Review: A Survey on Configurations and Performance of Flow-Mode MR Valves
Abstract
1. Introduction
2. Method—Selection of Criteria
3. Fundamentals
4. Analysis
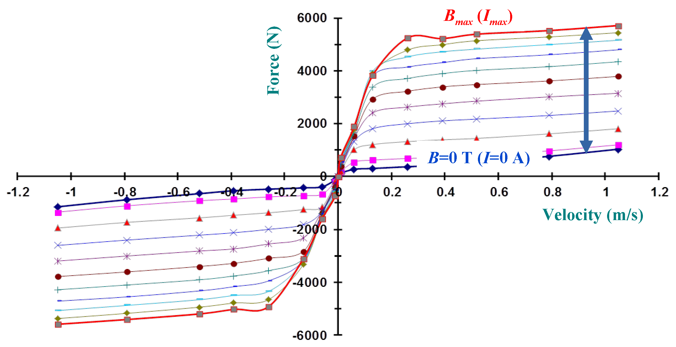
4.1. Benchmark Valve(s)
4.2. Base Functionality: Benchmark Valve, Bypass
4.3. Add-Ons: Benchmark, Fail-Safe Features
4.4. Extended Performance: Benchmark Valve, High Active Area Ratio
4.5. Extended Dynamic Range: Multiple Parallel Flow Channels
4.6. Extended Dynamic Range: Multiple Serial Poles
4.7. Extended Dynamic Range: Complex Flux Paths
4.8. Extended Dynamic Range: High Active Area Ratio Valves, Radial Coils
4.9. Extended Dynamic Range: Toroidal Cores with High Active Area Ratio, Multiple Flow Paths
4.10. Variable Slope: Gradient Pinch Valve
4.11. Shear Stress Metric Evaluation
- (i)
- (ii)
- All commercial MR valves dominate in the upper range of the examined set of MR valves.
- (iii)
- The enhancement in the performance of the valves with the radial coils is due to their active area ratio of nearly 100%.
- (iv)
- The performance of nearly all analyzed valves having one coil assembly, one single flow channel is within the range from 500–1000 kPa for the velocity range m/s ().
- (v)
- The proposed metric can be a convenient way of characterizing the actuator’s force capacity (see Equation (10)).
- (vi)
- Several claims on superior dynamic range of the proposed configuration cannot be substantiated based on their evaluated () metrics.
| Ref. | Type | , m/s | (min.), N (est.) | (max.), N (est.) | (min.), kPa | (max.), kPa | , kPa |
|---|---|---|---|---|---|---|---|
| Kubík et al. [94] | Figure 7a | 0.20 | 400 | 1950 | 120.1 | 586.13 | 466.03 |
| Kubík et al. [95] | Figure 7a | 0.30 | 450 | 1900 | 110 | 570 | 460 |
| Kubík et al. [93] | Figure 7a | 0.2 | 1894 | 15,600 | 291 | 2397 | 2106 |
| Spencer et al. [92] | Figure 7d | 0.1 | 495 | 1350 | 381.9 | 1041.7 | 659. 8 |
| Sohn et al. [60] | Figure 7d | 0.60 | 900 | 3500 | 214 | 833.3 | 619.3 |
| Gołdasz et al. [78] | Figure 7d | 0.52 | 750 | 4000 | 225.2 | 1200.3 | 975.1 |
| Gołdasz et al. [79] | Figure 7d | 0.52 | 430 | 2600 | 132.3 | 800.3 | 668 |
| Elsaady et al. [77] | Figure 7c | 0.008 | 1500 | ≈8000 | 84.2 | ≈450.1 | 365.9 |
| Gołdasz [67] | Figure 7g | 1.0 | 430 | 2950 | 145.6 | 982.1 | 836.5 |
| Cheng et al. [85] | Figure 8d | 0.06 | 69 | 3305 | 14.2 | 683.1 | 668.9 |
| Commercial MR damper (meas.) | Figure 8a | 0.52 | 617 | 4126 | 161.1 | 1077.2 | 916 |
| Bai et al. [96,97] | Figure 8a | 1.0 | 620 | 3100 | 55.7 | 278.75 | 223.1 |
| Gołdasz [55] | Figure 8e | 0.52 | 790 | 4300 | 374.5 | 2038.6 | 1664.1 |
| Trębacz et al. [87] | Figure 8f | 0.52 | 330 | 3000 | 88.8 | 808.9 | 720.1 |
| Liu et al. [50] | Figure 8e | 0.132 | 215 | 4320 | 44.7 | 898.6 | 851.9 |
| Hu et al. [83] | Figure 8b | 0.05 | 920 | 6838 | 46.8 | 347.9 | 301.1 |
| Kim et al. [68] | Figure 8b | 0.132 | 240 | 3250 | 53.1 | 719.4 | 666.3 |
5. Summary
Author Contributions
Funding
Institutional Review Board Statement
