Measurement of Large-Sized-Pipe Diameter Based on Stereo Vision
Abstract
1. Introduction
2. Materials and Methods
2.1. Principle of Measurement and Algorithm
2.2. Three-Dimensional Reconstruction
2.3. Point-Cloud Registration
2.4. Parameter Estimation
2.5. Experimental System
3. Results and Discussion
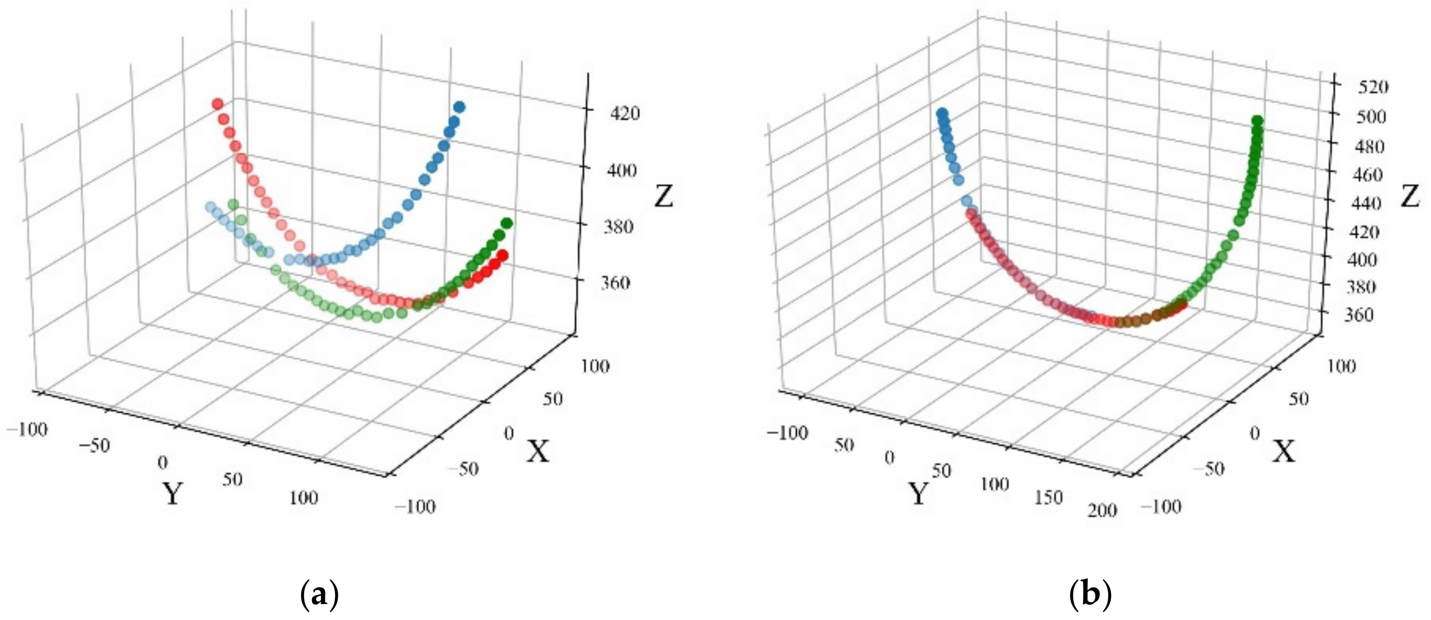
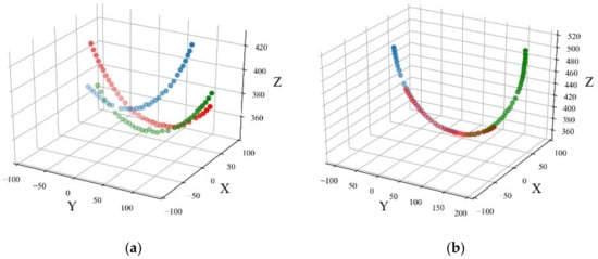
3.1. Effect of Feature-Point-Matching Algorithm
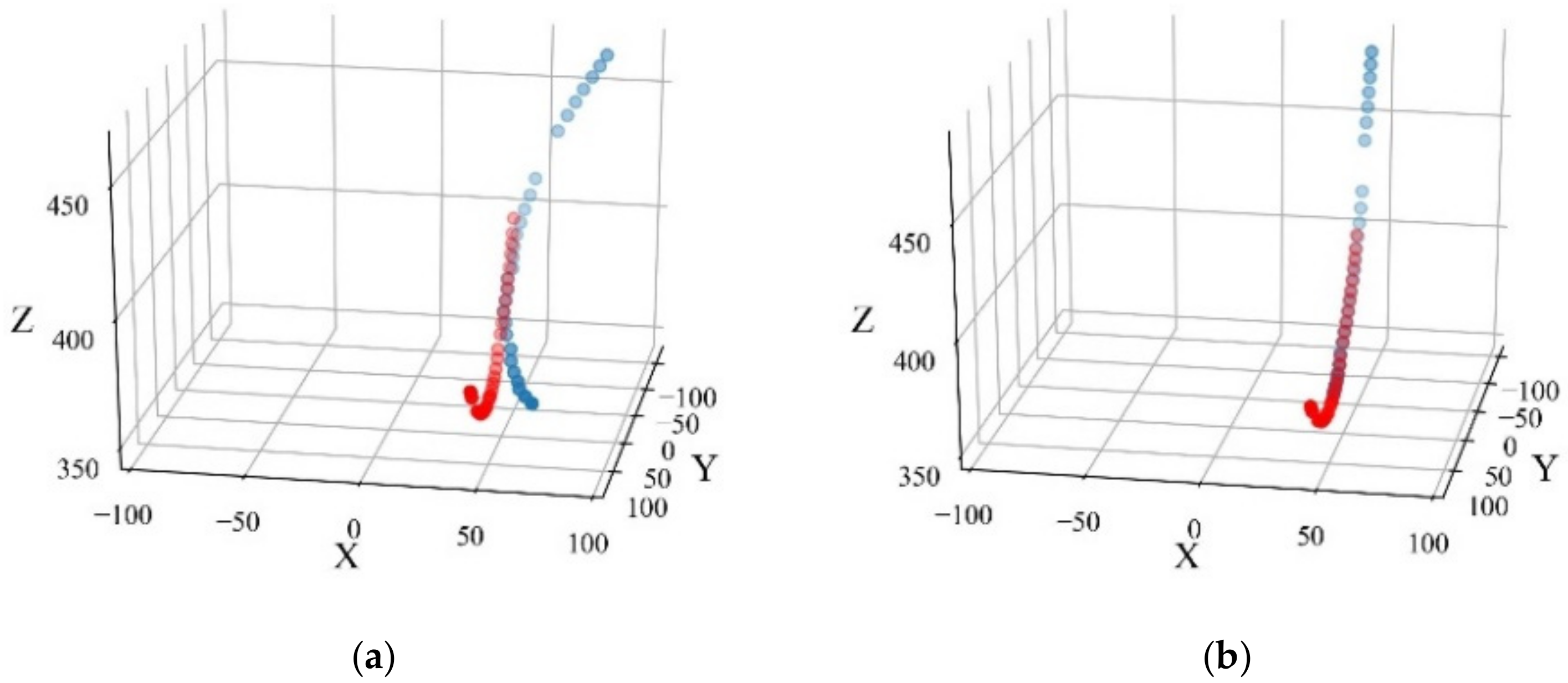
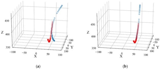
3.2. Effect of Point-Cloud-Registration Algorithm
3.3. Validation Experiment
4. Conclusions
Author Contributions
Funding
Data Availability Statement
Acknowledgments
Conflicts of Interest
References
- Hashmi, M.S.J. Aspects of tube and pipe manufacturing processes: Meter to nanometer diameter. J. Mater. Processing Technol. 2006, 179, 5–10. [Google Scholar] [CrossRef]
- Yang, Z.; Tian, W.; Ma, Q.; Li, Y.; Li, J.; Gao, J.; Zhang, H.; Yang, Y. Mechanical properties of longitudinal submerged arc welded steel pipes used for gas pipeline of offshore oil. Acta Metall. Sin. 2008, 21, 85–93. [Google Scholar] [CrossRef]
- Diogo, A.F.; Vilela, F.A. Head losses and friction factors of steady turbulent flows in plastic pipes. Urban Water J. 2014, 11, 414–425. [Google Scholar] [CrossRef]
- Safdarian, R. Experimental and numerical investigation of wrinkling and tube ovality in the rotary draw bending process. Proc. Inst. Mech. Eng. Part C J. Mech. Eng. Sci. 2019, 233, 5568–5584. [Google Scholar] [CrossRef]
- Mekid, S.; Vacharanukul, K. In–process out–of–roundness measurement probe for turned workpieces. Measurement 2011, 44, 762–766. [Google Scholar] [CrossRef]
- Schöch, A.; Salvadori, A.; Germann, I.; Balemi, S.; Bach, C.; Ghiotti, A.; Carmignato, S.; Maurizio, A.L.; Savio, E.; Ag, Z.E.; et al. High–speed measurement of complex shaped parts at elevated temperature by laser triangulation. Int. J. Autom. Technol. 2015, 9, 558–566. [Google Scholar] [CrossRef]
- Zhang, Y.; Wang, Y.; Liu, Y.; Lv, D.; Fu, X.; Zhang, Y.; Li, J. A concentricity measurement method for large forgings based on laser ranging principle. Measurement 2019, 147, 106838. [Google Scholar] [CrossRef]
