Nonlinear Dynamics of an Elastic Stop System and Its Application in a Rotor System
Abstract
1. Introduction
2. Model and Solving Method
2.1. Model
2.2. Solving Method
3. Dynamic Response
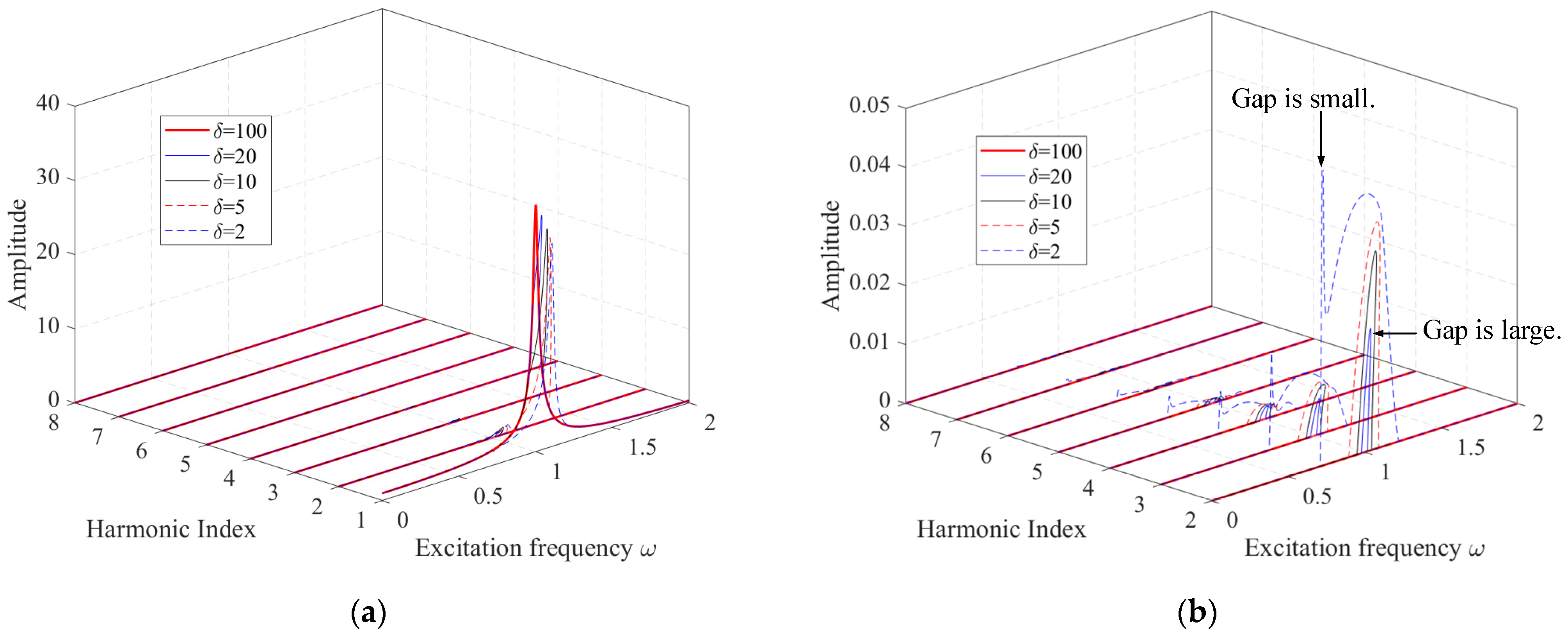
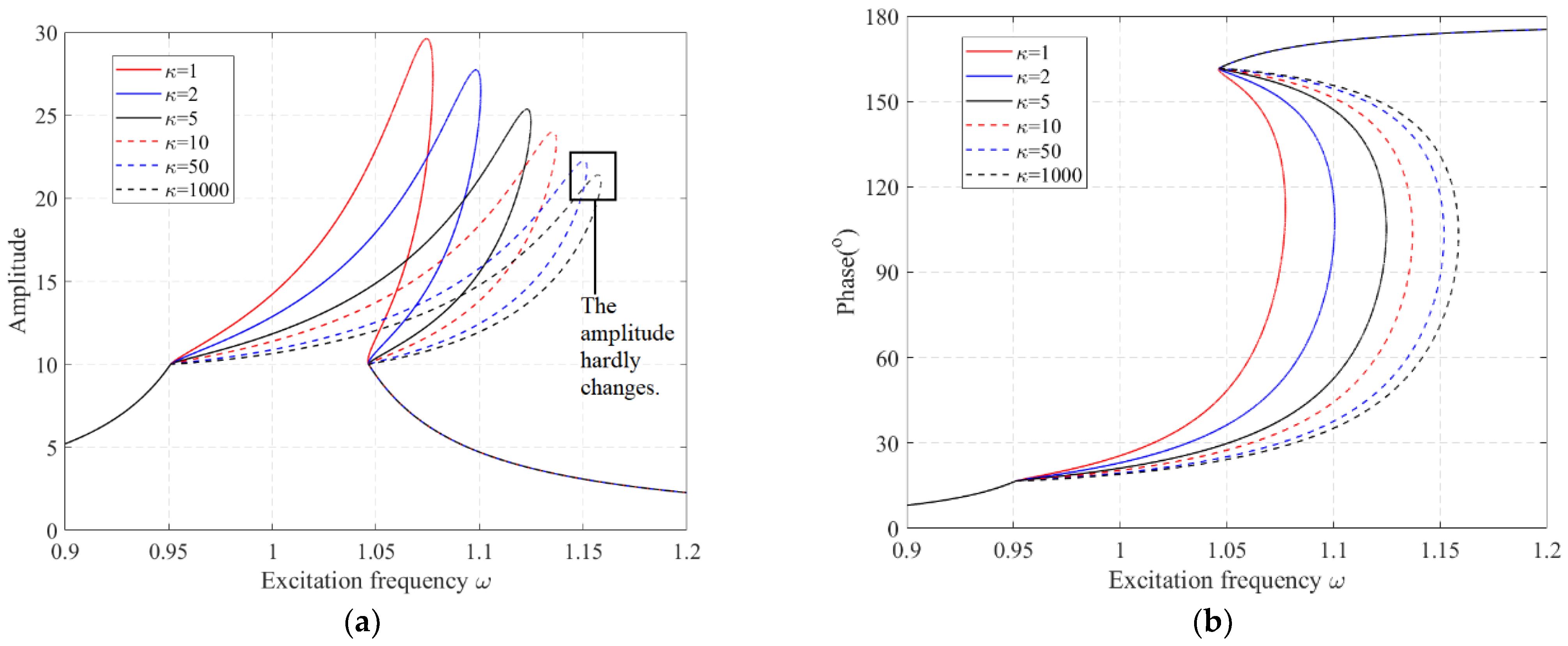
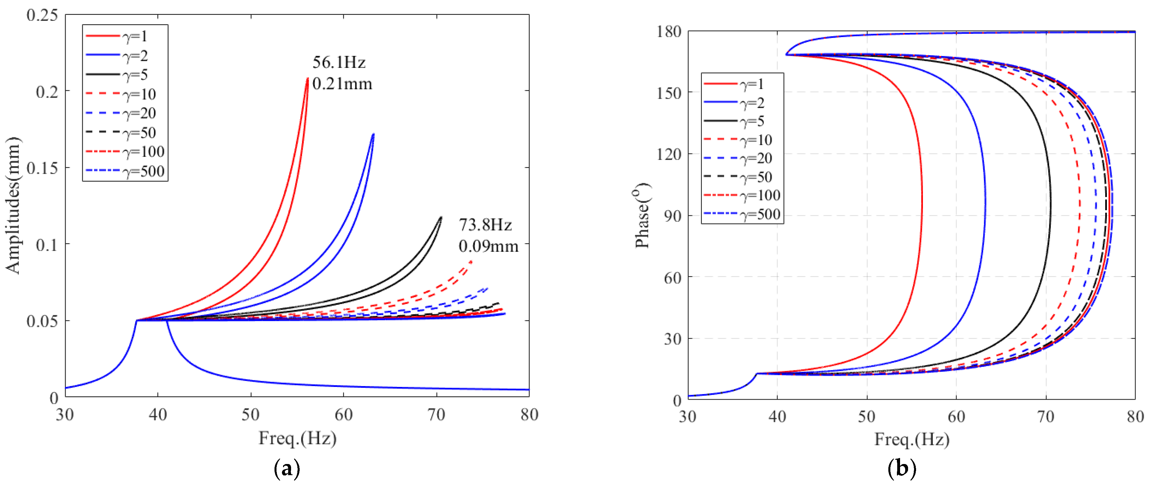
3.1. Amplitude–Frequency Characteristics
- (1)
- When = 100, the gap is large enough, and Dof-1 and Dof-2 never come into contact, and the amplitude–frequency characteristic is the forced excitation response of Dof-1.
- (2)
- When < 100, Dof-1 and Dof-2 contact; the amplitudes are larger than the gap with some excitation frequencies, and the amplitude–frequency curves are similar to that of the system with a hardening spring showing the resonance peak bending to the right.
- (3)
- When the gap changes from 100 to 2, the peak of frequency amplitude curves shifts from point F1 to point F2, and the resonance frequency increases from 1.0 to 1.1 correspondingly.
- (4)
- When the gap decreases from 100 to 2, the amplitude of the resonance peaks decreases from 33.3 to 27.3 (−18%); the vibration suppression efficiency (18%) of the elastic stop structure on Dof-1 is not very good, which depends on the parameters , . In the following, the vibration suppression of an elastic stop with different stiffensses is investigated.
- (5)
- The phase–frequency characteristics of Dof-2 have difficulty finding a common rule.
