Experimental Investigation on the Mechanical Properties of Vault Void Lining in Highway Tunnels and Steel Plate Strengthening
Abstract
:1. Introduction
- (i)
- A model experiment was carried out to study the stress characteristics and the failure modes of the vault lining with different thickness voids.
- (ii)
- A mechanical model is established based on the experiment. Then the model is analyzed and verified through experimental results.
- (iii)
- The strengthening effect of the steel plate on the void lining is studied by making steel plate strengthening models.
2. Physical Model Experiment
2.1. Prototype
2.2. Specimen Design Scheme
2.3. Loading Device
2.4. Measurement Configuration and Scheme
3. Experimental Result
3.1. Failure Mode
3.1.1. Crack Mode of Specimens
3.1.2. Crack Mode of an Adhesive Layer
3.2. Deformation of the Bottom Surface
3.3. Lateral Strain of the Void Boundary
3.4. Strain of Steel Bars
3.5. Strain of Steel Plate
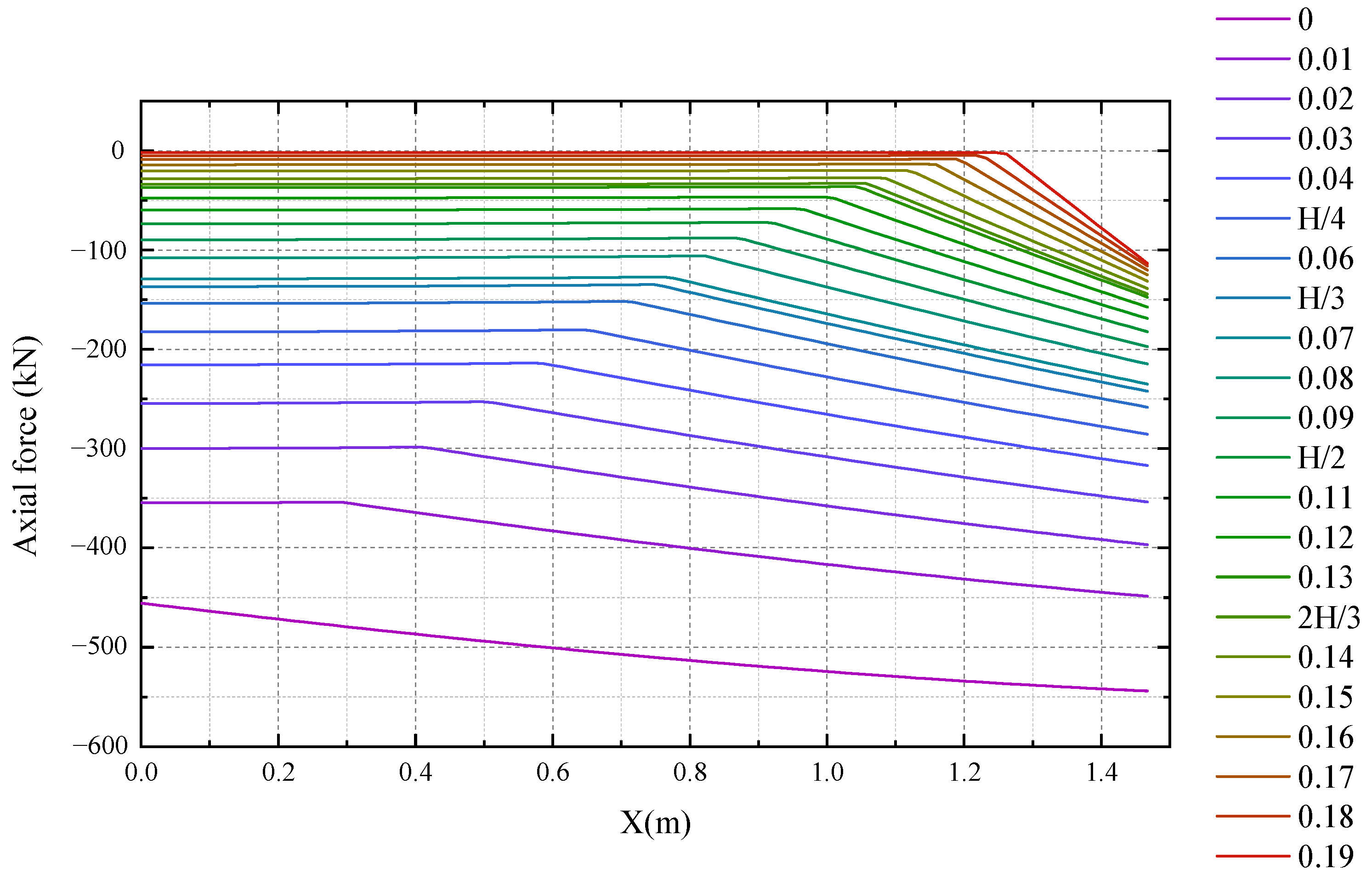
4. Simplified Model Calculation
5. Conclusions
- (1)
- The damage caused by vault void is mainly tensile damage and is mainly concentrated in the void boundary. This damage develops radially from the bottom surface upward. With the increase in the void range, the subsidence of the midspan relative to the void boundary gradually decreases. That is, there is a relative uplift in the middle of the span. The deformation changes from 4.74 mm downward in void height H/4 to 1.41 mm upward in void height 2H/3.
