Advances in Material Wide Range Temperature Determination by Dual-Color Emissivity Free Methodology in Long-Mid-near Infrared Ranges at Non-stationary Conditions
Abstract
1. Introduction
2. Dual-Color Theory
3. Materials and Method
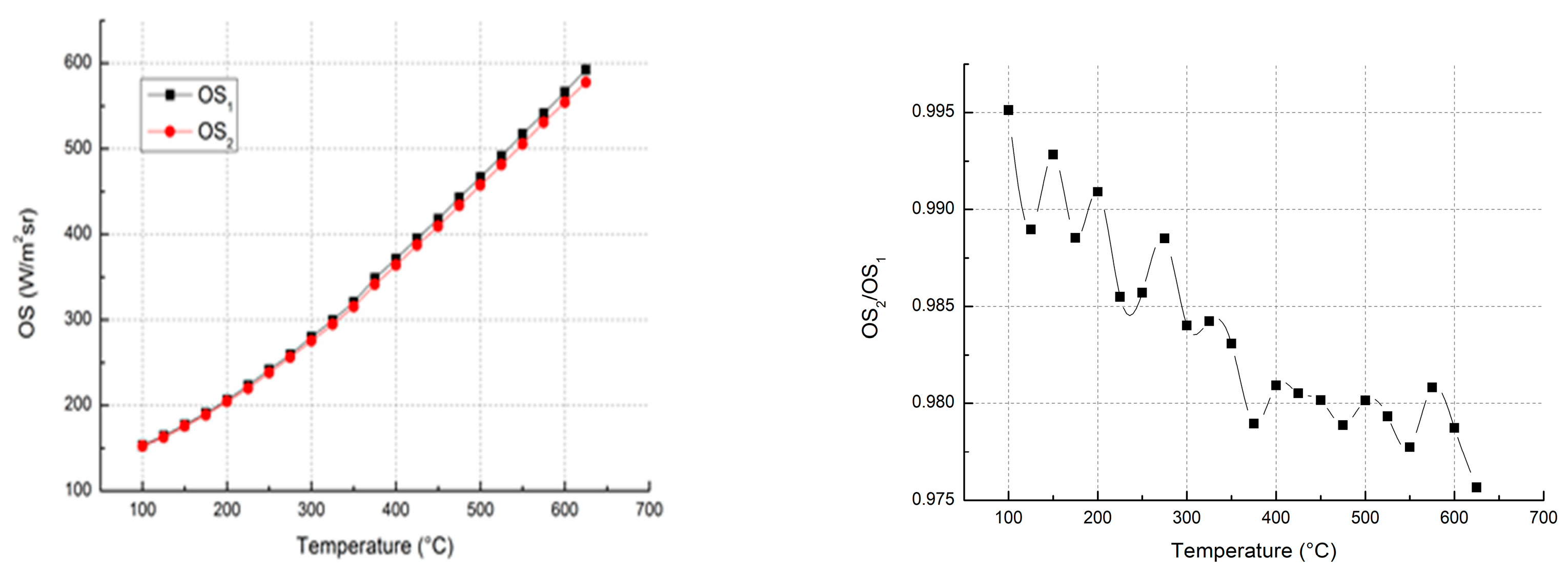
3.1. Long Wavelength Range Analysis: Experimental Results
3.2. Medium Wavelength Range Analysis: Experimental Results
3.3. Near-Medium Infrared Wavelength Analysis: Theoretical Results
3.4. Hypersonic Test Temperature Trend and Feasibility Study
4. Results and Conclusions
Author Contributions
Funding
Institutional Review Board Statement
Informed Consent Statement
Data Availability Statement
Acknowledgments
Conflicts of Interest
References
- Maldague, X.P. Theory and pracTice of Infrared Technology for Non-Destructive Testing; Wiley: Hoboken, NJ, USA, 2001; pp. 1–704. [Google Scholar]
- Savino, L.; Martucci, A.; Del Vecchio, A.; De Cesare, M. A novel physics methodology based on compact emission spectroscopy in the VNIR (0.4–0.9 μm) ranges for plasma shock layer/material temperature determinations and surface emissivity evaluations in the VNIR—LWIR (7–14 μm) ranges during atmospheric re-entry by PWT facility. Infrared Phys. Technol. 2020, 108, 103353. [Google Scholar]
- Machin, G.; Anhalt, K.; Battuello, M.; Bourson, F.; Dekker, P.; Diril, A.; Edler, F.; Elliott, C.J.; Girard, F.; Greenen, A.; et al. The European project on high temperature measurement solutions in industry (HiTeMS)—A summary of achievements. Measurement 2016, 78, 168–179. [Google Scholar] [CrossRef]
- Müller, B.; Renz, U.; Hoppe, S.; Klocke, F. Radiation thermometry at a high-speed turning process. J. Manuf. Sci. Eng. 2004, 126, 488–495. [Google Scholar] [CrossRef]
- Musto, M.; Rotondo, G.; De Cesare, M.; Del Vecchio, A.; Savino, L.; De Filippis, F. Error analysis on measurement temperature by means Dual-Color Thermography Technique. Measurement 2016, 90, 265–277. [Google Scholar] [CrossRef]
- Savino, L.; De Cesare, M.; Musto, M.; Rotondo, G.; De Filippis, F.; Del Vecchio, A.; Russo, F. Free emissivity temperature investigations by dual color applied physics methodology in the mid- and long- infrared ranges. Int. J. Therm. Sci. 2017, 117, 328–341. [Google Scholar] [CrossRef]
- Di Carolo, F.; Savino, L.; Palumbo, D.; Del Vecchio, A.; Galietti, U.; De Cesare, M. Standard thermography vs. free emissivity dual color novel CIRA physics technique in the near-mid IR ranges: Studies for different emissivity class materials from low to high temperatures typical of aerospace re-entry. Int. J. Therm. Sci. 2020, 147, 106123. [Google Scholar] [CrossRef]
- LumaSenseTechnologies. Blackbody. Available online: https://datasheets.globalspec.com/ps/5936/LumaSenseTechnologies/6807FEB5-FE3F-4444-B6E1-34AF590EE534 (accessed on 3 February 2021).
- Velp Scientifica. Available online: https://www.velp.com/en-ww/arecx-digital-ceramic-hot-plate-stirrer.aspx (accessed on 3 February 2021).