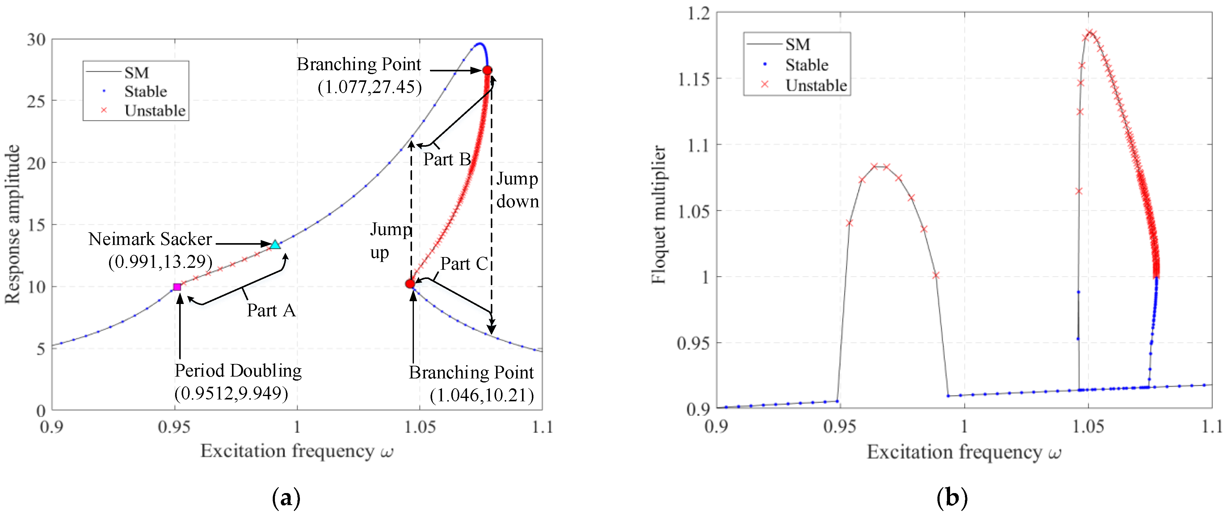
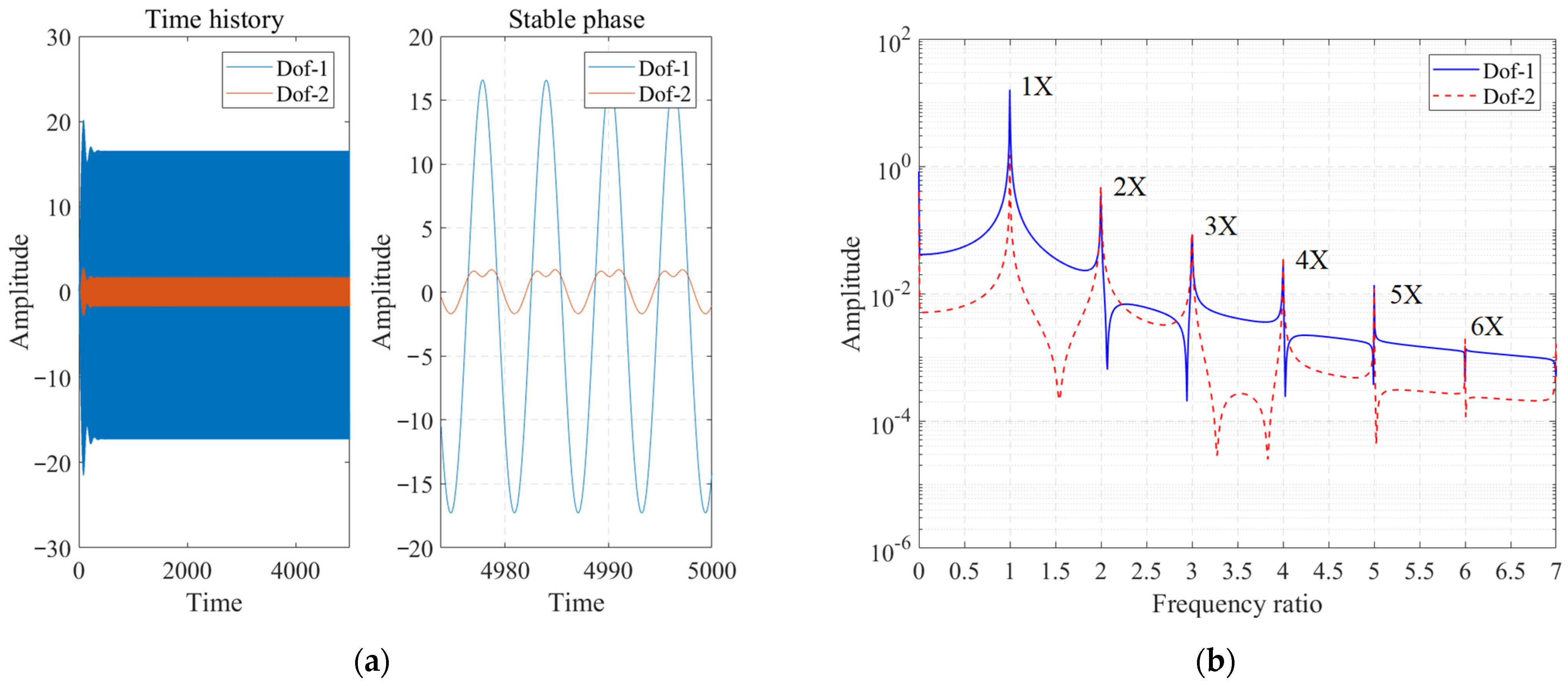
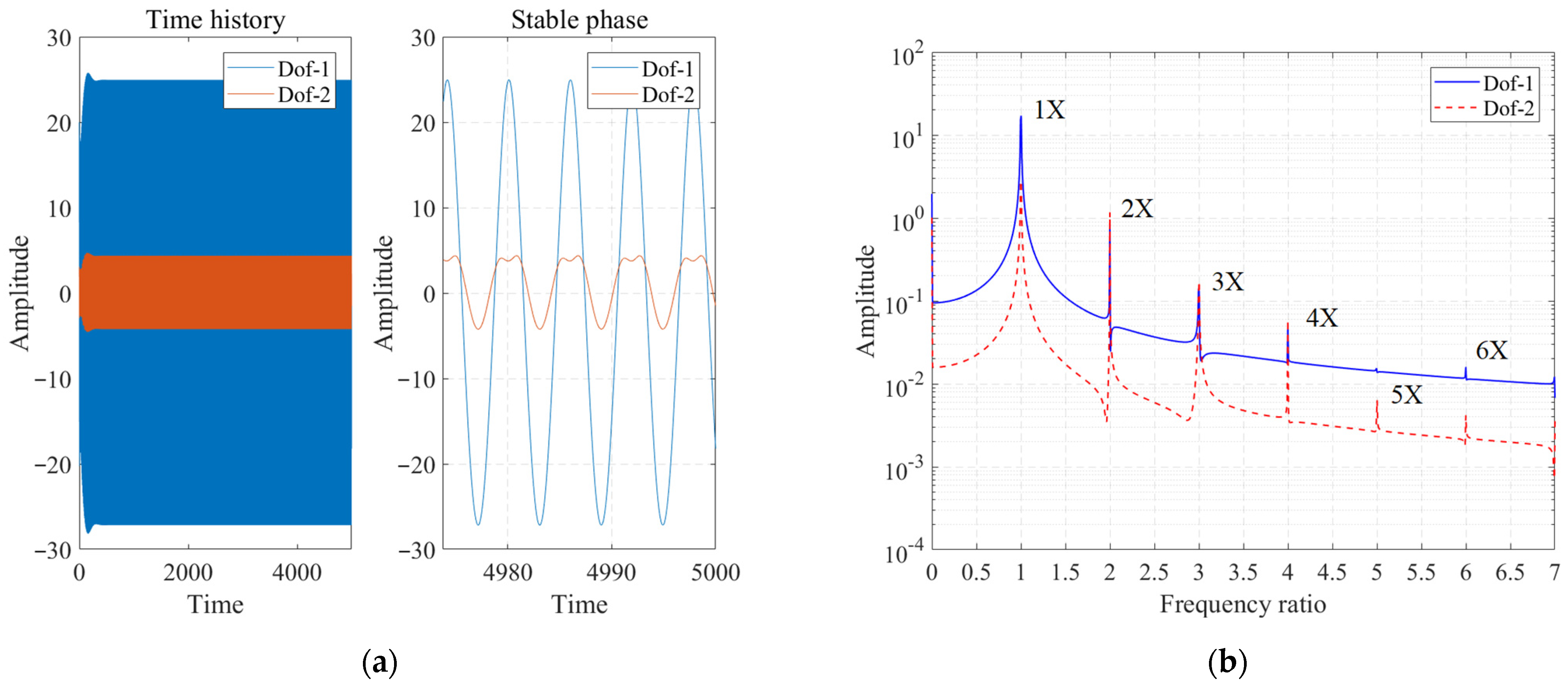
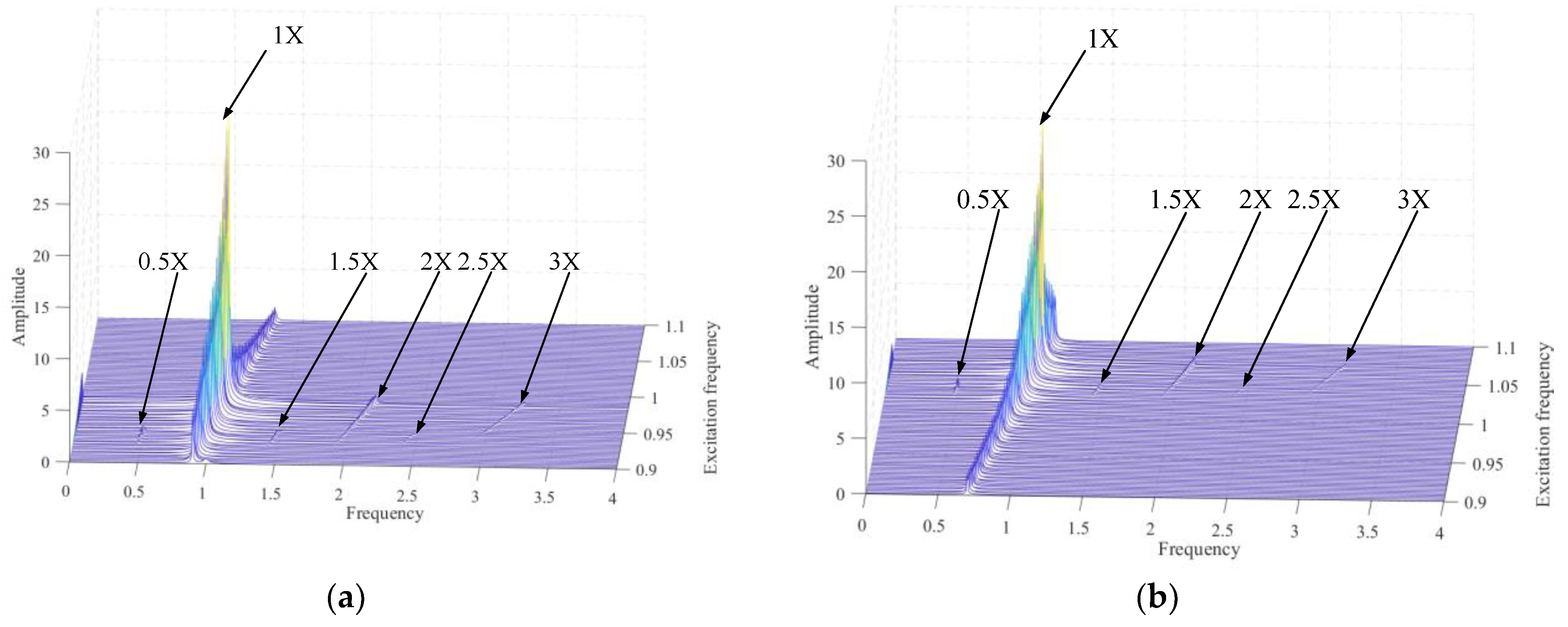
3.2. Stability and Frequency Components
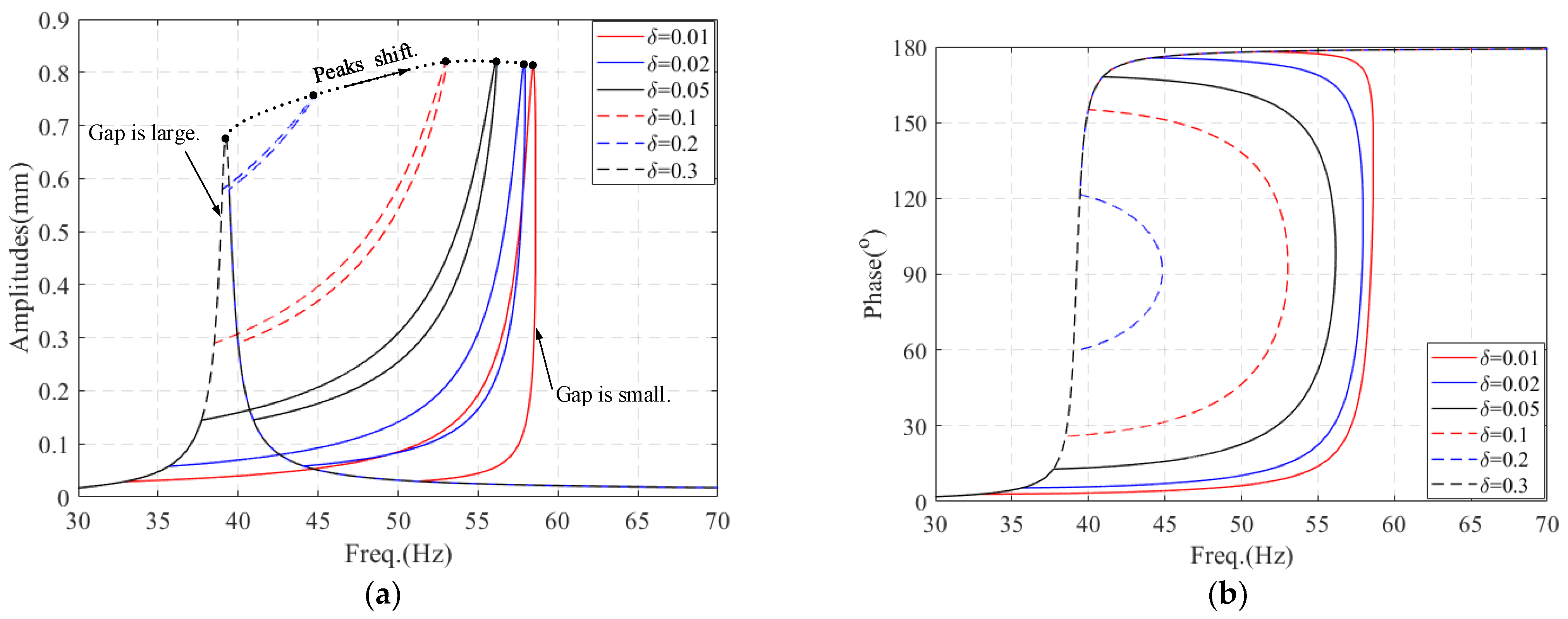
3.3. Sweep Frequency Response
3.4. Vibration Suppression
4. Application to a Flexible Rotor
4.1. Model of the Rotor
4.2. Amplitude–Frequency Characteristics
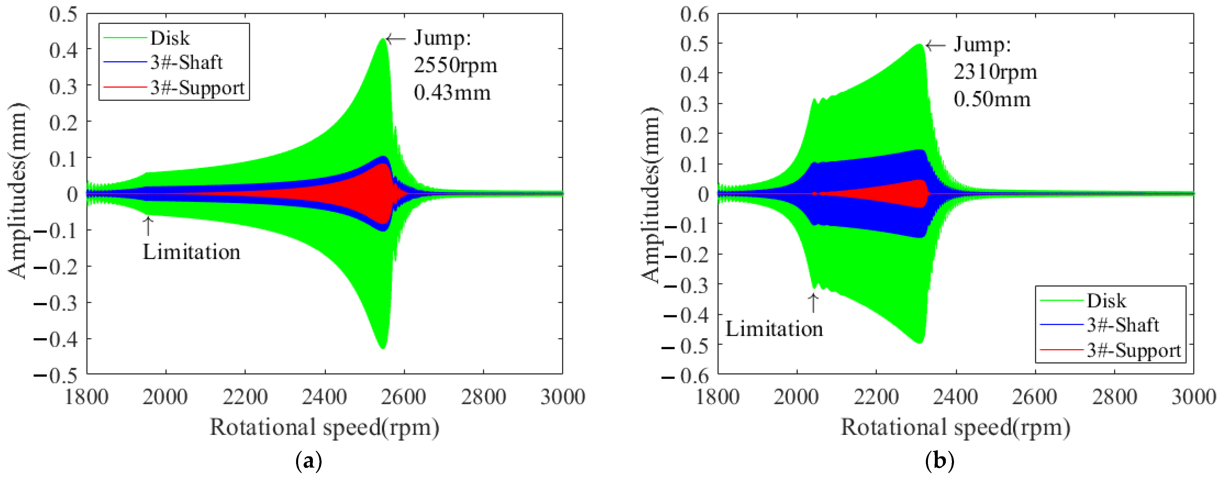
4.3. Vibration Suppression
5. Conclusions
- (1)
- As for the frequency amplitude response, the amplitude–frequency curve of a system with an elastic stop is similar to the system with a hardening