- Zhang, Y.C.; Miao, S.; Fu, X.B.; Li, Q.; Gao, J.H. Online measuring method of radial section line for ring forgings. Int. J. Adv. Manuf. Technol. 2019, 101, 3035–3046. [Google Scholar] [CrossRef]
- Cavedo, F.; Norgia, M.; Pesatori, A.; Solari, G.E. Steel pipe measurement system based on laser rangefinder. IEEE Trans. Instrum. Meas. 2016, 65, 1472–1477. [Google Scholar] [CrossRef]
- Fu, X.; Zhang, Y.; Tao, K.; Li, S. The outer diameter detection and experiment of the circular forging using laser scanner. Optik 2017, 128, 281–291. [Google Scholar] [CrossRef]
- Fu, X.; Liu, B.; Zhang, Y. An optical non–contact measurement method for hot–state size of cylindrical shell forging. Measurement 2012, 45, 1343–1349. [Google Scholar] [CrossRef]
- Du, Z.; Du, Y. Simple three–dimensional laser radar measuring method and model reconstruction for hot heavy forgings. Opt. Eng. 2012, 51, 021118. [Google Scholar] [CrossRef]
- Ayub, M.A.; Mohamed, A.B.; Esa, A.H. In–line inspection of roundness using machine vision. Procedia Technol. 2014, 15, 807–816. [Google Scholar] [CrossRef]
- Xiao, G.; Li, Y.; Xia, Q.; Cheng, X.; Chen, W. Research on the on–line dimensional accuracy measurement method of conical spun workpieces based on machine vision technology. Measurement 2019, 148, 106881. [Google Scholar] [CrossRef]
- Zatočilová, A.; Paloušek, D.; Brandejs, J. Image–based measurement of the dimensions and of the axis straightness of hot forgings. Measurement 2016, 94, 254–264. [Google Scholar] [CrossRef]
- Zhou, Y.; Wu, Y.; Luo, C. A fast dimensional measurement method for large hot forgings based on line reconstruction. Int. J. Adv. Manuf. Technol. 2018, 99, 1713–1724. [Google Scholar] [CrossRef]
- Quentin, L.; Beermann, R.; Pösch, A.; Reithmeier, E.; Kästner, M. 3D geometry measurement of hot cylindric specimen using structured light[C]//Optical Measurement Systems for Industrial Inspection X. Int. Soc. Opt. Photonics 2017, 10329, 103290U. [Google Scholar] [CrossRef]
