ORC Optimal Design through Clusterization for Waste Heat Recovery in Anaerobic Digestion Plants
Abstract
1. Introduction
- a set of representative boundary conditions is selected for the design optimization problem through clusterization.
- The design optimization problem is solved with a standard approach: the ORC power output is maximized for the given set of boundary conditions. As a previous study demonstrated, this may be efficiently and reliably done with general-purpose solvers [28].
2. Case Study
2.1. Reference Layout
- Exhaust gases temperature.
- Exhaust gases composition, assumed to be constant over time (0.038% CO2, 0.020% H2O, 0.190% O2, and 0.752% N2).
- Thermal power required by incoming sewage to keep the optimal temperature in the reactors.
2.2. Modified Layout
3. Methodology
3.1. Preliminary Design
3.1.1. Definition of Design Boundary Conditions
- ▪
- Clusters 1 and 2 represent the operating conditions with comparatively high (i.e., over the average value), comparatively low (i.e., under the average values), and high (Cluster 1) or low (Cluster 2).
- ▪
- Clusters 3 and 4 are somewhat the opposite. They represent the operating conditions with comparatively low (i.e., under the average value), comparatively high (i.e., over the average values), and high (Cluster 3) or low (Cluster 4).
3.1.2. Design Optimization Problem
- ORC evaporation temperature Tev,orc in °C.
- ORC condensation temperature Tcd,orc in °C.
- ORC superheating degree ΔTsh,orc in °C.
- Thermal oil temperature entering the ORC evaporator Tloop,1 in °C.
- Thermal oil temperature exiting the ORC evaporator Tloop,2 in °C.
- Thermal oil mass flow rate in kg/s.
- ηis,pump,loop is the oil circulation pump isentropic efficiency (ηis,pump,loop = 0.7).
- Δploss,i is the estimation of the pressure losses in each i-th exchanger of the loop (10 kPa).
- ρloop is the thermal oil density at the pump inlet.
- The requirement of considering the pumping power is more related to the solver numerical behavior than to the system actual physics. The optimization algorithm may consider as equivalent two solutions that are only very similar. To help it to differentiate between them and since the threshold used to distinguish between the solutions is a very small number, it is sufficient to include the pumping power in the calculations to consistently achieve the same optimum every time, for the same set of boundary conditions. However, despite the significance for the optimization algorithm, the selection of the pressure drop value can be quite arbitrary due to its impact on performance being almost negligible.
- ΔTloop,min is the minimum achievable temperature drop of thermal oil across the ORC evaporator.
- Tsew,out is the sewage temperature at the outlet of the sewage heating heat exchanger, set at 37.2 °C to consider the thermal losses before entering the digester.
- χexp,out is the vapor quality at the end of the expansion.
- ΔTreg,min is the minimum temperature difference between the temperature at the end of the regeneration T4r,orc and ORC condensation temperature Tcd,orc.
- T2,orc and T2r,orc are the inlet and outlet temperatures on the regenerator cold side (evaporation pressure), respectively, while T4,orc and T4r,orc are the inlet and outlet temperatures on the regenerator hot side (condensation pressure), respectively.
- is the oil temperature at the beginning of organic fluid evaporation (thermal oil temperature at evaporator pinch point).
- is the cooling water temperature at the beginning of the organic fluid condensation (thermal oil temperature at the condenser pinch point).
- Tloop,5 is the thermal oil temperature at the circulation pump outlet.
- Tloop,3 is the thermal oil temperature entering the air cooler. Under design conditions it is equal to Tloop,4 (i.e., the temperature of the oil exiting from the air cooler).
- Tsew,in is the sewage temperature at the inlet of the sewage heating heat exchanger set at 37 °C, which is the digestion process’s nominal temperature.
