A Hybrid Model Utilizing Principal Component Analysis and Artificial Neural Networks for Driving Drowsiness Detection
Abstract
:1. Introduction
2. Methodology
2.1. Principal Component Analysis
2.2. Artificial Neural Networks
2.2.1. Backpropagation Neural Network
2.2.2. Cascade Forward Neural Network
2.3. Classic Machine Learning Algorithms
2.3.1. Support Vector Machine
2.3.2. K-Nearest Neighbors
3. Experimental Design
3.1. Driving Simulation
3.1.1. Participants
- ○
- Have held a valid driver’s license for at least six months;
- ○
- Good physical condition;
- ○
- No history of taking drugs in the past month; no alcohol, coffee, or functional beverages in the day before the experiment;
- ○
- Have good sleeping habits; sleep no less than 6 h per day.
3.1.2. Apparatuses
3.1.3. Scenario
3.1.4. Procedure
3.2. Feature Extraction
3.3. Measurement of Drowsiness
3.4. Numerical Experiment
- Drowsiness detection
- Verification
4. Results
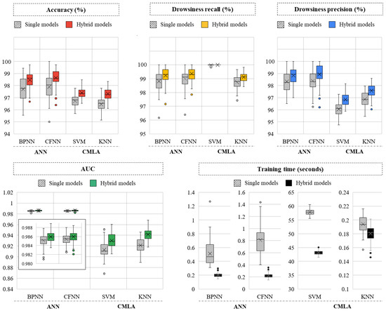
4.1. Drowsiness Detection
4.2. Verification
5. Discussion
6. Conclusions
Author Contributions
Funding
Institutional Review Board Statement
Informed Consent Statement
Data Availability Statement
Conflicts of Interest
Appendix A
| Models | Hybrid Model of Principal Component Analysis and Artificial Neural Networks | Single Model of Artificial Neural Networks | Hybrid Model of Principal Component Analysis and Classic Machine Learning Algorithms | Single Model of Classic Machine Learning Algorithms | |||||
|---|---|---|---|---|---|---|---|---|---|
| Index | Samples | PCA-BPNN | PCA-CFNN | BPNN | CFNN | PCA-SVM | PCA-KNN | SVM | KNN |
| Accuracy (%) | 1 | 99.4% | 98.5% | 96.7% | 97.0% | 89.8% | 92.1% | 89.1% | 89.7% |
| 2 | 92.8% | 94.5% | 92.8% | 92.8% | 92.8% | 91.2% | 88.1% | 88.4% | |
| 3 | 98.2% | 98.4% | 98.2% | 97.4% | 92.1% | 93.4% | 90.2% | 91.9% | |
| 4 | 88.1% | 91.1% | 85.8% | 84.4% | 88.1% | 86.3% | 87.2% | 84.7% | |
| 5 | 99.6% | 100.0% | 98.3% | 97.5% | 97.5% | 96.3% | 96.3% | 95.0% | |
| 6 | 99.7% | 99.2% | 99.4% | 98.9% | 98.5% | 97.9% | 97.8% | 96.1% | |
| 7 | 99.2% | 99.4% | 96.9% | 99.2% | 98.3% | 97.6% | 95.7% | 96.7% | |
| 8 | 99.3% | 100.0% | 98.5% | 99.3% | 99.4% | 99.6% | 99.1% | 98.3% | |
| 9 | 98.3% | 100.0% | 97.8% | 98.6% | 97.1% | 97.1% | 96.3% | 96.5% | |
| Drowsiness Recall (%) | 1 | 99.6% | 98.7% | 97.8% | 98.7% | 99.8% | 96.8% | 99.8% | 95.5% |
| 2 | 92.3% | 94.9% | 92.0% | 93.7% | 95.1% | 93.4% | 91.9% | 90.8% | |
| 3 | 99.3% | 99.0% | 99.3% | 99.0% | 99.8% | 98.1% | 99.8% | 96.6% | |
| 4 | 95.0% | 94.4% | 92.0% | 88.0% | 93.3% | 89.7% | 90.8% | 86.9% | |
| 5 | 100.0% | 100.0% | 100.0% | 99.4% | 100.0% | 99.4% | 99.7% | 98.8% | |
| 6 | 100.0% | 99.3% | 99.7% | 99.3% | 99.6% | 99.1% | 99.5% | 98.8% | |
| 7 | 99.6% | 100.0% | 96.8% | 100.0% | 98.2% | 98.6% | 94.6% | 97.7% | |
| 8 | 99.2% | 100.0% | 98.4% | 99.2% | 99.4% | 99.6% | 99.4% | 98.6% | |
| 9 | 98.9% | 100.0% | 98.6% | 98.6% | 100.0% | 98.8% | 100.0% | 98.4% | |
| Drowsiness Precision (%) | 1 | 99.6% | 99.1% | 97.3% | 97.0% | 87.5% | 92.4% | 86.4% | 89.8% |
| 2 | 95.5% | 95.4% | 94.5% | 93.2% | 92.2% | 91.4% | 87.2% | 88.8% | |
| 3 | 98.3% | 99.0% | 98.2% | 97.6% | 90.7% | 93.5% | 88.4% | 93.1% | |
| 4 | 86.8% | 91.1% | 85.2% | 85.5% | 87.6% | 87.0% | 87.5% | 86.9% | |