- Bračun, D.; Škulj, G.; Kadiš, M. Spectral selective and difference imaging laser triangulation measurement system for on line measurement of large hot workpieces in precision open die forging. Int. J. Adv. Manuf. Technol. 2017, 90, 917–926. [Google Scholar] [CrossRef]
- Rahayem, M.; Werghi, N.; Kjellander, J. Best ellipse and cylinder parameters estimation from laser profile scan sections. Opt. Lasers Eng. 2012, 50, 1242–1259. [Google Scholar] [CrossRef]
- Zhang, Y.C.; Luo, C.; Fu, X.B.; Chen, Y.M. Automatic measurement method for the size of large forgings based on scattering on rough surface. IET Sci. Meas. Technol. 2017, 11, 118–124. Available online: https://ietresearch.onlinelibrary.wiley.com/doi/pdfdirect/10.1049/iet-smt.2016.0283 (accessed on 20 January 2022). [CrossRef]
- Zhang, Y.C.; Han, J.X.; Fu, X.B.; Zhang, F.L. Measurement and control technology of the size for large hot forgings. Measurement 2014, 49, 52–59. [Google Scholar] [CrossRef]
- Matsui, K.; Yamashita, A.; Kaneko, T. 3–d shape measurement of pipe by range finder constructed with omni–directional laser and omni–directional camera. In Proceedings of the 2010 IEEE International Conference on Robotics and Automation, Anchorage, AK, USA, 3–7 May 2010; pp. 2537–2542. [Google Scholar] [CrossRef]
- Lee, H.W.; Hsu, P.E.; Pan, S.P.; Liu, T.A.; Liou, H.C. Applying Structured Light on Cylinder Straightness Detection Using Break Line Method. In Applied Mechanics and Materials; Trans Tech Publications Ltd.: Bäch SZ, Switzerland, 2015; Volume 764, pp. 1298–1303. Available online: https://doi.org/10.4028/www.scientific.net/AMM.764-765.1298 (accessed on 1 February 2022). [CrossRef]
- Sansoni, G.; Bellandi, P.; Docchio, F. Design and development of a 3D system for the measurement of tube eccentricity. Meas. Sci. Technol. 2011, 22, 075302. [Google Scholar] [CrossRef][Green Version]
- Lu, R.S.; Li, Y.F.; Yu, Q. On–line measurement of the straightness of seamless steel pipes using machine vision technique. Sens. Actuators A Phys. 2001, 94, 95–101. [Google Scholar] [CrossRef]
- Jia, Z.; Wang, L.; Liu, W.; Yang, J.; Liu, Y.; Fan, C.; Zhao, K. A field measurement method for large objects based on a multi–view stereo vision system. Sens. Actuators A Phys. 2015, 234, 120–132. [Google Scholar] [CrossRef]