Informed Consent Statement
Data Availability Statement
Conflicts of Interest
References
- Rabinow, J. The magnetic fluid clutch. Electr. Eng. 1948, 67, 1167. [Google Scholar] [CrossRef]
- Lam, H.F.; Liao, W.H. Semi-active control of automotive suspension systems with magnetorheological dampers. In Proceedings of the Smart Structures and Materials 2001: Smart Structures and Integrated Systems, Newport Beach, CA, USA, 16 August 2001; SPIE: Bellingham, WA, USA, 2001; Volume 4327, pp. 125–136. [Google Scholar]
- Gołdasz, J.; Sapiński, B. Insight into Magnetorheological Shock Absorbers; Springer: Berlin/Heidelberg, Germany, 2015. [Google Scholar]
- Harris, D.C. History of magnetorheological finishing. In Proceedings of the Window and Dome Technologies and Materials XII, Orlando FL, USA, 27–28 April 2011; SPIE: Bellingham, WA, USA, 2011; Volume 8016, pp. 206–227. [Google Scholar]
- Kumar, M.; Kumar, A.; Alok, A.; Das, M. Magnetorheological method applied to optics polishing: A review. Proc. Iop Conf. Ser. Mater. Sci. Eng. 2020, 804, 012012. [Google Scholar] [CrossRef]
- Choi, S.B.; Gołdasz, J. Controllable actuators utilizing smart MR materials and ER suspensions. In Proceedings of the ACTUATOR 2018—16th International Conference on New Actuators, Bremen, Germany, 25–27 June 2018; pp. 1–9. [Google Scholar]
- Ulrich, S.; Böhme, G.; Bruns, R. Measuring the response time and static rheological properties of electrorheological fluids with regard to the design of valves and their controllers. J. Phys. Conf. Ser. 2009, 149, 012031. [Google Scholar] [CrossRef]
- Jolly, M.; Bender, J.; Carlson, J. Properties and applications of commercial magnetorheological fluids. J. Intell. Mater. Syst. Struct. 1999, 10, 5–13. [Google Scholar] [CrossRef]
- Goncalves, F.; Carlson, J. An alternate operation mode for MR fluids—Magnetic gradient pinch. J. Phys. Conf. Ser. 2009, 149, 012050. [Google Scholar] [CrossRef]
- Goldasz, J.; Sapinski, B. Magnetostatic analysis of a pinch mode magnetorheological valve. Acta Mech. Autom. 2017, 11, 229–232. [Google Scholar] [CrossRef][Green Version]
- Sung, K.G.; Choi, S.B.; Lee, H.G.; Min, K.W.; Lee, S.H. Performance comparison of MR dampers with three different working modes: Shear, flow and mixed mode. In Electrorheological Fluids And Magnetorheological Suspensions (Ermr 2004); World Scientific: Singapore, 2005; pp. 645–651. [Google Scholar]
- Yazid, I.I.M.; Mazlan, S.A.; Kikuchi, T.; Zamzuri, H.; Imaduddin, F. Design of magnetorheological damper with a combination of shear and squeeze modes. Mater. Des. 2014, 54, 87–95. [Google Scholar] [CrossRef]
- Abdul Aziz, M.; Muhtasim, S.; Ahammed, R. State-of-the-art recent developments of large magnetorheological (MR) dampers: A review. Korea-Aust. Rheol. J. 2022, 34, 105–136. [Google Scholar] [CrossRef]
- Sapinski, B. Energy-harvesting linear MR damper: Prototyping and testing. Smart Mater. Struct. 2014, 23, 035021. [Google Scholar] [CrossRef]