3.1.3. Preliminary Design Results
3.2. Off-Design
3.2.1. Turbine Off-Design Analysis
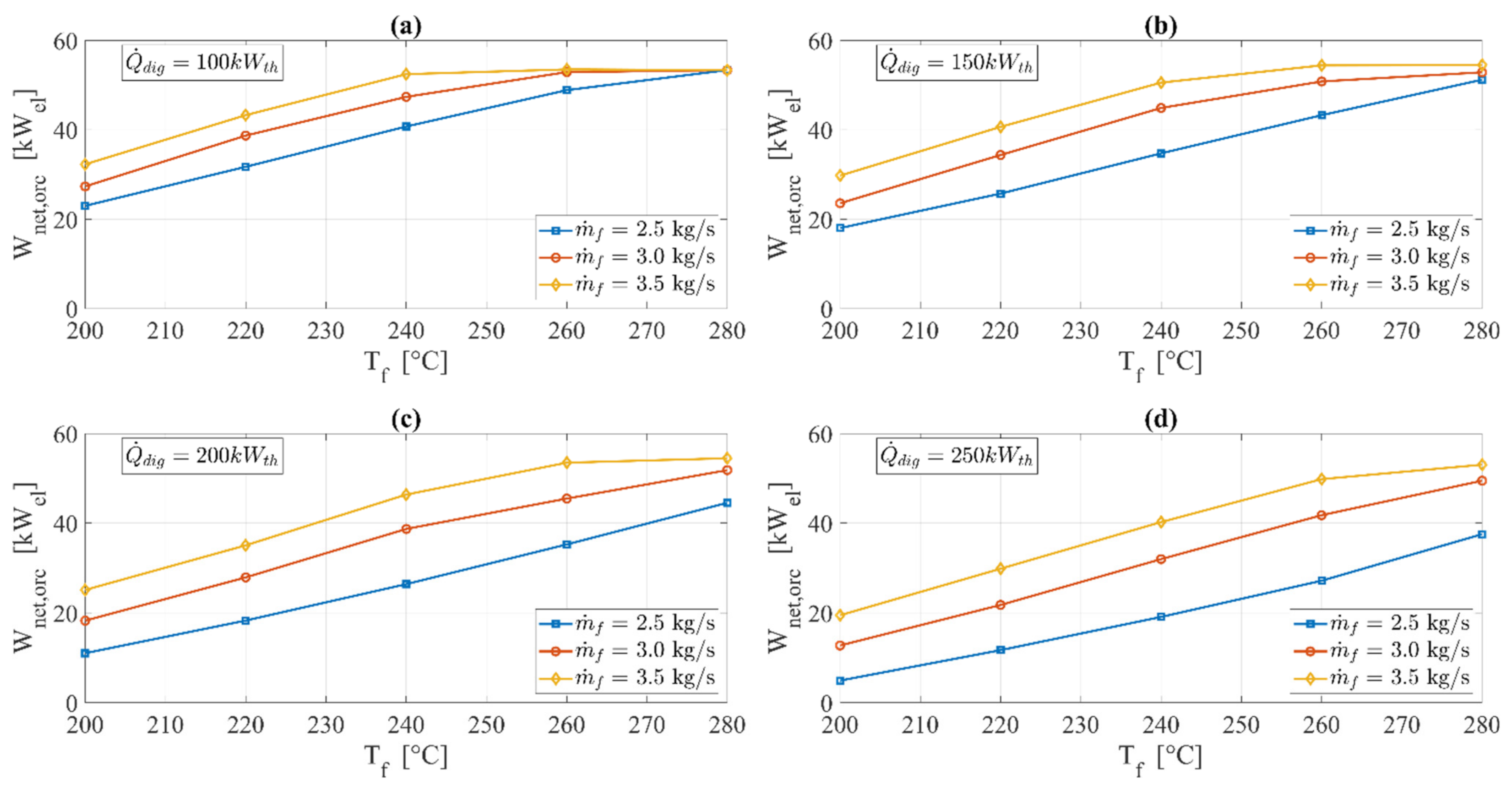
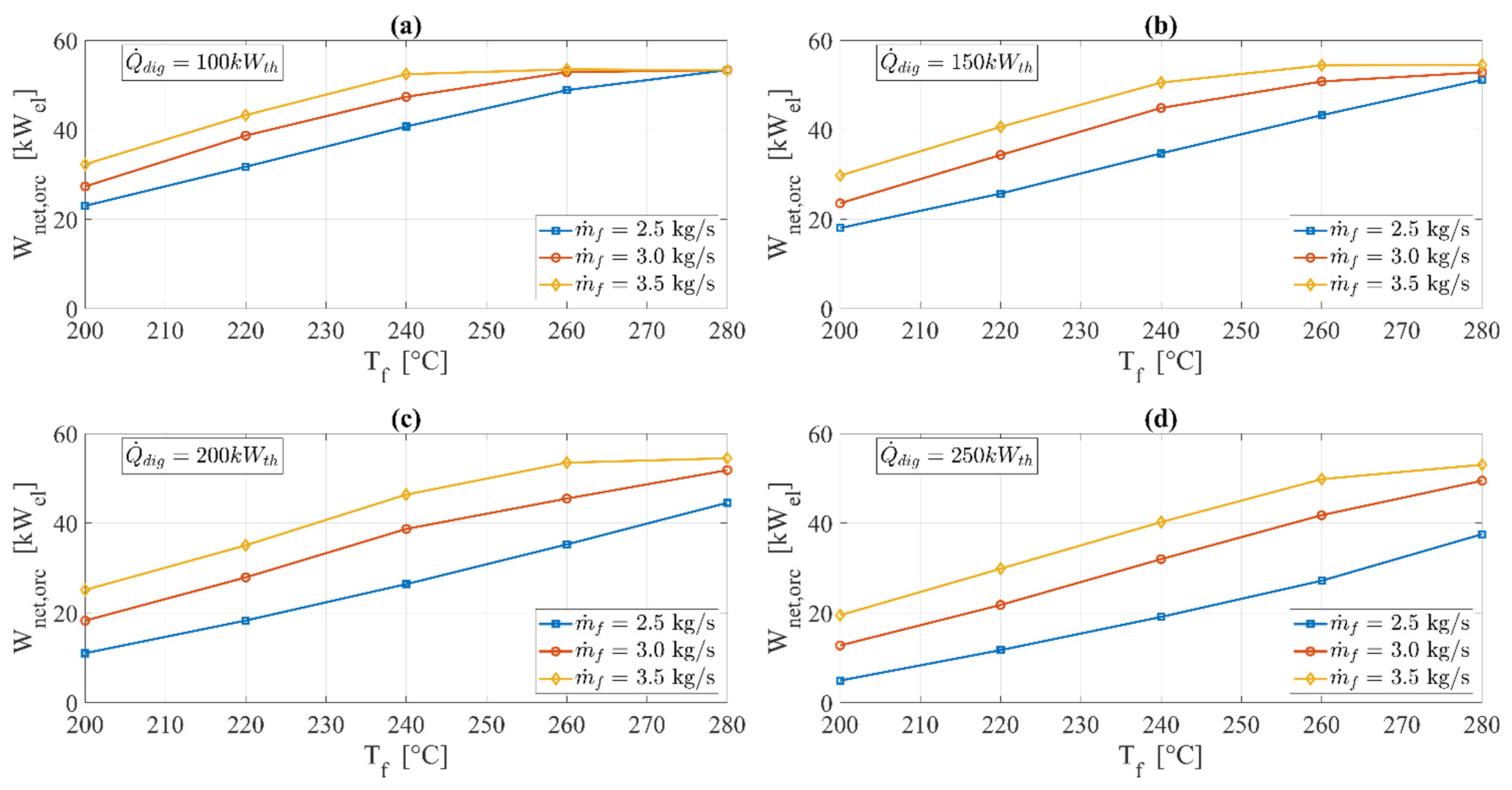
3.2.2. Off-Design Analysis Results
4. Results
4.1. Annual Production
4.2. Comparison with Alternative Designs
5. Conclusions
Author Contributions
Funding
Institutional Review Board Statement
Informed Consent Statement
Conflicts of Interest
References
- Lillo, P.; Ferrer-Martí, L.; Fernández-Baldor, Á.; Ramírez, B. A new integral management model and evaluation method to enhance sustainability of renewable energy projects for energy and sanitation services. Energy Sustain. Dev. 2015, 29, 1–12. [Google Scholar] [CrossRef]
- Pasini, G.; Baccioli, A.; Ferrari, L.; Antonelli, M.; Frigo, S.; Desideri, U. Biomethane grid injection or biomethane liquefaction: A technical-economic analysis. Biomass Bioenergy 2019, 127, 105264. [Google Scholar] [CrossRef]
- Abad, V.; Avila, R.; Vicent, T.; Font, X. Promoting circular economy in the surroundings of an organic fraction of municipal solid waste anaerobic digestion treatment plant: Biogas production impact and economic factors. Bioresour. Technol. 2019, 283, 10–17. [Google Scholar] [CrossRef]
