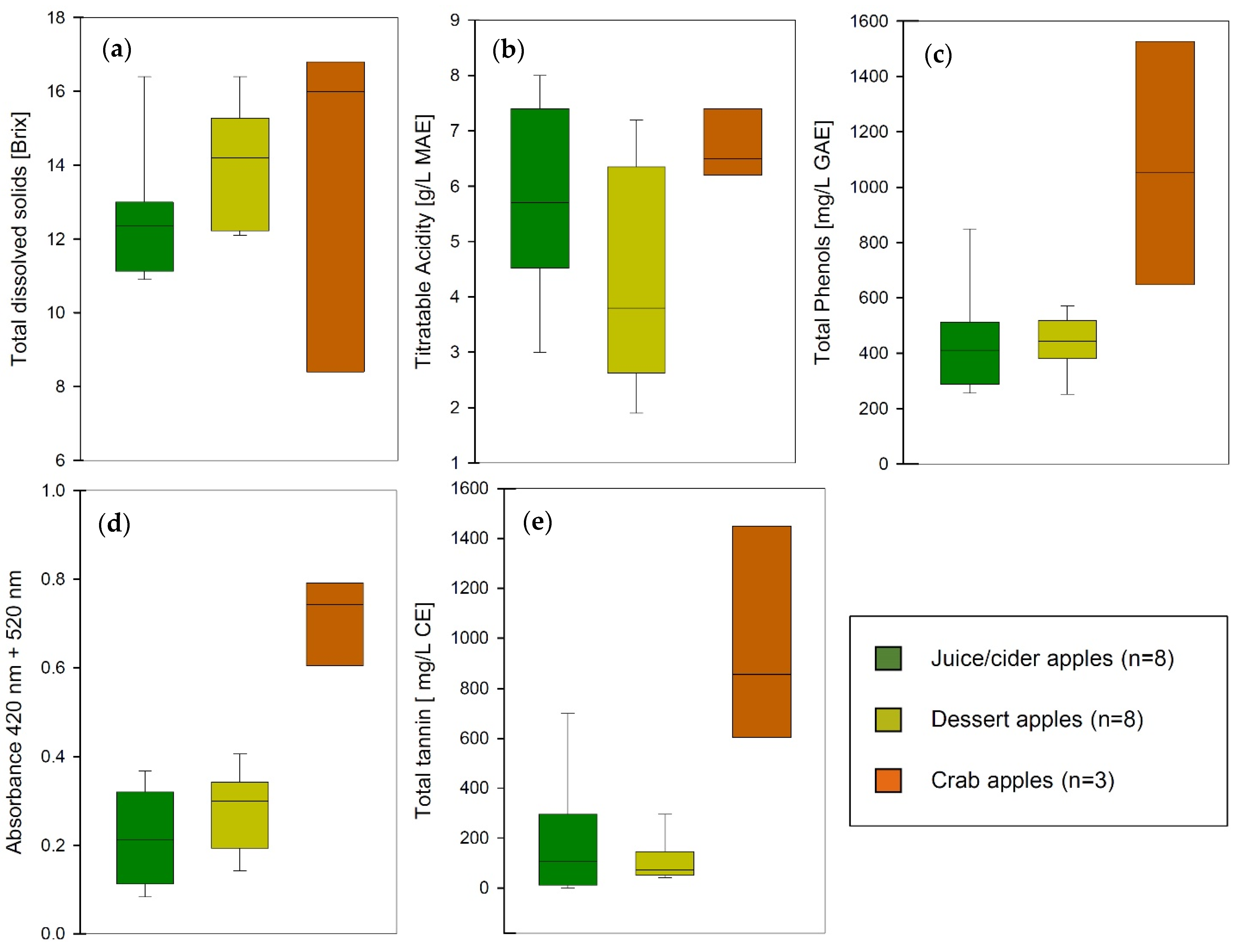
3. Results and Discussion
4. Conclusions
Author Contributions
Funding
Institutional Review Board Statement
Informed Consent Statement
Data Availability Statement
Acknowledgments
Conflicts of Interest
References
- Cheynier, V.; Dueñas-Paton, M.; Salas, E.; Maury, C.; Souquet, J.-M.; Sarni-Manchado, P.; Fulcrand, H. Structure and Properties of Wine Pigments and Tannins. Am. J. Enol. Vitic. 2006, 57, 298–305. [Google Scholar]
- McRae, J.M.; Kennedy, J.A. Wine and grape tannin interactions with salivary proteins and their impact on astringency: A review of current research. Molecules 2011, 16, 2348–2364. [Google Scholar] [CrossRef] [PubMed]
- Harbertson, J.F.; Spayd, S. Measuring Phenolics in the Winery. Am. J. Enol. Vitic. 2006, 57, 280–288. [Google Scholar]
- Symoneaux, R.; Baron, A.; Marnet, N.; Bauduin, R.; Chollet, S. Impact of apple procyanidins on sensory perception in model cider (part 1): Polymerisation degree and concentration. LWT Food Sci. Technol. 2014, 57, 22–27. [Google Scholar] [CrossRef]
- Symoneaux, R.; Chollet, S.; Bauduin, R.; Le Quéré, J.M.; Baron, A. Impact of apple procyanidins on sensory perception in model cider (part 2): Degree of polymerization and interactions with the matrix components. LWT Food Sci. Technol. 2014, 57, 28–34. [Google Scholar] [CrossRef]
- Owades, J.; Rubin, G.; Brenner, M. Food tannins measurement, determination of food tannins by ultraviolet spectrophotometry. J. Agric. Food Chem. 1958, 6, 44–46. [Google Scholar] [CrossRef]
- Siebert, K.J.; Carrasco, A.; Lynn, P.Y. Formation of Protein−Polyphenol Haze in Beverages. J. Agric. Food Chem. 1996, 44, 1997–2005. [Google Scholar] [CrossRef]
- Li, H.; Guo, A.; Wang, H. Mechanisms of oxidative browning of wine. Food Chem. 2008, 108, 1–13. [Google Scholar] [CrossRef]
- Sanoner, P.; Guyot, S.; Marnet, N.; Molle, D.; Drilleau, J.F. Polyphenol Profiles of French Cider Apple Varieties (Malus domestica sp.). J. Agric. Food Chem. 1999, 47, 4847–4853. [Google Scholar] [CrossRef]
- Lea, A.G.H.; Beech, F.W. The phenolics of ciders: Effect of cultural conditions. J. Sci. Food Agric. 1978, 29, 493–496. [Google Scholar] [CrossRef]
- Lea, A.G.H.; Timberlake, C.F. The phenolics of ciders: Effect of processing conditions. J. Sci. Food Agric. 1978, 29, 484–492. [Google Scholar] [CrossRef]