- Zhu, X.; Jing, X.; Cheng, L. Magnetorheological fluid dampers: A review on structure design and analysis. J. Intell. Mater. Syst. Struct. 2012, 23, 839–873. [Google Scholar] [CrossRef]
- Abd Fatah, A.Y.; Mazlan, S.A.; Koga, T.; Zamzuri, H.; Zeinali, M.; Imaduddin, F. A review of design and modeling of magnetorheological valve. Int. J. Mod. Phys. B 2015, 29, 1530004. [Google Scholar] [CrossRef]
- Rahman, M.; Ong, Z.C.; Julai, S.; Ferdaus, M.M.; Ahamed, R. A review of advances in magnetorheological dampers: Their design optimization and applications. J. Zhejiang Univ.-Sci. A 2017, 18, 991–1010. [Google Scholar] [CrossRef]
- Ismail, A.F.; Ibrahim, M.F.; Osman, K.H. A technological review of magnetorheological dampers. Int. J. Adv. Res. Eng. Innov. 2021, 3, 8–15. [Google Scholar]
- Aziz, M.A.; Aminossadati, S.M. State-of-the-art developments of bypass magnetorheological (MR) dampers: A review. Korea-Aust. Rheol. J. 2021, 33, 225–249. [Google Scholar] [CrossRef]
- Mohtasim, S.M.; Ahammed, R.; Rahman, M.; Rashid, M.M.; Roy, R.; Aziz, M.A. Recent developments of regenerative magnetorheological (RMR) damper: A review. Korea-Aust. Rheol. J. 2021, 33, 201–224. [Google Scholar] [CrossRef]
- Oliver, M.; Kruckemeyer, W.; Bishop, T.; Jensen, E. Magnetorheological Strut Piston with Compression Bypass. U.S. Patent US6637557B2, 28 October 2003. [Google Scholar]
- Deng, H.; Gao, Y.; Hu, R.; Zhao, S.; Han, G.; Lian, X.; Ma, M.; Zhong, X. Self-sensing automotive magnetorheological dampers for low frequency vibration. Smart Mater. Struct. 2021, 30, 115015. [Google Scholar] [CrossRef]
- Gavin, H.P. Annular Poiseuille flow of electrorheological and magnetorheological materials. J. Rheol. 2001, 45, 983–994. [Google Scholar] [CrossRef]
- Carlson, D.; Chrzan, M. Magnetorheological Fluid Dampers. U.S. Patent US5277281A, 11 January 1994. [Google Scholar]
- Namuduri, C.; Alexandridis, A. Magnetorheological Fluid Damper with Optimum Damping. U.S. Patent US6390252B1, 21 May 2002. [Google Scholar]
- Gołdasz, J. Theoretical study of a twin-tube magnetorheological damper concept. J. Theor. Appl. Mech. 2015, 53, 885–894. [Google Scholar] [CrossRef]
- Jensen, E.; Kruckemeyer, W. Twin-Tube Magnetorheological Damper. U.S. Patent US20020139624A1, 3 October 2002. [Google Scholar]
- Zhang, X.; Li, Z.; Guo, K.; Zheng, F.; Wang, Z. A novel pumping magnetorheological damper: Design, optimization, and evaluation. J. Intell. Mater. Syst. Struct. 2017, 28, 2339–2348. [Google Scholar] [CrossRef]
- Oakley, R. Twin-Tube Magnetorheological Damper. European Patent EP1908985A1, 9 April 2008. [Google Scholar]
- Anderfaas, E.; Banks, D. Magnetorheological Damper System. U.S. Patent US6953108B2, 11 October 2005. [Google Scholar]
- Shin, D.K.; Phu, D.X.; Choi, S.; Bok Choi, S. An adaptive fuzzy sliding mode control of magneto-rheological seat suspension with human body model. J. Intell. Mater. Syst. Struct. 2016, 27, 925–934. [Google Scholar] [CrossRef]