- Aguilar, M.C.; Wang, Y.D.; Roskilly, T.; Pathare, P.B.; Lamidi, R.O. Biogas from anaerobic co-digestion of food waste and primary sludge for cogeneration of power and heat. Energy Procedia 2017, 142, 70–76. [Google Scholar] [CrossRef]
- Hijazi, O.; Tappen, S.; Effenberger, M. Environmental impacts concerning flexible power generation in a biogas production. Carbon Resour. Convers. 2019, 2, 117–125. [Google Scholar] [CrossRef]
- Micro Gas Turbines AET100. Available online: https://www.ansaldoenergia.com/business-lines/new-units/microturbines (accessed on 21 June 2019).
- Jabari, F.; Mohammadi-ivatloo, B.; Ghaebi, H.; Bannae-sharifian, M.-B. Biogas fueled combined cooling, desalinated water and power generation systems. J. Clean. Prod. 2019, 219, 906–924. [Google Scholar] [CrossRef]
- Bruno, J.C.; Ortega-López, V.; Coronas, A. Integration of absorption cooling systems into micro gas turbine trigeneration systems using biogas: Case study of a sewage treatment plant. Appl. Energy 2009, 86, 837–847. [Google Scholar] [CrossRef]
- Caposciutti, G.; Baccioli, A.; Ferrari, L.; Desideri, U. Impact of ambient temperature on the effectiveness of inlet air cooling in a co-digestion biogas plant equipped with a mGT. Energy Convers. Manag. 2020, 216, 112874. [Google Scholar] [CrossRef]