- Watrelot, A.A.; Day, M.P.; Schulkin, A.; Falconer, R.J.; Smith, P.; Waterhouse, A.L.; Bindon, K.A. Oxygen exposure during red wine fermentation modifies tannin reactivity with poly-l-proline. Food Chem. 2019, 297, 124923. [Google Scholar] [CrossRef] [PubMed]
- Le Quéré, J.-M.; Husson, F.; Renard, C.M.; Primault, J. French cider characterization by sensory, technological and chemical evaluations. LWT Food Sci. Technol. 2006, 39, 1033–1044. [Google Scholar] [CrossRef]
- Hufnagel, J.C.; Hofmann, T. Orosensory-Directed Identification of Astringent Mouthfeel and Bitter-Tasting Compounds in Red Wine. J. Agric. Food Chem. 2008, 56, 1376–1386. [Google Scholar] [CrossRef]
- Alonso-Salces, R.M.; Herrero, C.; Barranco, A.; Berrueta, L.A.; Gallo, B.; Vicente, F. Technological classification of basque cider apple cultivars according to their polyphenolic profiles by pattern recognition analysis. J. Agric. Food Chem. 2004, 52, 8006–8016. [Google Scholar] [CrossRef]
- Harbertson, J.F.; Picciotto, E.A.; Adams, D.O. Measurement of Polymeric Pigments in Grape Berry Extract sand Wines Using a Protein Precipitation Assay Combined with Bisulfite Bleaching. Am. J. Enol. Vitic. 2003, 54, 301–306. [Google Scholar]
- Kennedy, J.A.; Ferrier, J.; Harbertson, J.F.; des Gachons, C.P. Analysis of Tannins in Red Wine Using Multiple Methods: Correlation with Perceived Astringency. Am. J. Enol. Vitic. 2006, 57, 481–485. [Google Scholar]
- Harbertson, J.F.; Mireles, M.; Yu, Y. Improvement of BSA tannin precipitation assay by reformulation of resuspension buffer. Am. J. Enol. Vitic. 2015, 66, 95–99. [Google Scholar] [CrossRef]
- Australian Wine Research Institute. Determination of Tannins in Grapes and Red Wine Using the MCP (Methyl Cellulose Precipitable) Tannin Assay; AWRI: Adelaide, Australia, 2007. [Google Scholar]
- Mangas, J.J.; Moreno, J.; Rodríguez, R.; Picinelli, A.; Suárez, B. Analysis of Polysaccharides in Cider: Their Effect on Sensory Foaming Properties. J. Agric. Food Chem. 1999, 47, 152–156. [Google Scholar] [CrossRef][Green Version]
- Sommer, S.; Weber, F.; Harbertson, J.F. Polyphenol–Protein–Polysaccharide Interactions in the Presence of Carboxymethyl Cellulose (CMC) in Wine-Like Model Systems. J. Agric. Food Chem. 2019, 67, 7428–7434. [Google Scholar] [CrossRef]