| 5 | 99.4% | 100.0% | 97.7% | 97.0% | 96.7% | 95.4% | 95.3% | 94.3% | |
| 6 | 99.7% | 99.7% | 99.7% | 99.3% | 98.4% | 98.3% | 97.8% | 96.4% | |
| 7 | 99.1% | 99.1% | 98.1% | 98.6% | 99.1% | 97.5% | 98.0% | 96.8% | |
| 8 | 100.0% | 100.0% | 100.0% | 100.0% | 100.0% | 100.0% | 99.6% | 99.6% | |
| 9 | 98.9% | 100.0% | 98.6% | 99.6% | 96.4% | 97.6% | 95.5% | 97.2% | |
| AUC | 1 | 0.990 | 0.989 | 0.989 | 0.989 | 0.828 | 0.881 | 0.809 | 0.873 |
| 2 | 0.894 | 0.924 | 0.898 | 0.885 | 0.916 | 0.904 | 0.868 | 0.867 | |
| 3 | 0.989 | 0.988 | 0.990 | 0.989 | 0.831 | 0.873 | 0.822 | 0.865 | |
| 4 | 0.981 | 0.985 | 0.975 | 0.969 | 0.874 | 0.850 | 0.856 | 0.836 | |
| 5 | 0.986 | 0.986 | 0.986 | 0.987 | 0.938 | 0.942 | 0.933 | 0.915 | |
| 6 | 0.986 | 0.986 | 0.985 | 0.986 | 0.961 | 0.958 | 0.953 | 0.912 | |
| 7 | 0.992 | 0.993 | 0.992 | 0.993 | 0.979 | 0.973 | 0.955 | 0.960 | |
| 8 | 0.955 | 0.923 | 0.933 | 0.944 | 0.965 | 0.966 | 0.927 | 0.944 | |
| 9 | 0.987 | 0.987 | 0.984 | 0.986 | 0.933 | 0.935 | 0.906 | 0.932 | |
| Training time (seconds) | 1 | 0.266 | 0.363 | 0.591 | 1.003 | 54.666 | 0.106 | 65.199 | 0.111 |
| 2 | 0.181 | 0.220 | 0.468 | 0.888 | 69.447 | 0.116 | 88.425 | 0.129 | |
| 3 | 0.206 | 0.246 | 0.472 | 1.177 | 68.403 | 0.136 | 84.958 | 0.145 | |
| 4 | 0.166 | 0.230 | 0.435 | 0.954 | 77.814 | 0.122 | 98.149 | 0.131 | |
| 5 | 0.161 | 0.205 | 0.471 | 1.003 | 28.217 | 0.058 | 33.653 | 0.062 | |
| 6 | 0.147 | 0.187 | 0.512 | 0.931 | 45.306 | 0.117 | 62.403 | 0.127 | |
| 7 | 0.151 | 0.217 | 0.297 | 0.771 | 54.898 | 0.119 | 70.365 | 0.127 | |
| 8 | 0.129 | 0.158 | 0.395 | 1.117 | 15.244 | 0.073 | 23.439 | 0.078 | |
| 9 | 0.232 | 0.257 | 0.324 | 0.998 | 42.478 | 0.118 | 58.073 | 0.125 | |
Appendix B
| Model | Hybrid Model of Principal Component Analysis and Artificial Neural Networks | Single Model of Artificial Neural Networks | Hybrid Model of Principal Component Analysis and Classic Machine Learning Algorithms | Single Model of Classic Machine Learning Algorithms | |||||
|---|---|---|---|---|---|---|---|---|---|
| Index | Sample | PCA-BPNN | PCA-CFNN | BPNN | CFNN | PCA-SVM | PCA-KNN | SVM | KNN |
| Accuracy (%) | 1 | 98.5 ± 0.7 | 98.6 ± 0.7 | 97.7 ± 1.0 | 97.6 ± 0.9 | 91.8 ± 0.9 | 91.6 ± 0.7 | 90.3 ± 0.9 | 90.2 ± 0.8 |
| 2 | 95.4 ± 0.9 | 95.7 ± 0.8 | 93.7 ± 1.0 | 93.9 ± 1.0 | 91.5 ± 0.7 | 91.5 ± 0.8 | 90.5 ± 0.8 | 89.7 ± 0.9 | |
| 3 | 98.0 ± 1.0 | 98.5 ± 0.5 | 96.4 ± 3.6 | 97.8 ± 0.6 | 92.2 ± 0.7 | 94.0 ± 0.7 | 90.8 ± 0.8 | 92.6 ± 0.7 | |
| 4 | 88.9 ± 1.4 | 88.8 ± 1.3 | 86.8 ± 1.4 | 86.7 ± 1.4 | 88.3 ± 0.8 | 86.9 ± 1.0 | 86.7 ± 0.8 | 84.5 ± 1.1 | |
| 5 | 99.2 ± 0.6 | 99.2 ± 0.6 | 98.3 ± 1.0 | 98.4 ± 0.8 | 96.8 ± 0.6 | 96.3 ± 0.6 | 95.8 ± 0.6 | 94.9 ± 0.6 | |
| 6 | 99.1 ± 0.6 | 99.2 ± 0.5 | 98.8 ± 0.7 | 99.0 ± 0.7 | 97.9 ± 0.4 | 97.1 ± 0.5 | 96.5 ± 0.5 | 95.9 ± 0.5 | |
| 7 | 98.2 ± 0.7 | 98.2 ± 0.7 | 97.9 ± 0.8 | 98.1 ± 0.6 | 97.8 ± 0.4 | 98.2 ± 0.4 | 96.8 ± 0.5 | 97.2 ± 0.5 | |
| 8 | 99.5 ± 0.4 | 99.4 ± 0.4 | 99.0 ± 0.6 | 98.9 ± 0.6 | 99.5 ± 0.2 | 99.4 ± 0.3 | 99.0 ± 0.3 | 98.9 ± 0.3 | |
| 9 | 98.5 ± 0.7 | 98.6 ± 0.7 | 97.7 ± 0.9 | 97.9 ± 0.9 | 97.4 ± 0.4 | 97.3 ± 0.4 | 96.7 ± 0.4 | 96.5 ± 0.5 | |
| Drowsiness Recall (%) | 1 | 99.2 ± 0.7 | 99.4 ± 0.5 | 98.6 ± 0.8 | 98.8 ± 0.7 | 99.5 ± 0.3 | 96.7 ± 0.8 | 99.2 ± 0.4 | 95.8 ± 0.8 |