- Caposciutti, G.; Baccioli, A.; Ferrari, L.; Desideri, U. Biogas from anaerobic digestion: Power generation or biomethane production? Energies 2020, 13, 743. [Google Scholar] [CrossRef]
- Baccioli, A.; Ferrari, L.; Pecorini, I.; Marchionni, A.; Susini, C.; Desderi, U. Feasibility analysis of a biogas-fuelled trigeneration plant operating with a mGT. In Proceedings of the ECOS 2018, Guimarães, Portugal, 17–21 June 2018. [Google Scholar]
- Larsen, U.; Pierobon, L.; Haglind, F.; Gabrielii, C. Design and optimisation of organic Rankine cycles for waste heat recovery in marine applications using the principles of natural selection. Energy 2013, 55, 803–812. [Google Scholar] [CrossRef]
- Hoang, A.T. Waste heat recovery from diesel engines based on Organic Rankine Cycle. Appl. Energy 2018, 231, 138–166. [Google Scholar] [CrossRef]
- Jiménez-Arreola, M.; Wieland, C.; Romagnoli, A. Dynamic response comparison of direct and indirect evaporation options in ORC systems for waste heat recovery. Energy Procedia 2019, 158, 1606–1612. [Google Scholar] [CrossRef]
- TURBODEN-ORC Systems, Gas Expander and Large Heat Pump. Available online: https://www.turboden.com/ (accessed on 8 March 2021).