- Graves, J.; Sommer, S. Polysaccharides Influence the Results of Polymeric Pigment Analysis in Red Wines. ACS Food Sci. Technol. 2021, 1, 1770–1775. [Google Scholar] [CrossRef]
- Sarneckis, C.J.; Dambergs, R.G.; Jones, P.; Mercurio, M.; Herderich, M.J.; Smith, P.A. Quantification of Condensed Tannins by Precipitation with Methyl Cellulose: Development and Validation of an Optimised Tool for Grape and Wine Analysis. Aust. J. Grape Wine Res. 2006, 12, 39–49. [Google Scholar] [CrossRef]
- Monteleone, E.; Condelli, N.; Dinnella, C.; Bertuccioli, M. Prediction of perceived astringency induced by phenolic compounds. Food Qual. Prefer. 2004, 15, 761–769. [Google Scholar] [CrossRef]
- Singleton, V.L.; Rossi, J.A. Colorimetry of Total Phenolics with Phosphomolybdic-Phosphotungstic Acid Reagents. Am. J. Enol. Vitic. 1965, 16, 144–158. [Google Scholar]
- Möbius, C.H.; Görtges, S. Polyphenolbestimmung für die Praxis. Weinwissenschaft 1974, 29, 241–253. [Google Scholar]
- Durner, D. Mikrooxygenierung von Rotweinen; Cuvillier Verlag: Göttingen, Germany, 2011. [Google Scholar]
- Sommer, S.; Cohen, S.D. Comparison of Different Extraction Methods to Predict Anthocyanin Concentration and Color Characteristics of Red Wines. Fermentation 2018, 4, 39. [Google Scholar] [CrossRef]
- Williams, A.A.; Lea, A.G.H.; Timberlake, C.F. Measurement of Flavor Quality in Apples, Apple Juices, and Fermented Ciders. In Flavor Quality: Objective Measurement; ACS Symposium Series; American Chemical Society: Washington, DC, USA, 1977; Volume 51, pp. 71–88. [Google Scholar]
- Mikyška, A.; Krofta, K. Assessment of changes in hop resins and polyphenols during long-term storage. J. Inst. Brew. 2012, 118, 269–279. [Google Scholar] [CrossRef]
- Puértolas, E.; Saldaña, G.; Condón, S.; Álvarez, I.; Raso, J. Evolution of polyphenolic compounds in red wine from Cabernet Sauvignon grapes processed by pulsed electric fields during aging in bottle. Food Chem. 2010, 119, 1063–1070. [Google Scholar] [CrossRef]
- Herderich, M.J.; Smith, P.A. Analysis of grape and wine tannins: Methods, applications and challenges. Aust. J. Grape Wine Res. 2005, 11, 205–214. [Google Scholar] [CrossRef]