- Idris, M.H.; Imaduddin, F.; Ubaidillah; Mazlan, S.A.; Choi, S.B. A concentric design of a bypass magnetorheological fluid Damper with a serpentine flux valve. Actuators 2020, 9, 16. [Google Scholar] [CrossRef]
- Nam, Y.J.; Park, M.K. Performance evaluation of two different bypass-type MR shock dampers. J. Intell. Mater. Syst. Struct. 2007, 18, 707–717. [Google Scholar] [CrossRef]
- Bai, X.X.; Zhong, W.M.; Zou, Q.; Zhu, A.D.; Sun, J. Principle, design and validation of a power-generated magnetorheological energy absorber with velocity self-sensing capability. Smart Mater. Struct. 2018, 27, 075041. [Google Scholar] [CrossRef]
- Hou, S.; Liu, G. Research on Theoretical Modeling and Parameter Sensitivity of a Single-Rod Double-Cylinder and Double-Coil Magnetorheological Damper. Math. Probl. Eng. 2020, 2020, 5489896. [Google Scholar] [CrossRef]
- Mao, M.; Hu, W.; Choi, Y.T.; Wereley, N.M. A magnetorheological damper with bifold valves for shock and vibration mitigation. J. Intell. Mater. Syst. Struct. 2007, 18, 1227–1232. [Google Scholar] [CrossRef]
- Zeinali, M.; Mazlan, S.A.; Choi, S.B.; Imaduddin, F.; Hamdan, L.H. Influence of piston and magnetic coils on the field-dependent damping performance of a mixed-mode magnetorheological damper. Smart Mater. Struct. 2016, 25, 055010. [Google Scholar] [CrossRef]
- Hong, S.; Wereley, N.; Choi, Y.; Choi, S. Analytical and experimental validation of a nondimensional Bingham model for mixed-mode magnetorheological dampers. J. Sound Vib. 2008, 312, 399–417. [Google Scholar] [CrossRef]
- Maharani, E.T.; Ubaidillah, U.; Imaduddin, F.; Wibowo, K.; Utami, D.; Mazlan, S.A. A mathematical modelling and experimental study of annular-radial type magnetorheological damper. Int. J. Appl. Electromagn. Mech. 2021, 66, 543–560. [Google Scholar] [CrossRef]
- Imaduddin, F.; Mazlan, S.A.; Zamzuri, H.; Yazid, I.I.M. Design and performance analysis of a compact magnetorheological valve with multiple annular and radial gaps. J. Intell. Mater. Syst. Struct. 2015, 26, 1038–1049. [Google Scholar] [CrossRef]
- Chen, C.; Liao, W.H. A self-powered, self-sensing magnetorheological damper. In Proceedings of the 2010 IEEE International Conference on Mechatronics and Automation, Xi’an, China, 4–7 August 2010; pp. 1364–1369. [Google Scholar]
- Grunwald, A.; Olabi, A.G. Design of magneto-rheological (MR) valve. Sens. Actuators A Phys. 2008, 148, 211–223. [Google Scholar] [CrossRef]
- Choi, Y.T.; Wereley, N.M. Flow mode magnetorheological dampers with an eccentric gap. Adv. Mech. Eng. 2014, 6, 931683. [Google Scholar] [CrossRef]
- Foister, R.; Nehl, T.; Kruckemeyer, W.; Raynauld, O. Magnetorheological (mr) Piston Assembly with Primary and Secondary Channels to Improve MR Damper Force. U.S. Patent US8327984B2, 11 December 2012. [Google Scholar]
- Lee, T.H.; Kang, B.H.; Choi, S.B. A quasi-static model for the pinch mode analysis of a magnetorheological fluid flow with an experimental validation. Mech. Syst. Signal Process. 2019, 134, 106308. [Google Scholar] [CrossRef]