| 2 | 96.0 ± 1.2 | 96.2 ± 1.2 | 94.3 ± 1.4 | 94.6 ± 1.5 | 94.7 ± 1.1 | 93.2 ± 1.1 | 93.8 ± 1.3 | 91.8 ± 1.3 | |
| 3 | 99.0 ± 0.8 | 99.4 ± 0.4 | 98.2 ± 1.7 | 99.1 ± 0.5 | 99.8 ± 0.1 | 98.7 ± 0.4 | 99.7 ± 0.2 | 98.0 ± 0.6 | |
| 4 | 94.6 ± 1.6 | 94.4 ± 1.8 | 92.7 ± 1.7 | 92.3 ± 1.9 | 93.0 ± 1.2 | 90.1 ± 1.4 | 92.0 ± 1.3 | 87.8 ± 1.6 | |
| 5 | 99.6 ± 0.6 | 99.7 ± 0.4 | 99.0 ± 1.0 | 99.3 ± 0.7 | 99.9 ± 0.1 | 98.8 ± 0.6 | 99.8 ± 0.2 | 97.8 ± 0.8 | |
| 6 | 99.5 ± 0.5 | 99.5 ± 0.4 | 99.3 ± 0.6 | 99.5 ± 0.5 | 99.8 ± 0.2 | 99.0 ± 0.3 | 99.6 ± 0.2 | 98.6 ± 0.4 | |
| 7 | 99.0 ± 0.9 | 99.0 ± 0.9 | 98.7 ± 1.0 | 98.9 ± 0.8 | 97.8 ± 0.7 | 98.3 ± 0.6 | 96.9 ± 0.9 | 97.3 ± 0.7 | |
| 8 | 99.6 ± 0.4 | 99.5 ± 0.4 | 99.2 ± 0.5 | 99.1 ± 0.6 | 99.6 ± 0.3 | 99.4 ± 0.3 | 99.2 ± 0.3 | 99.0 ± 0.3 | |
| 9 | 99.2 ± 0.5 | 99.4 ± 0.5 | 98.8 ± 0.7 | 99.0 ± 0.6 | 100 ± 0.0 | 99.1 ± 0.4 | 100 ± 0.0 | 98.7 ± 0.4 | |
| Drowsiness Precision (%) | 1 | 98.6 ± 1.0 | 98.6 ± 0.8 | 98.0 ± 1.0 | 97.8 ± 1.0 | 89.7 ± 1.1 | 91.5 ± 0.9 | 88.0 ± 1.2 | 90.4 ± 1.0 |
| 2 | 95.8 ± 1.3 | 96.2 ± 1.2 | 94.2 ± 1.7 | 94.3 ± 1.2 | 90.5 ± 1.0 | 91.6 ± 1.4 | 89.4 ± 1.1 | 89.8 ± 1.4 | |
| 3 | 98.4 ± 0.9 | 98.6 ± 0.6 | 97.0 ± 3.1 | 98.0 ± 0.7 | 90.8 ± 0.8 | 93.6 ± 0.9 | 89.2 ± 0.9 | 92.5 ± 0.9 | |
| 4 | 87.6 ± 1.9 | 87.5 ± 1.9 | 85.7 ± 2.0 | 85.7 ± 2.0 | 87.6 ± 1.1 | 87.8 ± 1.3 | 86.1 ± 1.0 | 85.8 ± 1.4 | |
| 5 | 99.3 ± 0.7 | 99.2 ± 0.8 | 98.5 ± 1.0 | 98.4 ± 0.9 | 95.7 ± 0.8 | 96.1 ± 0.8 | 94.5 ± 0.8 | 95.1 ± 0.8 | |
| 6 | 99.4 ± 0.5 | 99.5 ± 0.4 | 99.2 ± 0.6 | 99.2 ± 0.7 | 97.6 ± 0.5 | 97.4 ± 0.6 | 96.2 ± 0.6 | 96.3 ± 0.6 | |
| 7 | 98.0 ± 0.8 | 97.9 ± 1.0 | 97.9 ± 0.9 | 97.9 ± 0.9 | 98.5 ± 0.4 | 98.8 ± 0.5 | 97.9 ± 0.5 | 98.0 ± 0.5 | |
| 8 | 99.9 ± 0.3 | 99.9 ± 0.2 | 99.7 ± 0.3 | 99.7 ± 0.3 | 99.9 ± 0.1 | 99.9 ± 0.1 | 99.7 ± 0.2 | 99.8 ± 0.2 | |
| 9 | 98.8 ± 0.7 | 98.9 ± 0.8 | 98.3 ± 0.8 | 98.4 ± 0.8 | 96.9 ± 0.5 | 97.6 ± 0.6 | 96.1 ± 0.5 | 96.9 ± 0.6 | |
| AUC | 1 | 0.990 ± 0.001 | 0.990 ± 0.001 | 0.990 ± 0.001 | 0.990 ± 0.001 | 0.869 ± 0.013 | 0.884 ± 0.014 | 0.846 ± 0.015 | 0.866 ± 0.014 |
| 2 | 0.933 ± 0.014 | 0.939 ± 0.014 | 0.911 ± 0.015 | 0.915 ± 0.015 | 0.910 ± 0.010 | 0.911 ± 0.011 | 0.898 ± 0.010 | 0.891 ± 0.011 | |
| 3 | 0.989 ± 0.001 | 0.989 ± 0.001 | 0.987 ± 0.008 | 0.989 ± 0.001 | 0.842 ± 0.016 | 0.888 ± 0.015 | 0.810 ± 0.016 | 0.864 ± 0.015 | |
| 4 | 0.983 ± 0.003 | 0.983 ± 0.003 | 0.978 ± 0.004 | 0.977 ± 0.004 | 0.872 ± 0.011 | 0.858 ± 0.013 | 0.852 ± 0.011 | 0.833 ± 0.013 | |
| 5 | 0.986 ± 0.001 | 0.986 ± 0.001 | 0.986 ± 0.001 | 0.986 ± 0.001 | 0.942 ± 0.010 | 0.941 ± 0.010 | 0.925 ± 0.013 | 0.923 ± 0.011 | |
| 6 | 0.986 ± 0.001 | 0.986 ± 0.001 | 0.986 ± 0.001 | 0.986 ± 0.001 | 0.943 ± 0.013 | 0.937 ± 0.014 | 0.914 ± 0.015 | 0.911 ± 0.016 | |
| 7 | 0.993 ± 0.000 | 0.993 ± 0.000 | 0.993 ± 0.000 | 0.993 ± 0.000 | 0.974 ± 0.005 | 0.979 ± 0.005 | 0.965 ± 0.006 | 0.968 ± 0.006 | |
| 8 | 0.946 ± 0.008 | 0.946 ± 0.009 | 0.940 ± 0.010 | 0.940 ± 0.009 | 0.966 ± 0.012 | 0.969 ± 0.011 | 0.944 ± 0.018 | 0.953 ± 0.014 | |
| 9 | 0.986 ± 0.001 | 0.986 ± 0.001 | 0.985 ± 0.001 | 0.985 ± 0.001 | 0.930 ± 0.013 | 0.942 ± 0.011 | 0.913 ± 0.014 | 0.921 ± 0.013 | |
| Training time (seconds) | 1 | 0.300 ± 0.078 | 0.441 ± 0.094 | 0.758 ± 0.289 | 1.402 ± 0.298 | 54.759 ± 1.582 | 0.149 ± 0.014 | 65.416 ± 1.881 | 0.156 ± 0.014 |