- Le Deun, E.; Van der Werf, R.; Le Bail, G.; Le Quéré, J.-M.; Guyot, S. HPLC-DAD-MS Profiling of Polyphenols Responsible for the Yellow-Orange Color in Apple Juices of Different French Cider Apple Varieties. J. Agric. Food Chem. 2015, 63, 7675–7684. [Google Scholar] [CrossRef]
- Wilhelmy, C.; Pavez, C.; Bordeu, E.; Brossard, N. A Review of Tannin Determination Methods Using Spectrophotometric Detection in Red Wines and Their Ability to Predict Astringency. S. Afr. J. Enol. Vitic. 2021, 42, 1. [Google Scholar] [CrossRef]
- Pires, M.A.; Pastrana, L.M.; Fuciños, P.; Abreu, C.S.; Oliveira, S.M. Sensorial Perception of Astringency: Oral Mechanisms and Current Analysis Methods. Foods 2020, 9, 1124. [Google Scholar] [CrossRef] [PubMed]
- Mazza, G.; Velioglu, Y.S. Anthocyanins and other phenolic compounds in fruits of red-flesh apples. Food Chem. 1992, 43, 113–117. [Google Scholar] [CrossRef]
- Vidal, L.; Antúnez, L.; Giménez, A.; Ares, G. Evaluation of Palate Cleansers for Astringency Evaluation of Red Wines. J. Sens. Stud. 2016, 31, 93–100. [Google Scholar] [CrossRef]
- Ross, C.F.; Hinken, C.; Weller, K. Efficacy of Palate Cleansers for Reduction of Astringency Carryover During Repeated Ingestions of Red Wine. J. Sens. Stud. 2007, 22, 293–312. [Google Scholar] [CrossRef]
- Kallithraka, S.; Bakker, J.; Clifford, M.N. Evidence that Salivary Proteins are Involved in Astringency. J. Sens. Stud. 1998, 13, 29–43. [Google Scholar] [CrossRef]






| Cultivar Name | Sugar Juice [°Bx] | Titratable Acidity [g/L] | pH Juice | pH Cider | Alcohol Cider [%vol] |
|---|---|---|---|---|---|
| Black Limbertwig (JCA) | 12.7 ± 0.6 | 6.0 ± 0.3 | 3.40 ± 0.17 | 3.44 ± 0.10 | 6.99 ± 0.07 |
| Black Winesap (DA) | 15.5 ± 0.8 | 5.6 ± 0.3 | 3.50 ± 0.18 | 3.56 ± 0.11 | 8.53 ± 0.09 |
| Chestnut Crab (CrA) | 16.0 ± 0.8 | 6.2 ± 0.3 | 3.71 ± 0.19 | 3.75 ± 0.11 | 8.80 ± 0.09 |
| Fugi (DA) | 14.1 ± 0.7 | 3.6 ± 0.2 | 3.76 ± 0.19 | 3.81 ± 0.11 | 7.76 ± 0.08 |
| Geneva Crab (CrA) | 8.4 ± 0.4 | 6.5 ± 0.3 | 3.20 ± 0.16 | 3.22 ± 0.09 | 4.62 ± 0.05 |
| Golden Delicious (DA) | 12.3 ± 0.6 | 1.9 ± 0.1 | 3.93 ± 0.19 | 3.40 ± 0.10 | 6.77 ± 0.07 |
| Golden Russet (JCA) | 16.4 ± 0.8 | 5.2 ± 0.3 | 3.58 ± 0.18 | 3.60 ± 0.11 | 9.02 ± 0.09 |
| Gragg (JCA) | 11.2 ± 0.6 | 4.3 ± 0.2 | 3.62 ± 0.18 | 3.44 ± 0.10 | 6.16 ± 0.06 |