- Oliver, M.; Kruckemeyer, W. Electrical Coupling Assembly for a Magnetorheological Damper. U.S. Patent US6345706B1, 12 February 2002. [Google Scholar]
- Nehl, T.; Gopalakrishnan, S.; Deng, F. Direct Flux Control System for Magnetic Structures. European Patent EP1868214B1, 26 January 2011. [Google Scholar]
- Bai, X.X.; Wereley, N.M.; Choi, Y.T.; Wang, D.H. A bi-annular-gap magnetorheological energy absorber for shock and vibration mitigation. In Proceedings of the Active and Passive Smart Structures and Integrated Systems 2012, Online, 22–26 March 2012; Sodano, H.A., Ed.; SPIE: Bellingham, WA, USA, 2012; Volume 8341, pp. 646–666. [Google Scholar] [CrossRef]
- Bai, X.X.; Wereley, N.M.; Hu, W. Maximizing semi-active vibration isolation utilizing a magnetorheological damper with an inner bypass configuration. J. Appl. Phys. 2015, 117, 17C711. [Google Scholar] [CrossRef]
- Liu, S.; Feng, L.; Zhao, D.; Huang, H.; Shi, X.; Chen, L.; Jiang, J. The development of an outer multi-pole magneto-rheological damper with high dynamic range of damping force. Smart Mater. Struct. 2018, 27, 115025. [Google Scholar] [CrossRef]
- Bai, X.X.; Shen, S.; Wereley, N.M.; Wang, D.H. Controllability of magnetorheological shock absorber: I. Insights, modeling and simulation. Smart Mater. Struct. 2018, 28, 015022. [Google Scholar] [CrossRef]
- Zheng, J.; Li, Y.; Wang, J. Design and multi-physics optimization of a novel magnetorheological damper with a variable resistance gap. Proc. Inst. Mech. Eng. Part C J. Mech. Eng. Sci. 2017, 231, 3152–3168. [Google Scholar] [CrossRef]
- Hu, G.; Long, M.; Huang, M.; Li, W. Design, analysis, prototyping, and experimental evaluation of an efficient double coil magnetorheological valve. Adv. Mech. Eng. 2014, 6, 403410. [Google Scholar] [CrossRef]
- Elsaady, W.; Oyadiji, S.O.; Nasser, A. A one-way coupled numerical magnetic field and CFD simulation of viscoplastic compressible fluids in MR dampers. Int. J. Mech. Sci. 2020, 167, 105265. [Google Scholar] [CrossRef]
- Gołdasz, J. Electro-mechanical analysis of a magnetorheological damper with electrical steel laminations. Przegląd Elektrotech. 2013, 89, 8–12. [Google Scholar]
- Sassi, S.; Cherif, K.; Mezghani, L.; Thomas, M.; Kotrane, A. An innovative magnetorheological damper for automotive suspension: From design to experimental characterization. Smart Mater. Struct. 2005, 14, 811. [Google Scholar] [CrossRef]
- Badri, Y.; Syam, T.; Sassi, S.; Hussein, M.; Renno, J.; Ghani, S. Investigating the characteristics of a magnetorheological fluid damper through CFD modeling. Mater. Res. Express 2021, 8, 055701. [Google Scholar] [CrossRef]
- Sassi, S.; Sassi, A.; Cherif, K.; Tarlochan, F. Magnetorheological damper with external excitation for more efficient control of vehicles’ dynamics. J. Intell. Mater. Syst. Struct. 2018, 29, 2919–2932. [Google Scholar] [CrossRef]
- Kubík, M.; Mazurek, I.; Roupec, J.; Strecker, Z.; Macháček, O. Design of semi-active magnetorheological valve with non-magnetic bypass. Trans. Electr. Eng. 2015, 4, 20–23. [Google Scholar]