| 2 | 0.236 ± 0.035 | 0.329 ± 0.049 | 0.659 ± 0.128 | 1.204 ± 0.219 | 68.366 ± 0.792 | 0.162 ± 0.013 | 87.013 ± 0.85 | 0.175 ± 0.012 | |
| 3 | 0.259 ± 0.077 | 0.319 ± 0.051 | 0.772 ± 0.304 | 1.466 ± 0.371 | 68.204 ± 1.623 | 0.208 ± 0.011 | 86.317 ± 1.629 | 0.220 ± 0.013 | |
| 4 | 0.206 ± 0.026 | 0.202 ± 0.029 | 0.642 ± 0.173 | 0.974 ± 0.193 | 77.338 ± 1.348 | 0.187 ± 0.009 | 99.471 ± 1.492 | 0.200 ± 0.012 | |
| 5 | 0.194 ± 0.025 | 0.244 ± 0.044 | 0.571 ± 0.125 | 0.931 ± 0.195 | 30.926 ± 1.322 | 0.087 ± 0.007 | 37.300 ± 1.570 | 0.094 ± 0.009 | |
| 6 | 0.183 ± 0.029 | 0.191 ± 0.024 | 0.547 ± 0.258 | 0.842 ± 0.308 | 45.848 ± 0.980 | 0.181 ± 0.013 | 61.471 ± 0.955 | 0.195 ± 0.012 | |
| 7 | 0.218 ± 0.056 | 0.213 ± 0.045 | 0.559 ± 0.198 | 0.807 ± 0.260 | 54.519 ± 0.632 | 0.171 ± 0.011 | 69.722 ± 0.823 | 0.182 ± 0.012 | |
| 8 | 0.140 ± 0.019 | 0.170 ± 0.103 | 0.445 ± 0.188 | 1.222 ± 1.893 | 14.545 ± 1.262 | 0.098 ± 0.011 | 23.949 ± 0.611 | 0.105 ± 0.012 | |
| 9 | 0.203 ± 0.032 | 0.220 ± 0.037 | 0.513 ± 0.170 | 0.810 ± 0.211 | 43.138 ± 0.804 | 0.180 ± 0.011 | 57.866 ± 1.015 | 0.194 ± 0.012 | |
References
- Tefft, B.C. Asleep at the Wheel: The Prevalence and Impact of Drowsy Driving; American Automobile Association Foundation for Traffic Safety: Washington, DC, USA, 2010. [Google Scholar]
- Lee, B.G.; Jung, S.J.; Chung, W.Y. Real-time physiological and vision monitoring of vehicle driver for non-intrusive drowsiness detection. IET Commun. 2011, 5, 2461–2469. [Google Scholar] [CrossRef]
- Emotiv, I. Epoc+ Research Grade 14 Channel Mobile 2017. Available online: https://www.emotiv.com/epoc/ (accessed on 18 November 2020).
- Lal, S.K.; Craig, A. A critical review of the psychophysiology of driver fatigue. Biol. Psychol. 2001, 55, 173–194. [Google Scholar] [CrossRef]
- Doudou, M.; Bouabdallah, A.; Berge-Cherfaoui, V. Driver Drowsiness Measurement Technologies: Current Research, Market Solutions, and Challenges. Int. J. Intell. Transp. Syst. Res. 2019, 18, 297–319. [Google Scholar] [CrossRef]
- Jacobe de Naurois, C.; Bourdin, C.; Stratulat, A.; Diaz, E.; Vercher, J.L. Detection and prediction of driver drowsiness using artificial neural network models. Accid. Anal. Prev. 2019, 126, 95–104. [Google Scholar] [CrossRef] [PubMed]
- Zhao, L.; Wang, Z.; Zhang, G.; Gao, H. Driver drowsiness recognition via transferred deep 3D convolutional network and state probability vector. Multimedia Tools Appl. 2020, 79, 26683–26701. [Google Scholar] [CrossRef]
- Li, X.; Hong, L.; Wang, J.; Liu, X. Fatigue driving detection model based on multi-feature fusion and semi-supervised active learning. IET Intell. Transp. Syst. 2019, 13, 1401–1409. [Google Scholar] [CrossRef]
- Morris, D.M.; Pilcher, J.J.; Switzer, F.S., III. Lane heading difference: An innovative model for drowsy driving detection using retrospective analysis around curves. Accid. Anal. Prevention 2015, 80, 117–124. [Google Scholar] [CrossRef]
- Bajaj, V.; Taran, S.; Khare, S.K.; Sengur, A. Feature extraction method for classification of alertness and drowsiness states EEG signals. Appl. Acoust. 2020, 163, 107224. [Google Scholar] [CrossRef]
- Min, J.; Cai, M. Driver Fatigue Detection Based on Multi-scale Wavelet Log Energy Entropy of Frontal EEG. China J. Highw. Transp. 2020, 33, 186–193. (In Chinese) [Google Scholar]