spring showing the resonance peak bending to the right. As for the “bending” curves, the periodic solution is unstable, and there can be more than one steady-state response for a given excitation frequency, and jumps occur in the process of speed-up and speed-down. In engineering, it is important to be concerned about the jumping phenomenon in a system with gaps.
- (2)
- When the gap becomes small gradually, the resonance peak shifts from a low frequency to a high frequency, and the amplitude of the resonance peaks decreases. Thus, it is feasible to use an elastic stop for suppressing vibration in practical applications. However, the stiffness of the elastic stop will influence the efficiency of suppression, and the characteristics of the elastic stop should be designed properly.
- (3)
- In addition, at the unstable point, the frequency spectrum includes 0.5X, (n + 0.5)X and nX, in addition to the fundamental frequency 1X; and investigating frequency components is an effective method for detecting vibration faults induced by gaps.
- (4)
- The amplitudes of super-harmonic components are relatively smaller compared with the fundamental frequency, and are less than 10%. Moreover, the relative amplitudes of high-order components are larger when the gap is smaller. Thus, in most cases of engineering problems, it will be useful to focus on the fundamental frequency component if excess vibration occurs and vibration suppression is required.
- (5)
- The application of the elastic stop to a specific rotor support system is investigated. A new pedestal loosening rotor with an overhanging disk and three supports is promoted and investigated. The dynamic responses of the rotor with an elastic stop are similar to that of the two-Dof model with piecewise linear functions. In the meantime, the feasibility of vibration suppression of a flexible rotor by using an elastic stop has been verified in this paper.