- Sohn, J.W.; Oh, J.S.; Choi, S.B. Design and novel type of a magnetorheological damper featuring piston bypass hole. Smart Mater. Struct. 2015, 24, 035013. [Google Scholar]
- Oh, J.S.; Kim, K.S.; Lee, Y.S.; Choi, S.B. Dynamic simulation of a full vehicle system featuring magnetorheological dampers with bypass holes. J. Intell. Mater. Syst. Struct. 2020, 31, 253–262. [Google Scholar] [CrossRef]
- Kim, B.G.; Yoon, D.S.; Kim, G.W.; Choi, S.B.; Tan, A.S.; Sattel, T. Design of a novel magnetorheological damper adaptable to low and high stroke velocity of vehicle suspension system. Appl. Sci. 2020, 10, 5586. [Google Scholar] [CrossRef]
- Kuzhir, P.; Bossis, G.; Bashtovoi, V. Optimization of magnetorheological fluid valves. Int. J. Mod. Phys. B 2005, 19, 1229–1235. [Google Scholar] [CrossRef]
- Bai, X.X.; Wang, D.H.; Fu, H. Principle, modeling, and testing of an annular-radial-duct magnetorheological damper. Sens. Actuators A Phys. 2013, 201, 302–309. [Google Scholar] [CrossRef]
- McLaughlin, G.; Hu, W.; Wereley, N. Advanced magnetorheological damper with a spiral channel bypass valve. J. Appl. Phys. 2014, 115, 17B532. [Google Scholar] [CrossRef]
- Namuduri, C.; Alexandridis, A.; Madak, J.; Rule, D. Magnetorheological Fluid Damper with Multiple Annular Flow Gaps. U.S. Patent US6279701B1, 28 August 2001. [Google Scholar]
- Gołdasz, J. Study of a magnetorheological fluid damper with multiple annular flow gaps. Int. J. Veh. Des. 2013, 62, 21–41. [Google Scholar] [CrossRef]
- Kim, K.; Chen, Z.; Yu, D.; Rim, C. Design and experiments of a novel magneto-rheological damper featuring bifold flow mode. Smart Mater. Struct. 2016, 25, 075004. [Google Scholar]
- Potnuru, M.R.; Wang, X.; Mantripragada, S.; Gordaninejad, F. A compressible magneto-rheological fluid damper–liquid spring system. Int. J. Veh. Des. 2013, 63, 256–274. [Google Scholar]
- Hu, G.; Long, M.; Yu, L.; Li, W. Design and performance evaluation of a novel magnetorheological valve with a tunable resistance gap. Smart Mater. Struct. 2014, 23, 127001. [Google Scholar] [CrossRef]
- Coulter, J.P.; Weiss, K.D.; Carlson, J.D. Engineering applications of electrorheological materials. J. Intell. Mater. Syst. Struct. 1993, 4, 248–259. [Google Scholar]
- Duclos, T.G. Design of devices using electrorheological fluids. SAE Trans. 1988, 97, 532–536. [Google Scholar]
- Nguyen, Q.H.; Choi, S.B. Optimal design of a vehicle magnetorheological damper considering the damping force and dynamic range. Smart Mater. Struct. 2008, 18, 015013. [Google Scholar] [CrossRef]
- Nguyen, Q.H.; Choi, S.B.; Wereley, N.M. Optimal design of magnetorheological valves via a finite element method considering control energy and a time constant. Smart Mater. Struct. 2008, 17, 025024. [Google Scholar]
- Soong, W. Sizing of electrical machines. Power Eng. Brief. Note Ser. 2008, 9, 17–18. [Google Scholar]
- Miller, T.J. Brushless Permanent-Magnet and Reluctance Motor Drives; Office of Scientific and Technical Information: Washington, DC, USA, 1989.