- Balam, V.P.; Sameer, V.U.; Chinara, S. Automated classification system for drowsiness detection using convolutional neural network and electroencephalogram. IET Intell. Transp. Syst. 2021, 15, 514–524. [Google Scholar] [CrossRef]
- Murugan, S.; Selvaraj, J.; Sahayadhas, A. Detection and analysis: Driver state with electrocardiogram (ECG). Phys. Eng. Sci. Med. 2020, 43, 525–537. [Google Scholar] [CrossRef] [PubMed]
- Kundinger, T.; Sofra, N.; Riener, A. Assessment of the Potential of Wrist-Worn Wearable Sensors for Driver Drowsiness Detection. Sensors 2020, 20, 1029. [Google Scholar] [CrossRef] [PubMed] [Green Version]
- Zhu, Y.; Liu, H.; Cha, F.; Li, M.; Guo, W.; Wang, P. Real-Time Monitoring System for Driver’s Fatigue States Based on Respiratory Signal. J. Jiangnan Univ. 2014, 13, 55–59. (In Chinese) [Google Scholar]
- Malathi, D.; Jayaseeli, J.D.; Madhuri, S.; Senthilkumar, K. Electrodermal Activity Based Wearable Device for Drowsy Drivers. J. Phys. Conf. Ser. 2018, 1000, 012048. [Google Scholar] [CrossRef]
- Koh, S.; Cho, B.R.; Lee, J.-I.; Kwon, S.-O.; Lee, S.; Lim, J.B.; Lee, S.B.; Kweon, H.-D. Driver drowsiness detection via PPG biosignals by using multimodal head support. In Proceedings of the 2017 4th International Conference on Control, Decision and Information Technologies (CoDIT), Barcelona, Spain, 5–7 August 2017; p. 383. [Google Scholar] [CrossRef]
- Hyeonjeong, L.; Jaewon, L.; Miyoung, M. Using Wearable ECG/PPG Sensors for Driver Drowsiness Detection Based on Distinguishable Pattern of Recurrence Plots. Electronics 2019, 8, 192. [Google Scholar]
- Wörle, J.; Metz, B.; Thiele, C.; Weller, G. Detecting sleep in drivers during highly automated driving: The potential of physiological parameters. IET Intell. Transp. Syst. 2019, 13, 1241–1248. [Google Scholar] [CrossRef]
- Grimnes, S.; Martinsen, Ø.G. (Eds.) Chapter 10—Selected applications. In Bioimpedance and Bioelectricity Basics, 3rd ed.; Academic Press: Oxford, UK, 2015; pp. 405–494. [Google Scholar]
- Scarpa, A.; Raine, A. Psychophysiology of Anger and Violent Behavior. Psychiatr. Clin. N. Am. 1997, 20, 375–394. [Google Scholar] [CrossRef]
- Alian, A.A.; Shelley, K.H. Photoplethysmography. Best Pract. Res. Clin. Anaesthesiol. 2014, 28, 395–406. [Google Scholar] [CrossRef]
- Xie, Z. Resaerch on Driving Fatigue Model Based on the Physiological Signal; Suzhou University: Suzhou, China, 2017. (In Chinese) [Google Scholar]
- Jian, Y.; David, Z.; Frangi, A.F.; Jing-Yu, Y. Two-dimensional PCA: A new approach to appearance-based face representation and recognition. IEEE Trans. Pattern Anal. Mach. Intell. 2004, 26, 131–137. [Google Scholar] [CrossRef] [Green Version]
- Fernandez-Delgado, M.; Cernadas, E.; Barro, S.; Amorim, D. Do we Need Hundreds of Classifiers to Solve Real World Classification Problems? J. Mach. Learn. Res. 2014, 15, 3133–3181. [Google Scholar]
- Bronold, M.; Kubala, S.; Pettenkofer, C.; Jaegermann, W.; Sejnowski, T.J. The “independent components” of natural scenes are edge filters. Vis. Res. 1997, 37, 3327–3338. [Google Scholar]
- Bishop, C.M. Neural Networks for Pattern Recognition. Adv. Comput. 1995, 37, 119–166. [Google Scholar]
- Adeli, H. Machine Learning—Neural Networks, Genetic Algorithms and Fuzzy Systems. Kybernetes; John Wiley & Sons: Hoboken, NJ, USA, 1972. [Google Scholar]