| Hewes Crab (CrA) | 16.8 ± 0.8 | 7.4 ± 0.4 | 3.36 ± 0.17 | 3.42 ± 0.10 | 9.24 ± 0.09 |
| Horse (JCA) | 13.1 ± 0.6 | 6.2 ± 0.3 | 3.36 ± 0.17 | 3.34 ± 0.10 | 7.21 ± 0.07 |
| Meg Bonum (JCA) | 12.6 ± 0.6 | 3.0 ± 0.2 | 3.86 ± 0.19 | 3.65 ± 0.11 | 6.93 ± 0.07 |
| Newtown Pippin (DA) | 14.6 ± 0.7 | 6.6 ± 0.3 | 3.39 ± 0.17 | 3.42 ± 0.10 | 8.03 ± 0.08 |
| Notely P. (JCA) | 10.9 ± 0.5 | 7.8 ± 0.4 | 3.16 ± 0.16 | 3.13 ± 0.09 | 6.00 ± 0.06 |
| Red Delicious (DA) | 12.1 ± 0.6 | 2.6 ± 0.1 | 3.62 ± 0.18 | 3.56 ± 0.11 | 6.66 ± 0.07 |
| Roxburry Russet (DA) | 12.2 ± 0.6 | 2.7 ± 0.1 | 3.73 ± 0.19 | 3.40 ± 0.10 | 6.71 ± 0.07 |
| Royal Limbertwig (JCA) | 11.1 ± 0.6 | 5.4 ± 0.3 | 3.41 ± 0.17 | 3.42 ± 0.10 | 6.11 ± 0.06 |
| Spitzenberg (DA) | 16.4 ± 0.8 | 7.2 ± 0.4 | 3.38 ± 0.17 | 3.49 ± 0.11 | 9.02 ± 0.09 |
| Summer Banana (DA) | 14.3 ± 0.7 | 4.0 ± 0.2 | 3.66 ± 0.18 | 3.52 ± 0.11 | 7.87 ± 0.08 |
| Summer Rambo (JCA) | 12.1 ± 0.6 | 8.0 ± 0.4 | 3.19 ± 0.15 | 3.25 ± 0.09 | 6.66 ± 0.07 |
| Cultivar | Catechin | Chlorogenic Acid | Caffeic Acid | Epicatechin | Ferulic Acid | Coumaric Acid | Total Flavanols (*) | Total Hydroxy Cinnamates (**) |
|---|---|---|---|---|---|---|---|---|
| [mg/L] | ||||||||
| Black Limbertwig | 28.5 ± 0.6 | 4.5 ± 0.1 | 5.2 ± 0.1 | 48.9 ± 1.4 | 0.6 ± 0.1 | 9.3 ± 0.2 | 641 ± 26 | 64 ± 2 |
| Black Winesap | 24.1 ± 1.0 | 4.1 ± 0.1 | 2.7 ± 0.1 | 75.7 ± 0.4 | 1.0 ± 0.1 | 7.1 ± 0.1 | 1003 ± 2 | 106 ± 1 |
| Chestnut Crab | 47.2 ± 0.2 | 2.6 ± 0.1 | 3.2 ± 0.1 | 37.5 ± 0.5 | 0.9 ± 0.1 | 4.2 ± 0.1 | 1488 ± 2 | 146 ± 1 |
| Fuji | 56.5 ± 0.3 | 2.2 ± 0.1 | 7.8 ± 0.1 | <24.2 | 1.0 ± 0.1 | 4.9 ± 0.1 | 675 ± 3 | 67 ± 1 |
| Geneva Crab | 39.9 ± 0.2 | 6.8 ± 0.1 | 2.6 ± 0.1 | 247.6 ± 1.3 | 0.6 ± 0.1 | 2.0 ± 0.1 | 3029 ± 2 | 228 ± 1 |
| Golden Delicious | 28.8 ± 0.1 | 2.7 ± 0.1 | 13.3 ± 0.1 | 41.6 ± 0.3 | 0.5 ± 0.3 | 6.7 ± 0.1 | 672 ± 3 | 61 ± 1 |
| Golden Russet | 43.4 ± 0.6 | 3.1 ± 0.1 | 18.0 ± 0.3 | 64.8 ± 1.0 | 1.3 ± 0.1 | 6.0 ± 0.1 | 1179 ± 17 | 131 ± 2 |
| Gragg | 43.4 ± 0.7 | 5.7 ± 0.1 | 13.4 ± 0.2 | <24.2 | 0.6 ± 0.1 | 11.5 ± 0.2 | 1166 ± 22 | 114 ± 2 |
| Hewes Crab | 48.9 ± 2.4 | 6.3 ± 0.5 | 45.9 ± 2.1 | 344.3 ± 17.3 | 1.8 ± 0.1 | 22.5 ± 1.0 | 2206 ± 105 | 237 ± 12 |
| Horse | 59.4 ± 4.6 | 4.7 ± 0.3 | 3.7 ± 0.3 | 126.4 ± 11.5 | 0.5 ± 0.1 | 4.4 ± 0.4 | 2285 ± 204 | 207 ± 15 |