- Moduli ORC Serie ULH-Zuccato Energia. Available online: https://www.zuccatoenergia.it/it/prodotti/serie-ulh (accessed on 22 January 2019).
- IT50 System Plans-Infinity Turbine LLC. Available online: https://infinityturbine.com/it50-system-plans/ (accessed on 22 January 2019).
- Baccioli, A.; Ferrari, L.; Vizza, F.; Desideri, U. Feasibility analysis of coupling an ORC to a mGT in a biogas plant. Energy Procedia 2019, 158, 2311–2316. [Google Scholar] [CrossRef]
- Baccioli, A.; Ferrari, L.; Vizza, F.; Desideri, U. Potential energy recovery by integrating an ORC in a biogas plant. Appl. Energy 2019, 256, 113960. [Google Scholar] [CrossRef]
- Dumont, O.; Dickes, R.; De Rosa, M.; Douglas, R.; Lemort, V. Technical and economic optimization of subcritical, wet expansion and transcritical Organic Rankine Cycle (ORC) systems coupled with a biogas power plant. Energy Convers. Manag. 2018, 157, 294–306. [Google Scholar] [CrossRef]
- Mudasar, R.; Aziz, F.; Kim, M.-H. Thermodynamic analysis of organic Rankine cycle used for flue gases from biogas combustion. Energy Convers. Manag. 2017, 153, 627–640. [Google Scholar] [CrossRef]
- Benato, A.; Macor, A. Biogas Engine Waste Heat Recovery Using Organic Rankine Cycle. Energies 2017, 10, 327. [Google Scholar] [CrossRef]
- Sevinchan, E.; Dincer, I.; Lang, H. Energy and exergy analyses of a biogas driven multigenerational system. Energy 2019, 166, 715–723. [Google Scholar] [CrossRef]
- Hosseini, S.E.; Barzegaravval, H.; Wahid, M.A.; Ganjehkaviri, A.; Sies, M.M. Thermodynamic assessment of integrated biogas-based micro-power generation system. Energy Convers. Manag. 2016, 128, 104–119. [Google Scholar] [CrossRef]
- Linnemann, M.; Priebe, K.-P.; Herres, G.; Wolff, C.; Vrabec, J. Design and test of a multi-coil helical evaporator for a high temperature organic Rankine cycle plant driven by biogas waste heat. Energy Convers. Manag. 2019, 195, 1402–1414. [Google Scholar] [CrossRef]
- Baccioli, A.; Ferrari, L.; Guiller, R.; Yousfi, O.; Vizza, F.; Desideri, U. Feasibility analysis of bio-methane production in a biogas plant: A case study. Energies 2019, 12, 473. [Google Scholar] [CrossRef]
- Sung, T.; Kim, S.; Kim, K.C. Thermoeconomic analysis of a biogas-fueled micro-gas turbine with a bottoming organic Rankine cycle for a sewage sludge and food waste treatment plant in the Republic of Korea. Appl. Therm. Eng. 2017, 127, 963–974. [Google Scholar] [CrossRef]
- Frate, G.F.; Ferrari, L.; Desideri, U. Multi-criteria investigation of a pumped thermal electricity storage (PTES) system with thermal integration and sensible heat storage. Energy Convers. Manag. 2020, 208, 112530. [Google Scholar] [CrossRef]
- Capstone Turbine Corporation CR600 600 kW Power Package: Renewable Fuels. Available online: http://www.tai-cepc.ro/fileadmin/download/pdf/LeafleatsCapstone%26Calnetix/CR600biogas.pdf (accessed on 20 January 2020).