- Ayub, S.; Saini, J.P. ECG classification and abnormality detection using cascade forward neural network. Int. J. Eng. Sci. Technol. 2011, 3, 68420. [Google Scholar] [CrossRef]
- Chang, C.C.; Lin, C.J. LIBSVM: A library for support vector machines. ACM Trans. Intell. Syst. Technol. 2007, 2, 1–27. [Google Scholar] [CrossRef]
- Coomans, D.; Massart, D.L. Alternative k-nearest neighbour rules in supervised pattern recognition: Part 3. Condensed nearest neighbour rules. Anal. Chim. Acta 1982, 138, 167–176. [Google Scholar] [CrossRef]
- Louw, T.; Merat, N. Are you in the loop? Using gaze dispersion to understand driver visual attention during vehicle automation. Transp. Res. Part C Emerg. Technol. 2017, 76, 35–50. [Google Scholar] [CrossRef]
- Thiffault, P.; Bergeron, J. Monotony of road environment and driver fatigue: A simulator study. Accid. Anal. Prev. 2003, 35, 381–391. [Google Scholar] [CrossRef]
- Shahid, A.; Wilkinson, K.; Marcu, S.; Shapiro, C.M. Karolinska Sleepiness Scale (KSS); Springer: New York, NY, USA, 2011; pp. 209–210. [Google Scholar] [CrossRef]
- Wierwille, W.W.; Ellsworth, L.A. Evaluation of driver drowsiness by trained raters. Accid. Anal. Prev. 1994, 26, 571–581. [Google Scholar] [CrossRef]
- Zhang, X.; Wang, X.; Yang, X.; Xu, C.; Zhu, X.; Wei, J. Driver drowsiness detection using mixed-effect ordered logit model considering time cumulative effect. Anal. Methods Accid. Res. 2020, 26, 100114. [Google Scholar] [CrossRef]
- Pritchard, W.; Duke, D. Measuring Chaos in the Brain—A Tutorial Review of EEG Dimension Estimation. Brain Cogn. 1995, 27, 353–397. [Google Scholar] [CrossRef] [Green Version]
- Vadeby, A.; Forsman, A.; Kecklund, G.; Åkerstedt, T.; Sandberg, D.; Anund, A. Sleepiness and prediction of driver impairment in simulator studies using a Cox proportional hazard approach. Accid. Anal. Prev. 2010, 42, 835–841. [Google Scholar] [CrossRef] [PubMed]
- Van Loon, R.J.; Brouwer, R.F.; Martens, M.H. Drowsy drivers’ under-performance in lateral control: How much is too much? Using an integrated measure of lateral control to quantify safe lateral driving. Accid. Anal. Prev. 2015, 84, 134–143. [Google Scholar] [CrossRef] [PubMed]
- Martensson, H.; Keelan, O.; Ahlstrom, C. Driver Sleepiness Classification Based on Physiological Data and Driving Performance from Real Road Driving. IEEE Trans. Intell. Transp. Syst. 2019, 20, 421–430. [Google Scholar] [CrossRef]
- Shlens, J. A Tutorial on Principal Component Analysis. Int. J. Remote Sens. 2014, 51, 1100. [Google Scholar]
- Basheer, I.; Hajmeer, M. Artificial neural networks: Fundamentals, computing, design, and application. J. Microbiol. Methods 2000, 43, 3–31. [Google Scholar] [CrossRef]









| Data | Features | Defects |
|---|---|---|
| Driving behavior | Vehicle data (speed, acceleration, steering wheel angle, lane center offset, etc.) | Low accuracy (75%) |
| Facial images | Facial features Eye movements | Cannot wear glasses or facial masks Does not match natural driving scenes |
| Physiological signals | Electroencephalogram (EEG) Electrocardiogram (ECG) | Too intrusive to collect during the actual driving process |
| Electrodermal activity (EDA) Respiration (RESP) | Accuracy for driving drowsiness detection remains unknown | |
| Photoplethysmography(PPG) | Low accuracy when only using single signals to identify driving fatigue. |