Author Contributions
Funding
Institutional Review Board Statement
Informed Consent Statement
Conflicts of Interest
Appendix A
Appendix B

References
- Thompson, J.; Ghaffari, R. Chaos after period-doubling bifurcations in the resonance of an impact oscillator. Phys. Lett. A 1982, 91, 5–8. [Google Scholar] [CrossRef]
- Thompson, J.M.T. Complex dynamics of compliant off-shore structure. Proc. Proc. R. Soc. Lond. Math. Phys. Sci. F 1983, 50, 849–857. [Google Scholar]
- Shaw, S.; Holmes, P. A periodically forced impact oscillator with large dissipation. J. Appl. Mech. 1983, 50, 849–857. [Google Scholar] [CrossRef]
- Shaw, S.W.; Holmes, P. A periodically forced piecewise linear oscillator. J. Sound Vib. 1983, 90, 129–155. [Google Scholar] [CrossRef]
- Hindmarsh, M.; Jefferies, D. On the motions of the offset impact oscillator. J. Phys. A Math. Gen. 1984, 17, 1791–1804. [Google Scholar] [CrossRef]
- Peterka, F. Dynamics of oscillator with soft impacts. Int. Des. Eng. Tech. Conf. Comput. Inf. Eng. Conf. 2001, 80296, 2639–2645. [Google Scholar]
- Bapat, C. Exact solution of stable periodic one contact per N cycles motion of a damped linear oscillator contacting a unilateral elastic stop. J. Sound Vib. 2008, 314, 803–820. [Google Scholar] [CrossRef]
- Kong, X.; Sun, W.; Wang, B.; Wen, B. Dynamic and stability analysis of the linear guide with time-varying, piecewise-nonlinear stiffness by multi-term incremental harmonic balance method. J. Sound Vib. 2015, 346, 265–283. [Google Scholar] [CrossRef]
- Wang, S.; Hua, L.; Yang, C.; Han, X.; Su, Z. Applications of incremental harmonic balance method combined with equivalent piecewise linearization on vibrations of nonlinear stiffness systems. J. Sound Vib. 2019, 441, 111–125. [Google Scholar] [CrossRef]
- Aidanpää, J.-O.; Gupta, R. Periodic and chaotic behaviour of a threshold-limited two-degree-of-freedom system. J. Sound Vib. 1993, 165, 305–327. [Google Scholar] [CrossRef]
- Natsiavas, S. Dynamics of multiple-degree-of-freedom oscillators with colliding components. J. Sound Vib. 1993, 165, 439–453. [Google Scholar] [CrossRef]
- Luo, G.-W.; Xie, J.-H. Hopf bifurcation of a two-degree-of-freedom vibro-impact system. J. Sound Vib. 1998, 213, 391–408. [Google Scholar] [CrossRef]
- Valente, A.X.C.; Mcclamroch, N.; Mezić, I. Hybrid dynamics of two coupled oscillators that can impact a fixed stop. Int. J. Non-Linear Mech. 2003, 38, 677–689. [Google Scholar]
- Pascal, M. Analytical Investigation of the Dynamics of a Nonlinear Structure with Two Degree of Freedom. In Proceedings of the International Design Engineering Technical Conferences and Computers and Information in Engineering Conference, F, Long Beach, CA, USA, 24–28 September 2005; pp. 1959–1967. [Google Scholar]
- Pascal, M. Dynamics and stability of a two degree of freedom oscillator with an elastic stop. J. Comput. Nonlinear Dyn. 2006, 1, 94–102. [Google Scholar] [CrossRef]
- Brake, M.R. A hybrid approach for the modal analysis of continuous systems with discrete piecewise-linear constraints. J. Sound Vib. 2011, 330, 3196–3221. [Google Scholar] [CrossRef]
- Li, X.; Liu, K.; Xiong, L.; Tang, L. Development and validation of a piecewise linear nonlinear energy sink for vibration suppression and energy harvesting. J. Sound Vib. 2021, 503, 116104. [Google Scholar] [CrossRef]
- Ing, J.; Pavlovskaia, E.; Wiercigroch, M.; Banerjee, S. Bifurcation analysis of an impact oscillator with a one-sided elastic constraint near grazing. Phys. D Nonlinear Phenom. 2010, 239, 312–321. [Google Scholar] [CrossRef]
- Bureau, E.; Schilder, F.; Elmegård, M.; Santos, I.F.; Thomsen, J.J.; Starke, J. Experimental bifurcation analysis of an impact oscillator—Determining stability. J. Sound Vib. 2014, 333, 5464–5474. [Google Scholar] [CrossRef]
- Tan, J.; Michael Ho, S.C.; Zhang, P.; Jiang, J. Experimental study on vibration control of suspended piping system by single-sided pounding tuned mass damper. Appl. Sci. 2019, 9, 285. [Google Scholar] [CrossRef]
- Yoon, J.Y.; Kim, B. Vibro-impact energy analysis of a geared system with piecewise-type nonlinearities using various parameter values. Energies 2015, 8, 8924–8944. [Google Scholar] [CrossRef]