- (2)
- Compared with the unstrengthened specimens, the strengthened ones have fewer and shorter cracks under the same applied load. It is inferred that the steel plate strengthening with chemical anchor bolts and the epoxy adhesive has significantly reduced the void-induced damages. For instance, when the void height is H/4, the number of cracks after steel plate strengthening is reduced from 14 to 9, and the maximum crack length is shortened from 13.2 cm to 8.3 cm, which is a decrease of 37.12%. In addition, the steel plate strengthening also reduces the strain of the lower steel bar at the void boundary from 1130.58 με to 555.12 με, and the strain decreases by 50.89%. When the void range is small, the whole steel plate is under tension. However, when the void range increases, the tensile force of the strengthened steel plate decreases gradually, and the compression area appears.
- (3)
- With the increase in load, the failure of the adhesive layer can be divided into two forms. At the void boundary, the adhesive layer has inclined cracks and gradually loses its function. However, due to the presence of chemical anchors here, the steel plate stress is maintained. Because there is no chemical anchor bolt in the mid-span, the stress of the steel plate decreases gradually with the expansion of the damage range of the adhesive layer.
- (4)
- A simplified calculation model is established. Considering the influence of section change on eccentricity, the bending moment, axial force, and lower surface stress of the model are obtained by integration. The results show that the voids increase the bending moment at the void boundary, reduce the axial force, and cause large tensile stress at the void boundary. The calculated results are in good agreement with the experiment.
Author Contributions
Funding
Institutional Review Board Statement
Informed Consent Statement
Data Availability Statement
Conflicts of Interest
References
- Annual Report of Road Statistics 2017, Tunnel Present Situation, Table 74; Ministry of Land, Infrastructure, Transport and Tourism: Beijing, China, 2017.
- Feng, J.M.; Qiu, W.G.; Li, M.Q. The durability measures of the lining of newly built tunnels from lining disease of the existing tunnels. Adv. Mater. Res. 2011, 250–253, 2626–2631. [Google Scholar]
- Zhao, D.P.; Tan, X.R.; Jia, L.L. Study on investigation and analysis of existing railway tunnel diseases. Appl. Mech. Mater. 2014, 580–583, 1218–1222. [Google Scholar]
- Wang, W.; Liao, S.C.; Ding, P.; Chen, D.Z. Analysis of tunnel defect characteristic caused by cavities behind lining. Adv. Mater. Res. 2011, 261–263, 1265–1269. [Google Scholar]
- Mashimo, H. State of the road tunnel safety technology in japan. Tunn. Undergr. Space Technol. 2002, 17, 145–152. [Google Scholar] [CrossRef]
- Gao, Y.; Jiang, Y.J.; Li, B. Voids delineation behind tunnel lining based on the vibration intensity of microtremors. Tunn. Undergr. Space Technol. 2016, 51, 338–345. [Google Scholar] [CrossRef]
- Jiang, Y.J.; Zhang, X.P.; Taniguchi, T. Quantitative condition inspection and assessment of tunnel lining. Autom. Construct. 2019, 102, 258–269. [Google Scholar] [CrossRef]
- Li, L.P.; Hu, J.; Li, S.C.; Qin, C.S.; Liu, H.L.; Chen, D.Y.; Wang, J. Development of a novel triaxial rock testing method based on biaxial test apparatus and its application. Rock Mech. Rock Eng. 2021, 54, 1597–1607. [Google Scholar] [CrossRef]
- Sandrone, F.; Labiouse, V. Identification and analysis of swiss national road tunnels pathologies. Tunn. Undergr. Space Technol. Inc. Trenchless Technol. Res. 2011, 26, 374–390. [Google Scholar] [CrossRef] [Green Version]
- Yasuda, N.; Tsukada, K.; Asakura, T. 2017 Elastic solutions for circular tunnel with void behind lining. Tunn. Undergr. Space Technol. 2017, 70, 274–285. [Google Scholar] [CrossRef]
- Meguid, M.A.; Dang, H.K. The effect of erosion voids on existing tunnel linings. Tunn. Undergr. Space Technol. 2009, 24, 278–286. [Google Scholar] [CrossRef]
- Wang, J.; Huang, H.; Xie, X.; Bobet, A. Void-induced liner deformation and stress redistribution. Tunn. Undergr. Space Technol. 2014, 40, 263–276. [Google Scholar] [CrossRef]