| KSS Level | TOR Level | TOR Indicators |
|---|---|---|
| 1 Extremely alert | 0 Not drowsy | Normal fast eye blinks, often reasonably regular; Apparent focus on driving with occasional fast sideways glances; Normal facial tone; Occasional head, arm, and body movements. |
| 2 Very alert | ||
| 3 Alert | ||
| 4 Rather alert | ||
| 5 Neither alert nor sleepy | ||
| 6 Some signs of sleepiness | 1 Slightly drowsy | Increase in duration of eye blinks; Possible increase in the rate of eye blinks; Increase in duration and frequency of sideways glances; The appearance of a “glazed eye” look; The appearance of abrupt irregular movements—rubbing face/eyes, moving restlessly on the chair; Abnormally large body movements following drowsiness episodes; Occasional yawning. |
| 7 Sleepy, but no effort to keep alert | 2 Moderately drowsy | Occasional disruption of eye focus; Significant increase in eye blink duration; Disappearance of eye blink patterns observed during alert state; Reduction in the degree of eye opening; Occasional disappearance of facial tone; Episodes without any body movements. |
| 8 Sleepy, some effort to keep alert | 3 Very drowsy | Discernable episodes of almost complete eye closure, eyes never fully open; Significant disruptions in eye focus; Periods without body movements (more prolonged than in level 2) and facial tone followed by abrupt large body movements. |
| 9 Very sleepy, great effort to keep alert, fighting sleep | 4 Extremely drowsy | Significant increase in the duration of eye closure; Longer duration of episodes of no body movement followed by significant isolated “correction” movements. |
| EDA | RESP | PPG |
|---|---|---|
| Fuzzy entropy | Breath rate (mean, standard deviation) | Sympathetic vagal ratio |
| Wavelet entropy | Amplitude (mean, standard deviation) | Sympathetic ratio |
| Mean | Vagal ratio | |
| Standard deviation | Heart rate (mean, standard deviation) | |
| Amplitude (mean, standard deviation) |
| Drowsiness State | KSS Level | TOR Level |
|---|---|---|
| 0 No drowsiness | 1 Extremely alert | 0 Not drowsy |
| 2 Very alert | ||
| 3 Alert | ||
| 4 Rather alert | ||
| 5 Neither alert nor sleepy | ||
| 1 Drowsiness | 6 Some signs of sleepiness | 1 Slightly drowsy |
| 7 Sleepy, but no effort to keep alert | 2 Moderately drowsy | |
| 8 Sleepy, some effort to keep alert | 3 Very drowsy | |
| 9 Very sleepy, great effort to keep alert, fighting sleep | 4 Extremely drowsy |
| Classification Algorithms | Training Set | Validation Set | Testing Set | |
|---|---|---|---|---|
| Artificial neural networks | BPNN | 60% | 20% | 20% |
| CFNN | 60% | 20% | 20% | |
| Classic machine learning algorithms | SVM | 60% | 0% | 40% |
| KNN | 60% | 0% | 40% | |
| Index | Description |
|---|---|
| Accuracy (%) | Percentage of physiological state accurately detected. |
| Drowsiness recall (%) | Percentage of drowsiness accurately detected. |
| Drowsiness precision (%) | Percentage of the precise drowsiness output |
| AUC | Area under the ROC curve; reflects the model’s ability to classify positive and negative examples. |
| Training time (seconds) | Time required for model training. |
| Models | Hybrid Models | Single Models | ||||||
|---|---|---|---|---|---|---|---|---|