- Jia, Z.; Liu, Y.; Liu, W.; Zhang, C.; Yang, J.; Wang, L.; Zhao, K. A spectrum selection method based on SNR for the machine vision measurement of large hot forgings. Optik 2015, 126, 5527–5533. [Google Scholar] [CrossRef]
- Liu, Y.; Jia, Z.; Liu, W.; Wang, L.; Fan, C.; Xu, P.; Yang, J.; Zhao, K. An improved image acquisition method for measuring hot forgings using machine vision. Sens. Actuators A Phys. 2016, 238, 369–378. [Google Scholar] [CrossRef]

















| Cross Section Number | 1 | 2 | 3 | 4 | 5 | 6 | 7 | 8 | 9 | 10 |
|---|---|---|---|---|---|---|---|---|---|---|
| CMM (mm) | 299.514 | 299.501 | 299.494 | 299.493 | 299.493 | 299.500 | 299.545 | 299.167 | 299.512 | 299.514 |
| This article (mm) | 298.454 | 298.565 | 298.790 | 299.255 | 300.586 | 299.355 | 297.837 | 298.561 | 298.185 | 300.171 |
| Absolute error (mm) | −1.06 | −0.936 | −0.704 | −0.238 | 1.09 | −0.145 | −1.71 | −0.606 | −1.33 | 0.657 |
| Relative error (%) | −0.354 | −0.313 | −0.235 | −0.0790 | 0.365 | −0.0480 | −0.570 | −0.203 | −0.443 | 0.219 |
Publisher’s Note: MDPI stays neutral with regard to jurisdictional claims in published maps and institutional affiliations. |
© 2022 by the authors. Licensee MDPI, Basel, Switzerland. This article is an open access article distributed under the terms and conditions of the Creative Commons Attribution (CC BY) license (https://creativecommons.org/licenses/by/4.0/).
Share and Cite
Liu, P.; Zhang, L.; Wang, M. Measurement of Large-Sized-Pipe Diameter Based on Stereo Vision. Appl. Sci. 2022, 12, 5277. https://doi.org/10.3390/app12105277
Liu P, Zhang L, Wang M. Measurement of Large-Sized-Pipe Diameter Based on Stereo Vision. Applied Sciences. 2022; 12(10):5277. https://doi.org/10.3390/app12105277
Chicago/Turabian StyleLiu, Pu, Lieshan Zhang, and Meibao Wang. 2022. "Measurement of Large-Sized-Pipe Diameter Based on Stereo Vision" Applied Sciences 12, no. 10: 5277. https://doi.org/10.3390/app12105277
APA StyleLiu, P., Zhang, L., & Wang, M. (2022). Measurement of Large-Sized-Pipe Diameter Based on Stereo Vision. Applied Sciences, 12(10), 5277. https://doi.org/10.3390/app12105277