- Pei, L.; Chong, A.S.; Pavlovskaia, E.; Wiercigroch, M. Computation of periodic orbits for piecewise linear oscillator by Harmonic Balance Methods. Commun. Nonlinear Sci. Numer. Simul. 2022, 108, 106220. [Google Scholar] [CrossRef]
- Amer, T.S.; Starosta, R.; Almahalawy, A.; Elameer, A.S. The stability analysis of a vibrating auto-parametric dynamical system near resonance. Appl. Sci. 2022, 12, 1737. [Google Scholar] [CrossRef]
- Abdelhfeez, S.A.; Amer, T.S.; Elbaz, R.F.; Bek, M.A. Studying the influence of external torques on the dynamical motion and the stability of a 3DOF dynamic system. Alex. Eng. J. 2022, 61, 6695–6724. [Google Scholar] [CrossRef]
- Goldman, P.; Muszynska, A. Analytical and experimental simulation of loose pedestal dynamic effects on a rotating machine vibrational response. In Proceedings of the International Design Engineering Technical Conferences and Computers and Information in Engineering Conference, F; American Society of Mechanical Engineers: New York, NY, USA, 1991; pp. 11–17. [Google Scholar]
- Muszynska, A.; Goldman, P. Chaotic responses of unbalanced rotor/bearing/stator systems with looseness or rubs. Chaos Solitons Fractals 1995, 5, 1683–1704. [Google Scholar] [CrossRef]
- Chu, F.; Tang, Y. Stability and non-linear responses of a rotor-bearing system with pedestal looseness. J. Sound Vib. 2001, 241, 879–893. [Google Scholar] [CrossRef]
- Lu, W.X.; Chu, F.L. Experimental investigation of pedestal looseness in a rotor-bearing system. In Proceedings of the Key Engineering Materials, F; Trans Tech Publications: Zürich, Switzerland, 2009; pp. 599–605. [Google Scholar]
- Ma, H.; Zhao, X.; Teng, Y.; Wen, B. Analysis of dynamic characteristics for a rotor system with pedestal looseness. Shock Vib. 2011, 18, 13–27. [Google Scholar] [CrossRef]
- Lu, K.; Jin, Y.; Chen, Y.; Cao, Q.; Zhang, Z. Stability analysis of reduced rotor pedestal looseness fault model. Nonlinear Dyn. 2015, 82, 1611–1622. [Google Scholar] [CrossRef]
- Wang, H.; Chen, G. Certain type turbofan engine whole vibration model with support looseness fault and casing response characteristics. Shock Vib. 2014, 2014, 683469. [Google Scholar] [CrossRef]
- Chen, G. Vibration modelling and verifications for whole aero-engine. J. Sound Vib. 2015, 349, 163–176. [Google Scholar] [CrossRef]
- Chen, G.; Qu, M. Modeling and analysis of fit clearance between rolling bearing outer ring and housing. J. Sound Vib. 2019, 438, 419–440. [Google Scholar] [CrossRef]
- Wang, H.; Guan, X.; Chen, G.; Gong, J.; Yu, L.; Yuan, S.; Zhu, Z. Characteristics analysis of rotor-rolling bearing coupled system with fit looseness fault and its verification. J. Mech. Sci. Technol. 2019, 33, 29–40. [Google Scholar] [CrossRef]
- Cameron, T.M.; Jerry, H.G. An alternating frequency/time domain method for calculating the steady-state response of nonlinear dynamic systems. J. Appl. Mech. 1989, 56, 149–154. [Google Scholar] [CrossRef]
- Kim, Y.; Noah, S. Stability and bifurcation analysis of oscillators with piecewise-linear characteristics: A general approach. J. Appl. Mech. 1991, 58, 545–553. [Google Scholar] [CrossRef]

























Publisher’s Note: MDPI stays neutral with regard to jurisdictional claims in published maps and institutional affiliations. |
© 2022 by the authors. Licensee MDPI, Basel, Switzerland. This article is an open access article distributed under the terms and conditions of the Creative Commons Attribution (CC BY) license (https://creativecommons.org/licenses/by/4.0/).
Share and Cite
Hong, J.; Jiang, L.; Wang, Y.; Su, Z.; Ma, Y. Nonlinear Dynamics of an Elastic Stop System and Its Application in a Rotor System. Appl. Sci. 2022, 12, 5103. https://doi.org/10.3390/app12105103
Hong J, Jiang L, Wang Y, Su Z, Ma Y. Nonlinear Dynamics of an Elastic Stop System and Its Application in a Rotor System. Applied Sciences. 2022; 12(10):5103. https://doi.org/10.3390/app12105103
Chicago/Turabian StyleHong, Jie, Liming Jiang, Yongfeng Wang, Zhimin Su, and Yanhong Ma. 2022. "Nonlinear Dynamics of an Elastic Stop System and Its Application in a Rotor System" Applied Sciences 12, no. 10: 5103. https://doi.org/10.3390/app12105103
APA StyleHong, J., Jiang, L., Wang, Y., Su, Z., & Ma, Y. (2022). Nonlinear Dynamics of an Elastic Stop System and Its Application in a Rotor System. Applied Sciences, 12(10), 5103. https://doi.org/10.3390/app12105103