- European Commission Photovoltaic Geographycal Information System. Available online: https://re.jrc.ec.europa.eu/pvg_tools/en/tools.html#TMY (accessed on 15 January 2020).
- Therminol 66 Web Page. Available online: https://www.therminol.com/products/Therminol-66 (accessed on 1 July 2017).
- Luján, J.M.; Serrano, J.R.; Dolz, V.; Sánchez, J. Model of the expansion process for R245fa in an Organic Rankine Cycle (ORC). Appl. Therm. Eng. 2012, 40, 248–257. [Google Scholar] [CrossRef]
- Kim, I.S.; Kim, T.S.; Lee, J.J. Off-design performance analysis of organic Rankine cycle using real operation data from a heat source plant. Energy Convers. Manag. 2017, 133, 284–291. [Google Scholar] [CrossRef]
- Bell, I.H. R245fa Coolprop Web Page. Available online: http://www.coolprop.org/fluid_properties/fluids/R245fa.html (accessed on 1 July 2019).
- MathWorks K-Means Algorithm Web Page. Available online: https://it.mathworks.com/help/stats/kmeans.html (accessed on 2 July 2019).
- Lloyd, S. Least squares quantization in PCM. IEEE Trans. Inf. Theory 1982, 28, 129–137. [Google Scholar] [CrossRef]
- Kaufman, L.; Rousseeuw, P.J. Finding Groups in Data: An Introduction to Cluster Analysis; Wiley: Hoboken, NJ, USA, 1990. [Google Scholar]
- Bell, I.H.; Wronski, J.; Quoilin, S.; Lemort, V. Pure andPseudo-pure Fluid Thermophysical Property Evaluation and the Open-SourceThermophysical Property Library CoolProp. Ind. Eng. Chem. Res. 2014, 53, 2498–2508. [Google Scholar] [CrossRef]
- MathWorks Constrained Nonlinear Optimization Algorithms. Available online: https://it.mathworks.com/help/optim/ug/constrained-nonlinear-optimization-algorithms.html#f26684 (accessed on 21 August 2019).
- Nocedal, J.; Wright, S.J. Numerical Optimization, 2nd ed.; Springer: New York, NY, USA, 2006. [Google Scholar]
- MathWorks GlobalSearch Web Page GlobalSearch Web Page. Available online: https://it.mathworks.com/help/gads/globalsearch.html (accessed on 3 July 2019).
- Ugray, Z.; Lasdon, L.; Plummer, J.; Glover, F.; Kelly, J.; Martí, R. Scatter Search and Local NLP Solvers: A Multistart Framework for Global Optimization. Inf. J. Comput. 2007, 19, 328–340. [Google Scholar] [CrossRef]
- Aspen HTFS Research Network|AspenTech. Available online: https://www.aspentech.com/en/products/pages/aspen-htfs-research-network (accessed on 8 March 2021).