- Omega. Available online: https://www.omegaeng.cz/prodinfo/thermocouples.html (accessed on 3 February 2021).
- Dataloggerinc. Available online: https://www.dataloggerinc.com/data-acquisition-systems/thermocouple-daq-systems/ (accessed on 3 February 2021).
- De Cesare, M.; Di Leva, A.; Del Vecchio, A.; Gialanella, L. A novel recession rate physics methodology for space applications at CIRA by means of CIRCE radioactive beam tracers. J. Phys. D Appl. Phys. 2018, 51, 09LT01. [Google Scholar] [CrossRef]
- De Cesare, M.; Savino, L.; Di Leva, A.; Rapagnani, D.; Del Vecchio, A.; D’Onofrio, A.; Gialanella, L. Gamma and infrared novel methodologies in Aerospace re-entry: γ-rays crystal efficiency by GEANT4 for TPS material recession assessment and simultaneous dual color infrared temperature determination. Nucl. Instr. Meth. Phys. Res. B 2020, 479, 264–271. [Google Scholar] [CrossRef]
- Rapagnani, D.; De Cesare, M.; Alfano, D.; Buompane, R.; Cantoni, S.; Fumo, M.D.S.; Del Vecchio, A.; D’Onofrio, A.; Porzio, G.; Rufolo, G.C.; et al. Ion Beam Analysis for recession determination and composition estimate of aerospace Thermal Protection System materials. Nucl. Instr. Meth. Phys. Res. B 2020, 467, 53–57. [Google Scholar] [CrossRef]
- De Cesare, M.; Savino, L.; Ceglia, G.; Alfano, D.; Di Carolo, F.; French, A.D.; Rapagnani, D.; Gravina, S.; Cipullo, A.; Del Vecchio, A.; et al. Applied radiation physics techniques for diagnostic evaluation of the Plasma Wind and Thermal Protection System critical parameters in Aerospace re-entry. Prog. Aerosp. Sci. 2020, 112, 100550. [Google Scholar] [CrossRef]
- De Cesare, M.; De Cesare, N.; D’Onofrio, A.; Fifield, L.K.; Gialanella, L.; Terrasi, F. Mass and abundance 236U sensitivities at CIRCE. Nucl. Instrum. Methods Phys. Res. B 2015, 361, 483–487. [Google Scholar] [CrossRef]
- De Cesare, M.; De Cesare, N.; D’Onofrio, A.; Fifield, L.K.; Gialanella, L.; Terrasi, F. Uranium beam characterization at CIRCE for background and contamination determinations. Appl. Radiat. Isot. 2015, 103, 166–172. [Google Scholar] [CrossRef] [PubMed]
- Buompane, R.; De Cesare, M.; De Cesare, N.; Di Leva, A.; D’Onofrio, A.; Fifield, L.K.; Fröhlich, M.; Gialanella, L.; Marzaioli, F.; Sabbarese, C.; et al. Background reduction in 236U/238U measurements. Nucl. Instr. Meth. Phys. Res. B 2015, 361, 454–457. [Google Scholar] [CrossRef]
- De Cesare, M.; Guan, Y.; Quinto, F.; Sabbarese, C.; De Cesare, N.; D’Onofrio, A.; Gialanella, L.; Petraglia, A.; Roca, V.; Terrasi, F. Optimization of 236U AMS at CIRCE. Radiocarbon 2010, 52, 286–294. [Google Scholar] [CrossRef]
- Guan, Y.-J.; De Cesare, M.; Terrasi, F.; Quinto, F.; Sabbarese, C.; De Cesare, N. 236U AMS measurement at CIRCE. Chin. Phys. C 2010, 34, 1729–1732. [Google Scholar] [CrossRef]