- Min, B.; Zhang, C.; Zhang, X.; Wang, H.; Zhang, D. Cracking performance of asymmetric double-arch tunnels due to the voids behind linings. Thin Wall.Struct. 2020, 154, 106856. [Google Scholar] [CrossRef]
- Liu, X.; Jiang, Z.; Yuan, Y.; Mang, H.A. Numerical investigation of the mechanical behavior of deformed segmental tunnel linings strengthened by epoxy-bonded filament wound profiles. Tunn. Undergr. Space Technol. 2018, 78, 231–244. [Google Scholar] [CrossRef]
- Khaloo, A.; Moradi, H.; Kazemian, A.; Shekarchi, M. Experimental investigation on the behavior of RC arches strengthened by GFRP composites. Constr. Build. Mater. 2019, 35, 117519. [Google Scholar] [CrossRef]
- Liu, X.; Jiang, Z.; Zhang, L. Experimental investigation of the ultimate bearing capacity of deformed segmental tunnel linings strengthened by epoxy-bonded filament wound profiles. Struct. Infrastr. Eng. 2017, 2, 1–16. [Google Scholar] [CrossRef]
- Zhang, J.L.; Liu, X.; Ren, T.Y.; Yuan, Y.; Mang, H.A. Structural behavior of strengthened concrete segments of tunnel linings strengthened by a steel-concrete composite. Compos. Part B Eng. 2019, 178, 20. [Google Scholar] [CrossRef]
- Wang, Q.; Xin, Z.X.; Jiang, B.; Sun, H.B.; Li, L.N. Comparative experimental study on mechanical mechanism of combined arches in large section tunnels. Tunn. Undergr. Space Technol. 2020, 99, 103386. [Google Scholar] [CrossRef]
- Zhai, W.; Chapman, D.; Zhang, D.; Huang, H. Experimental study on the effectiveness of strengthening over-deformed segmental tunnel lining by steel plates. Tunn. Undergr. Space Technol. 2020, 104, 103530. [Google Scholar] [CrossRef]
- Liu, D.; Wang, F.; Zhang, D.; Duan, K. Interfacial stresses of shield tunnel strengthened by a thin plate at inner surface. Tunn. Undergr. Space Technol. 2019, 91, 103021. [Google Scholar] [CrossRef]
- Liu, X.; Sang, Y.; Bao, H. Analysis of bearing mechanism of cracked tunnel lining strengthened with stacked umbrella arch. China Civ. Eng. J. 2013, 46, 127134. [Google Scholar]
- Liu, X.; Wang, X.; He, B. Comparative experiment of reinforcement of lining under different damage states with arch surround for tunnel. J. Cent. South Univ. Sci.Technol. 2015, 46, 4610–4617. [Google Scholar]
- Li, L.; Shang, C.; Chu, K.; Zhou, Z.; Chen, Y. Large-scale geo-mechanical model tests for stability assessment of super-large cross-section tunnel. Tunn. Undergr. Space Technol. 2021, 109, 103756. [Google Scholar] [CrossRef]
- Timoshenko, S.P.; Goodier, J.N. Theory of Elasticity, 3rd ed.; McGraw-Hill: New York, NY, USA, 1970. [Google Scholar]





















| Type | Code Name | Void Depth |
|---|---|---|
| Standard lining | V0 | N/A |
| Unstrengthened lining | V1/4 | H/4 |
| V1/3 | H/3 | |
| V1/2 | H/2 | |
| V2/3 | 2H/3 | |
| Strengthened lining | R1/4 | H/4 |
| R1/3 | H/3 | |
| R1/2 | H/2 | |
| R2/3 | 2H/3 |
Publisher’s Note: MDPI stays neutral with regard to jurisdictional claims in published maps and institutional affiliations. |
© 2022 by the authors. Licensee MDPI, Basel, Switzerland. This article is an open access article distributed under the terms and conditions of the Creative Commons Attribution (CC BY) license (https://creativecommons.org/licenses/by/4.0/).
Share and Cite
Shao, S.; Wu, Y.; Zhang, J.; Hu, K.; Wu, H. Experimental Investigation on the Mechanical Properties of Vault Void Lining in Highway Tunnels and Steel Plate Strengthening. Appl. Sci. 2022, 12, 6973. https://doi.org/10.3390/app12146973
Shao S, Wu Y, Zhang J, Hu K, Wu H. Experimental Investigation on the Mechanical Properties of Vault Void Lining in Highway Tunnels and Steel Plate Strengthening. Applied Sciences. 2022; 12(14):6973. https://doi.org/10.3390/app12146973
Chicago/Turabian StyleShao, Shuai, Yimin Wu, Jiawei Zhang, Kaixun Hu, and Haoran Wu. 2022. "Experimental Investigation on the Mechanical Properties of Vault Void Lining in Highway Tunnels and Steel Plate Strengthening" Applied Sciences 12, no. 14: 6973. https://doi.org/10.3390/app12146973
APA StyleShao, S., Wu, Y., Zhang, J., Hu, K., & Wu, H. (2022). Experimental Investigation on the Mechanical Properties of Vault Void Lining in Highway Tunnels and Steel Plate Strengthening. Applied Sciences, 12(14), 6973. https://doi.org/10.3390/app12146973