- Elsaady, W.; Oyadiji, S.O.; Nasser, A. Magnetic circuit analysis and fluid flow modeling of an MR damper with enhanced magnetic characteristics. IEEE Trans. Magn. 2020, 56, 1–20. [Google Scholar]
- Gołdasz, J.; Sapiński, B. Nondimensional characterization of flow-mode magnetorheological/electrorheological fluid dampers. J. Intell. Mater. Syst. Struct. 2012, 23, 1545–1562. [Google Scholar] [CrossRef]
- Gołdasz, J.; Sapiński, B. Verification of magnetorheological shock absorber models with various piston configurations. J. Intell. Mater. Syst. Struct. 2013, 24, 1846–1864. [Google Scholar] [CrossRef]
- Nehl, T.; Alexandridis, A.; Foister, R.; Kruckemeyer, W.; Deng, F. Magnetorheological Fluid-Based Device Having a Magnetorheological Piston Assembly. U.S. Patent US8286763B2, 16 October 2012. [Google Scholar]
- Jeniš, F.; Kubík, M.; Macháček, O.; Šebesta, K.; Strecker, Z. Insight into the response time of fail-safe magnetorheological damper. Smart Mater. Struct. 2020, 30, 017004. [Google Scholar] [CrossRef]
- Yang, X.; Chen, Y.; Liu, Y.; Zhang, R. Modeling and Experiments of an Annular Multi-Channel Magnetorheological Valve. Proc. Actuators. Multidiscip. Digit. Publ. Inst. 2022, 11, 19. [Google Scholar] [CrossRef]
- Hu, G.; Liu, H.; Duan, J.; Yu, L. Damping performance analysis of magnetorheological damper with serial-type flow channels. Adv. Mech. Eng. 2019, 11, 1687814018816842. [Google Scholar] [CrossRef]
- Abd Fatah, A.Y.; Mazlan, S.A.; Koga, T.; Zamzuri, H. Increasing effective region in magnetorheological valve using serpentine flux path method. In Proceedings of the 2013 World Congress on Advances in Structural Engineering and Mechanics, Jeju, Korea, 8–12 September 2013; pp. 8–12. [Google Scholar]
- Cheng, M.; Chen, Z.; Xing, J. Design, analysis, and experimental evaluation of a magnetorheological damper with meandering magnetic circuit. IEEE Trans. Magn. 2018, 54, 1–10. [Google Scholar] [CrossRef]
- Jensen, E.; Kruckemeyer, W. Magneto-Rheological Damping Valve Using Laminated Construction. U.S. Patent US6481546B2, 19 November 2002. [Google Scholar]
- Trebacz, P.; Bańkosz, W. Novel magnetorheological flow-mode valve. 2022; unpublished. [Google Scholar]
- Dominguez, G.A.; Kamezaki, M.; Sugano, S. Proposal and preliminary feasibility study of a novel toroidal magnetorheological piston. IEEE/ASME Trans. Mechatron. 2016, 22, 657–668. [Google Scholar] [CrossRef]
- Dominguez, G.A.; Kamezaki, M.; He, S.; Sophon, S.; Schmitz, A.; Sugano, S. Design optimisation and performance evaluation of a toroidal magnetorheological hydraulic piston head. In Proceedings of the 2016 IEEE/RSJ International Conference on Intelligent Robots and Systems (IROS), Daejeon, Korea, 9–14 October 2016; pp. 350–355. [Google Scholar]
- Nehl, T.; Alexandridis, A. Magnetorheological Devices with Permanent Magnet Field Bias. U.S. Patent US8651250B2, 18 February 2014. [Google Scholar]
- Boese, H.; Ehrlich, J. Performance of magnetorheological fluids in a novel damper with excellent fail-safe behavior. J. Intell. Mater. Syst. Struct. 2010, 21, 1537–1542. [Google Scholar] [CrossRef]
- Spencer, B., Jr.; Dyke, S.; Sain, M.; Carlson, J. Phenomenological model for magnetorheological dampers. J. Eng. Mech. 1997, 123, 230–238. [Google Scholar] [CrossRef]
- Kubík, M.; Strecker, Z.; Jeniš, F.; Macháček, O.; Prikryl, M.; Spalek, P. Magnetorheological Yaw Damper with Short Response Time for Railway Vehicle Boogie. In Proceedings of the ACTUATOR—International Conference and Exhibition on New Actuator Systems and Applications 2021, Online, 17–19 February 2021; pp. 1–4. [Google Scholar]
- Kubík, M.; Macháček, O.; Strecker, Z.; Roupec, J.; Mazurek, I. Design and testing of magnetorheological valve with fast force response time and great dynamic force range. Smart Mater. Struct. 2017, 26, 047002. [Google Scholar] [CrossRef]