- Guan, Y.-J.; Wang, H.J.; De Cesare, M.; Terrasi, F. The AMS measurement of 236U at CIRCE. Nucl. Sci. Tech. 2017, 28, 98. [Google Scholar] [CrossRef]
- Roviello, V.; De Cesare, M.; D’Onofrio, A.; Gialanella, L.; Guan, Y.J.; Roos, P.; Ruberti, D.; Sabbarese, C.; Terrasi, F. New analytical methods for the assessment of natural (238U, 232Th, 226Ra, 40K) and anthropogenic (137Cs) radionuclides as actinides (239Pu, 240Pu): The case study of the Garigliano NPP releases along the Domitia sandy beaches (Southern Italy). Catena 2020, 193, 104612. [Google Scholar] [CrossRef]
- De Cesare, M.; Tims, S.G.; Fifield, L.K. Uranium comparison by means of AMS and ICP-MS and Pu and 137Cs results around an Italian nuclear power plant. Epj Web Conf. 2015, 91, 1–5. [Google Scholar] [CrossRef]
- Petraglia, A.; Sabbarese, C.; De Cesare, M.; De Cesare, N.; Quinto, F.; Terrasi, F.; D’Onofrio, A.; Steier, P.; Fifield, L.K.; Esposito, A.M. Assessment of the radiological impact of a decommissioned nuclear power plant in Italy. Radioprotection 2012, 47, 285–297. [Google Scholar] [CrossRef]
- Rapagnani, D.; Buompane, R.; Di Leva, A.; Gialanella, L.; Busso, M.; De Cesare, M.; De Stefano, G.; Duarte, J.G.; Gasques, L.R.; Morales Gallegos, L.; et al. A supersonic jet target for the cross section measurement of the 12C(α,γ)16O reaction with the recoil mass separator ERNA. Nucl. Instr. Meth. Phys. Res. B 2017, 407, 217–221. [Google Scholar] [CrossRef]
- Di Leva, A.; Gialanella, L.; Kunz, R.; Rogalla, D.; Schürmann, D.; Strieder, F.; De Cesare, M.; De Cesare, N.; D’Onofrio, A.; Fülöp, Z.; et al. Erratum: Stellar and primordial nucleosynthesis of Be7: Measurement of He3(α,γ)Be7. Phys. Rev. Lett. 2009, 103, 159903. [Google Scholar] [CrossRef]
- Morales-Gallegos, L.; Aliotta, M.; Di Leva, A.; Gialanella, L.; Schürmann, D.; De Cesare, M.; Davinson, T.; Imbriani, G.; Romano, M.; Romoli, M. Tests of carbon targets for 12C+12C reactions at astrophysical energies. J. Phys. Conf. Ser. 2015, 578, 012002. [Google Scholar] [CrossRef]
- Romoli, M.; Morales-Gallegos, L.; Aliotta, M.; Bruno, C.G.; Buompane, R.; D’Onofrio, A.; Davinson, D.; De Cesare, M.; Di Leva, M.; Di Meo, P.; et al. Development of a two-stage detection array for low-energy light charged particles in nuclear astrophysics applications. Eur. Phys. J. A 2018, 54, 1–8. [Google Scholar] [CrossRef]
- Morales-Gallegos, L.; Aliotta, M.; Bruno, C.G.; Buompane, R.; Davinson, T.; De Cesare, M.; Di Leva, A.; D’Onofrio, A.; Duarte, G.J.; Gasques, L.R.; et al. Reduction of deuterium content in carbon targets for 12C+12C reaction studies of astrophysical interest. Eur. Phys. J. A 2018, 54, 1–8. [Google Scholar] [CrossRef]
- Buompane, R.; De Cesare, N.; Di Leva, A.; D’Onofrio, A.; Gialanella, L.; Romano, M.; De Cesare, M.; Duarte, J.G.; Fülöp, Z.; Morales-Gallegos, L.; et al. Test measurement of 7Be(p,γ)8B with the recoil mass separator ERNA. Eur. Phys. J. A 2018, 54, 1–8. [Google Scholar] [CrossRef]