- Cooke, D.H. On Prediction of Off-Design Multistage Turbine Pressures by Stodola’s Ellipse. J. Eng. Gas Turbines Power 1985, 107, 596–606. [Google Scholar] [CrossRef]
- Manente, G.; Toffolo, A.; Lazzaretto, A.; Paci, M. An Organic Rankine Cycle off-design model for the search of the optimal control strategy. Energy 2013, 58, 97–106. [Google Scholar] [CrossRef]










| Fluid | pcrit [bar] | Tcrit [°C] | MW [g/mol] | ODP | GWP | ASHRAE Safety |
|---|---|---|---|---|---|---|
| R245fa | 36.51 | 153.86 | 134.05 | 0 | 1030 | B1 |
| Cluster | [kW] | [kg/s] | Tf [°C] | Population [%] |
|---|---|---|---|---|
| 1 | 166 | 3.30 | 239 | 24.5 |
| 2 | 176 | 2.82 | 245 | 20.6 |
| 3 | 135 | 3.35 | 250 | 32.1 |
| 4 | 151 | 2.80 | 256 | 22.8 |
| Average | 155 | 3.09 | 248 | - |
| Summer | 119 | 3.21 | 256 | - |
| Winter | 190 | 2.86 | 238 | - |
| Variable | Description | Value |
|---|---|---|
| Tev,orc | ORC evaporation temperature [°C] | 143.9 |
| Tcd,orc | ORC condensation temperature [°C] | 34.3 |
| ΔTsh,orc | ORC superheating degree [°C] | 18.0 |
| Tloop,1 | Thermal oil temperature entering the ORC evaporator [°C] | 197.3 |
| Tloop,2 | Thermal oil temperature exiting the ORC evaporator [°C] | 106.7 |
| Thermal oil mass flow rate [kg/s] | 2.0 | |
| ORC net power output [kW] | 57.8 |
| Parameter | ηtot [–] | Δη [%] | ηyear,orc [%] | Eyear,orc [MWh] | heq,orc [h/y] | Worc,ave |
|---|---|---|---|---|---|---|
| Value: | 36.6 | 10.6 | 8.0 | 397.8 | 6894.7 | 45.4 |
| Cluster | Cluster 1 | Cluster 2 | Cluster 3 | Cluster 4 | Average | Winter | Summer |
|---|---|---|---|---|---|---|---|
| ηtot [–] | 36.3 | 35.8 | 36.6 | 36.2 | 36.3 | 35.5 | 36.6 |
| Δη [%] | 9.8 | 8.0 | 10.6 | 9.2 | 9.7 | 7.2 | 10.4 |
| ηyear,orc [–] | 7.3 | 6.0 | 8.0 | 6.9 | 7.3 | 5.4 | 7.8 |
| Eyear,orc [MWh/y] | 366 | 301 | 398 | 345 | 365 | 271 | 390 |
| heq,orc [h/y] | 7671 | 8151 | 6895 | 7807 | 7753 | 8231 | 6595 |
| Worc,ave | 41.8 | 34.3 | 45.4 | 39.4 | 41.7 | 31.0 | 44.6 |
| Worc,nom | 47.7 | 36.9 | 57.7 | 44.2 | 47.1 | 32.9 | 59.2 |
| CL population [%] | 24.5 | 20.6 | 32.1 | 22.8 | - | - | - |
Publisher’s Note: MDPI stays neutral with regard to jurisdictional claims in published maps and institutional affiliations. |
© 2021 by the authors. Licensee MDPI, Basel, Switzerland. This article is an open access article distributed under the terms and conditions of the Creative Commons Attribution (CC BY) license (http://creativecommons.org/licenses/by/4.0/).
Share and Cite
Frate, G.F.; Baccioli, A.; Lucchesi, E.; Ferrari, L. ORC Optimal Design through Clusterization for Waste Heat Recovery in Anaerobic Digestion Plants. Appl. Sci. 2021, 11, 2762. https://doi.org/10.3390/app11062762
Frate GF, Baccioli A, Lucchesi E, Ferrari L. ORC Optimal Design through Clusterization for Waste Heat Recovery in Anaerobic Digestion Plants. Applied Sciences. 2021; 11(6):2762. https://doi.org/10.3390/app11062762
Chicago/Turabian StyleFrate, Guido Francesco, Andrea Baccioli, Elena Lucchesi, and Lorenzo Ferrari. 2021. "ORC Optimal Design through Clusterization for Waste Heat Recovery in Anaerobic Digestion Plants" Applied Sciences 11, no. 6: 2762. https://doi.org/10.3390/app11062762
APA StyleFrate, G. F., Baccioli, A., Lucchesi, E., & Ferrari, L. (2021). ORC Optimal Design through Clusterization for Waste Heat Recovery in Anaerobic Digestion Plants. Applied Sciences, 11(6), 2762. https://doi.org/10.3390/app11062762