| Meg Bonum | 29.6 ± 0.1 | 1.0 ± 0.1 | 9.5 ± 0.1 | <24.2 | 0.6 ± 0.1 | 3.2 ± 0.1 | 521 ± 1 | 54 ± 1 |
| Newton Pippin | 37.8 ± 0.3 | 25.3 ± 0.8 | <0.7 | <24.2 | 0.5 ± 0.1 | 10.3 ± 0.1 | 535 ± 9 | 48 ± 1 |
| Notley P. | 50.1 ± 0.6 | 3.7 ± 0.1 | <0.7 | <24.2 | 1.0 ± 0.1 | 7.8 ± 0.1 | 584 ± 11 | 56 ± 1 |
| Red Delicious | 28.8 ± 0.1 | 3.4 ± 0.1 | 5.1 ± 0.1 | <24.2 | 0.7 ± 0.1 | 6.9 ± 0.1 | 285 ± 4 | 34 ± 1 |
| Roxburry Russet | 33.1 ± 0.1 | 6.6 ± 0.1 | 6.8 ± 0.1 | 44.7 ± 1.4 | < 0.5 | 3.6 ± 0.1 | 958 ± 14 | 108 ± 1 |
| Royal Limbertwig | 39.0 ± 0.6 | 2.8 ± 0.1 | 12.2 ± 0.2 | 53.0 ± 0.8 | 0.6 ± 0.1 | 9.6 ± 0.1 | 857 ± 14 | 78 ± 1 |
| Spitzenberg | 44.1 ± 0.6 | 1.7 ± 0.1 | 7.5 ± 0.1 | 78.3 ± 1.5 | 1.3 ± 0.1 | 5.1 ± 0.1 | 954 ± 15 | 86 ± 1 |
| Summer Rambo | 53.8 ± 1.3 | 3.6 ± 0.1 | 1.2 ± 0.1 | <24.2 | 0.6 ± 0.1 | 3.2 ± 0.1 | 1005 ± 30 | 84 ± 2 |
| Summer Banana | 44.9 ± 0.4 | 3.5 ± 0.1 | 7.5 ± 0.1 | 38.8 ± 1.3 | 0.6 ± 0.1 | 3.2 ± 0.1 | 917 ± 8 | 85± 1 |
Publisher’s Note: MDPI stays neutral with regard to jurisdictional claims in published maps and institutional affiliations. |
© 2022 by the authors. Licensee MDPI, Basel, Switzerland. This article is an open access article distributed under the terms and conditions of the Creative Commons Attribution (CC BY) license (https://creativecommons.org/licenses/by/4.0/).
Share and Cite
Sommer, S.; Anderson, A.F.; Cohen, S.D. Analytical Methods to Assess Polyphenols, Tannin Concentration, and Astringency in Hard Apple Cider. Appl. Sci. 2022, 12, 9409. https://doi.org/10.3390/app12199409
Sommer S, Anderson AF, Cohen SD. Analytical Methods to Assess Polyphenols, Tannin Concentration, and Astringency in Hard Apple Cider. Applied Sciences. 2022; 12(19):9409. https://doi.org/10.3390/app12199409
Chicago/Turabian StyleSommer, Stephan, Andrea Faeth Anderson, and Seth D. Cohen. 2022. "Analytical Methods to Assess Polyphenols, Tannin Concentration, and Astringency in Hard Apple Cider" Applied Sciences 12, no. 19: 9409. https://doi.org/10.3390/app12199409
APA StyleSommer, S., Anderson, A. F., & Cohen, S. D. (2022). Analytical Methods to Assess Polyphenols, Tannin Concentration, and Astringency in Hard Apple Cider. Applied Sciences, 12(19), 9409. https://doi.org/10.3390/app12199409