- Di Leva, A.; Imbriani, G.; Buompane, R.; Gialanella, L.; Best, A.; Cristallo, S.; De Cesare, M.; D’Onofrio, A.; Duarte, J.G.; Gasques, L.R.; et al. Measurement of 1323 and 1487 keV resonances in 15N(α,γ)19F with the recoil separator ERNA. Phys. Rev. C 2017, 95, 45803. [Google Scholar] [CrossRef]
- Schürmann, D.; Di Leva, A.; Gialanella, L.; De Cesare, M.; De Cesare, N.; Imbriani, G.; D’Onofrio, A.; Romano, M.; Romoli, M.; Terrasi, F. A windowless hydrogen gas target for the measurement of 7Be(p,γ)8B with the recoil separator ERNA. Eur. Phys. J. A 2013, 49, 1–10. [Google Scholar] [CrossRef]
- De Cesare, M.; Fifield, L.K.; Weisser, D.C.; Tsifakis, D.; Cooper, A.; Lobanov, N.R.; Tunningley, T.B.; Tims, S.G.; Wallner, A. A new fast-cycling system for AMS at ANU. Nucl. Instrum. Methods Phys. Res. B 2015, 361, 475–482. [Google Scholar] [CrossRef]












| Test | λ (μm) | SR | ε | ε | Tij (°C) | TC (°C) | % = |(Tij − TC)/TC| |
|---|---|---|---|---|---|---|---|
| 1 | 3.80–3.97 | 0.6704 | ε3.97 = 0.3094 | ε3.80 = 0.3069 | 429 | 409 ± 8 | ≈4.9 |
| 2 | 3.80–3.90 | 1.0958 | ε3.90 = 0.2070 | ε3.80 = 0.2047 | 341 | 414 ± 8 | ≈17.7 |
Publisher’s Note: MDPI stays neutral with regard to jurisdictional claims in published maps and institutional affiliations. |
© 2021 by the authors. Licensee MDPI, Basel, Switzerland. This article is an open access article distributed under the terms and conditions of the Creative Commons Attribution (CC BY) license (http://creativecommons.org/licenses/by/4.0/).
Share and Cite
De Cesare, M.; Savino, L.; Del Vecchio, A.; Di Carolo, F.; Musto, M.; Galietti, U.; Rotondo, G. Advances in Material Wide Range Temperature Determination by Dual-Color Emissivity Free Methodology in Long-Mid-near Infrared Ranges at Non-stationary Conditions. Appl. Sci. 2021, 11, 1385. https://doi.org/10.3390/app11041385
De Cesare M, Savino L, Del Vecchio A, Di Carolo F, Musto M, Galietti U, Rotondo G. Advances in Material Wide Range Temperature Determination by Dual-Color Emissivity Free Methodology in Long-Mid-near Infrared Ranges at Non-stationary Conditions. Applied Sciences. 2021; 11(4):1385. https://doi.org/10.3390/app11041385
Chicago/Turabian StyleDe Cesare, Mario, Luigi Savino, Antonio Del Vecchio, Francesca Di Carolo, Marilena Musto, Umberto Galietti, and Giuseppe Rotondo. 2021. "Advances in Material Wide Range Temperature Determination by Dual-Color Emissivity Free Methodology in Long-Mid-near Infrared Ranges at Non-stationary Conditions" Applied Sciences 11, no. 4: 1385. https://doi.org/10.3390/app11041385
APA StyleDe Cesare, M., Savino, L., Del Vecchio, A., Di Carolo, F., Musto, M., Galietti, U., & Rotondo, G. (2021). Advances in Material Wide Range Temperature Determination by Dual-Color Emissivity Free Methodology in Long-Mid-near Infrared Ranges at Non-stationary Conditions. Applied Sciences, 11(4), 1385. https://doi.org/10.3390/app11041385