| Hybrid Model of Principal Component Analysis and ANN | Hybrid Model of Principal Component Analysis and CMLA | Single Model of ANN | Single Model of CMLA | |||||
| PCA-BPNN | PCA-CFNN | PCA-SVM | PCA-KNN | BPNN | CFNN | SVM | KNN | |
| Accuracy (%) | 97.2 | 97.9 | 94.8 | 94.6 | 96.1 | 96.1 | 93.3 | 93.0 |
| Drowsiness recall (%) | 98.2 | 98.5 | 98.4 | 97.1 | 97.2 | 97.3 | 97.3 | 95.8 |
| Drowsiness precision (%) | 97.5 | 98.1 | 94.3 | 94.8 | 96.6 | 96.4 | 92.8 | 93.6 |
| AUC | 0.973 | 0.973 | 0.914 | 0.920 | 0.970 | 0.970 | 0.892 | 0.900 |
| Training time (seconds) | 0.182 | 0.231 | 50.719 | 0.107 | 0.441 | 0.982 | 64.963 | 0.115 |
| Models | Hybrid Models | Single Models | ||||||
|---|---|---|---|---|---|---|---|---|
| Hybrid Model of Principal Component Analysis and ANN | Hybrid Model of Principal Component Analysis and CMLA | Single Model of ANN | Single Model of CMLA | |||||
| PCA-BPNN | PCA-CFNN | PCA-SVM | PCA-KNN | BPNN | CFNN | SVM | KNN | |
| Accuracy (%) | 97.3 | 97.4 | 94.8 | 94.7 | 96.3 | 96.5 | 93.7 | 93.4 |
| Drowsiness recall (%) | 98.4 | 98.5 | 98.2 | 97.0 | 97.6 | 97.8 | 97.8 | 96.1 |
| Drowsiness precision (%) | 97.3 | 97.4 | 94.1 | 94.9 | 96.5 | 96.6 | 93.0 | 93.8 |
| AUC | 0.977 | 0.978 | 0.916 | 0.923 | 0.973 | 0.973 | 0.896 | 0.903 |
| Training time (seconds) | 0.215 | 0.259 | 50.849 | 0.158 | 0.607 | 1.073 | 65.392 | 0.169 |
| Models | Hybrid Models | Single Models | ||||||
|---|---|---|---|---|---|---|---|---|
| Hybrid Model of Principal Component Analysis and ANN | Hybrid Model of Principal Component Analysis and CMLA | Single Model of ANN | Single Model of CMLA | |||||
| PCA-BPNN | PCA-CFNN | PCA-SVM | PCA-KNN | BPNN | CFNN | SVM | KNN | |
| Accuracy (%) | 0.8 | 0.7 | 0.6 | 0.6 | 1.2 | 0.8 | 0.6 | 0.7 |
| Drowsiness recall (%) | 0.8 | 0.7 | 0.4 | 0.7 | 1.0 | 0.9 | 0.5 | 0.8 |
| Drowsiness precision (%) | 0.9 | 0.9 | 0.7 | 0.8 | 1.3 | 0.9 | 0.8 | 0.8 |
| AUC | 0.003 | 0.003 | 0.011 | 0.012 | 0.005 | 0.004 | 0.013 | 0.013 |
| Training time (seconds) | 0.042 | 0.053 | 1.149 | 0.011 | 0.204 | 0.439 | 1.203 | 0.012 |
Publisher’s Note: MDPI stays neutral with regard to jurisdictional claims in published maps and institutional affiliations. |
© 2022 by the authors. Licensee MDPI, Basel, Switzerland. This article is an open access article distributed under the terms and conditions of the Creative Commons Attribution (CC BY) license (https://creativecommons.org/licenses/by/4.0/).
Share and Cite
Huang, Y.; Deng, Y. A Hybrid Model Utilizing Principal Component Analysis and Artificial Neural Networks for Driving Drowsiness Detection. Appl. Sci. 2022, 12, 6007. https://doi.org/10.3390/app12126007
Huang Y, Deng Y. A Hybrid Model Utilizing Principal Component Analysis and Artificial Neural Networks for Driving Drowsiness Detection. Applied Sciences. 2022; 12(12):6007. https://doi.org/10.3390/app12126007
Chicago/Turabian StyleHuang, Yanwen, and Yuanchang Deng. 2022. "A Hybrid Model Utilizing Principal Component Analysis and Artificial Neural Networks for Driving Drowsiness Detection" Applied Sciences 12, no. 12: 6007. https://doi.org/10.3390/app12126007
APA StyleHuang, Y., & Deng, Y. (2022). A Hybrid Model Utilizing Principal Component Analysis and Artificial Neural Networks for Driving Drowsiness Detection. Applied Sciences, 12(12), 6007. https://doi.org/10.3390/app12126007