- Kubík, M.; Gołdasz, J. Multiphysics Model of an MR Damper including Magnetic Hysteresis. Shock Vib. 2019, 2019, 3246915. [Google Scholar] [CrossRef]
- Bai, X.X.; Hu, W.; Wereley, N.M. Magnetorheological damper utilizing an inner bypass for ground vehicle suspensions. IEEE Trans. Magn. 2013, 49, 3422–3425. [Google Scholar] [CrossRef]
- Bai, X.X.; Hu, W.; Wereley, N.M. Analysis and testing of an inner bypass magnetorheological damper for shock and vibration mitigation. In Proceedings of the Active and Passive Smart Structures and Integrated Systems 2013, San Diego, CA, 10 April 2013; SPIE: Bellingham, WA, USA, 2013; Volume 8688, pp. 292–309. [Google Scholar]









| Feature | Key Characteristics | Ref. |
|---|---|---|
| Fluid volume | single-tube | [8,24,25] |
| dual-tube | [26,27,28,29] | |
| Volume compensator | internal | [8,24,25] |
| external | [29,30,31,32,33] | |
| Compensator’s pressure level | low | [28,29] |
| high | [8,24,25] | |
| Electromagnets per valve | single | [8,24,25] |
| multiple | [30,34,35,36] | |
| Valve’s operating mode | single | [8,24,25] |
| mixed | [11,37,38,39,40] | |
| Location—electromagnet | internal | [8,24,25] |
| external | [41] | |
| Relative position—electromagnet | non-stationary | [8,24,25] |
| stationary | [28,34,36] | |
| Attachment method—electromagnet | rod (non-stationary) | [8,24,25] |
| housing (housing) | [28,34,42] | |
| Magnetic flux distribution | uniform, quasi-uniform | [8,24] |
| non-uniform (radial, axial) | [9,25,43,44,45] | |
| Electrical circuit | uni-polar | [46] |
| bi-polar | [8,24,47] | |
| Coil assemblies per electromagnet | single | [8,24,25] |
| multiple | [48,49,50,51,52,53] | |
| Coil-to-coil connections | serial | [48,51] |
| parallel or mixed | [54] | |
| Coil arrangement in the electromagnet | radial | [50,55,56,57,58] |
| transverse | [8,24,25] | |
| Flow channel function | primary | [8,24] |
| secondary (bypass) or hybrid | [25,44,59,60,61,62] | |
| Flow channel shape | annular, planar | Most |
| radial, helix | [39,40,63,64,65] | |
| Number of flow channels | single | [8,24,25,66] |
| multiple (parallel) | [48,66,67,68] | |
| Flow channel height | constant | [8,24,25] |
| variable (longitudinally, radially) | [43,52,69,70] |
Publisher’s Note: MDPI stays neutral with regard to jurisdictional claims in published maps and institutional affiliations. |
© 2022 by the authors. Licensee MDPI, Basel, Switzerland. This article is an open access article distributed under the terms and conditions of the Creative Commons Attribution (CC BY) license (https://creativecommons.org/licenses/by/4.0/).
Share and Cite
Gołdasz, J.; Sapiński, B.; Kubík, M.; Macháček, O.; Bańkosz, W.; Sattel, T.; Tan, A.S. Review: A Survey on Configurations and Performance of Flow-Mode MR Valves. Appl. Sci. 2022, 12, 6260. https://doi.org/10.3390/app12126260
Gołdasz J, Sapiński B, Kubík M, Macháček O, Bańkosz W, Sattel T, Tan AS. Review: A Survey on Configurations and Performance of Flow-Mode MR Valves. Applied Sciences. 2022; 12(12):6260. https://doi.org/10.3390/app12126260
Chicago/Turabian StyleGołdasz, Janusz, Bogdan Sapiński, Michal Kubík, Ondřej Macháček, Wojciech Bańkosz, Thomas Sattel, and Aditya Suryadi Tan. 2022. "Review: A Survey on Configurations and Performance of Flow-Mode MR Valves" Applied Sciences 12, no. 12: 6260. https://doi.org/10.3390/app12126260
APA StyleGołdasz, J., Sapiński, B., Kubík, M., Macháček, O., Bańkosz, W., Sattel, T., & Tan, A. S. (2022). Review: A Survey on Configurations and Performance of Flow-Mode MR Valves. Applied Sciences, 12(12), 6260. https://doi.org/10.3390/app12126260

