Seismic Response of RC Frames with a Soft First Story Retrofitted with Hysteretic Dampers under Near-Fault Earthquakes
Abstract
Featured Application
Abstract
1. Introduction
2. Predicting the Seismic Response by Applying the Energy Balance Concept
2.1. Analytical Modelling of the Structure
2.2. Energy Balance
2.3. Estimation of the Elastic Vibrational Energy We
2.4. Estimation of the Plastic Strain Energy Wp
2.5. Maximum Inter-Story Drift at the First Story
2.6. Maximum Shear Force at Each Story
3. Numerical Study
3.1. Description of the Prototype Buildings
3.2. Numerical Modelling
3.3. Pushover Analyses
3.4. Time History Analyses: Ground Motions Considered
4. Results and Discussion
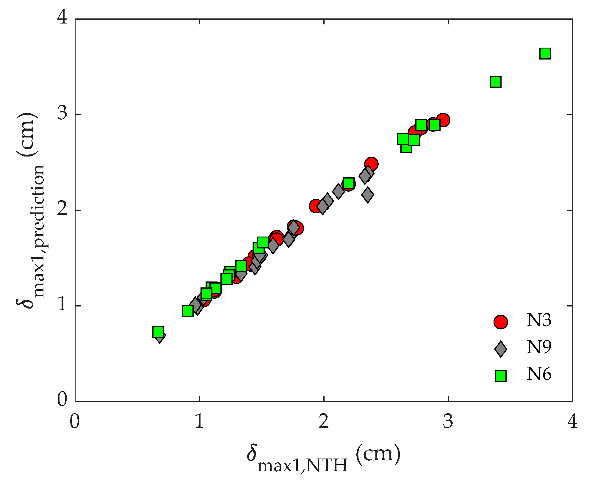
4.1. Story Drift Performance
4.2. Maximum Story Shear Forces
5. Proposal of neq for RC Frames with a Soft First Story and Dampers under Near-Fault Earthquakes
6. Conclusions
- All prototype structures exhibit satisfactory performances from the viewpoint of (i) not exceeding the maximum story drifts prescribed by SEAOC for the operational seismic performance level and (ii) not exceeding in most cases the maximum residual drift of 0.2% recommended in FEMA-P-58. However, the maximum first-story drifts exhibited by the structures under the near-fault records exceeded by about 30% the counterpart drifts obtained in previous studies with far-field ground motions.
- The maximum first-story drift obtained by establishing the energy balance of the structure and using the number of equivalent cycles proposed by Akiyama for generic earthquakes leads to an underestimation of the maximum first-story drifts.
Author Contributions
Funding
Institutional Review Board Statement
Informed Consent Statement
Data Availability Statement
Conflicts of Interest
References
- Hall, J.F. Northridge Earthquake 17 January 1994 Preliminary Reconnaissance Report; Earthquake Engineering Research Institute: Oakland, CA, USA, 1994. [Google Scholar]
- Architectural Institute of Japan (AIJ). Preliminary Reconnaissance Report of the 1995 Hyogoken-Nanbu Earthquake; AIJ: Tokyo, Japan, 1995. [Google Scholar]
- Dohare, D.; Maru, S. Seismic behavior of soft storey buildings: A critical review. Int. J. Eng. Res. Gen. Sci. 2014, 2, 35–39. [Google Scholar]
- FEMA-356. Prestandard and Commentary for the Seismic Rehabilitation of Buildings; Federal Emergency Management Agency: Washington, DC, USA, 2000.
- Matthys, S. Fib Working Group. Externally Applied FRP Reinforcement for Concrete Structures (Vol. 90); International Federation for Structural Concrete: Lausanne, Switzerland, 2019. [Google Scholar]
- Ilki, A.; Tore, E.; Demir, C.; Comert, M. Seismic performance of a full-scale FRP retrofitted sub-standard RC building. In Proceedings of the European Conference on Earthquake Engineering, Thessaloniki, Greece, 18–21 June 2018. [Google Scholar]
- Parducci, A.; Comodini, F.; Lucarelli, M. A synergy dissipation approach to retrofit framed structures with a soft first storey. In Proceedings of the 9th World Seminar on Seismic Isolation, Energy Dissipation and Active Vibration Control of Structures, Kobe, Japan, 13–16 June 2005. [Google Scholar]
- Mezzi, M.; Parducci, A. Preservation of existing soft-first-story configurations by improving the seismic performance. In Proceedings of the 3rd International Specialty Conference on the Conceptual Approach to Structural Design, Singapore, 25–26 August 2005. [Google Scholar]
- Benavent-Climent, A.; Mota-Páez, S. Earthquake retrofitting of R/C frames with soft-first-story using hysteretic dampers: Energy-based design method and evaluation. Eng. Struct. 2017, 137, 19–32. [Google Scholar] [CrossRef]
- Yang, D.; Zhou, J. A stochastic model and synthesis for near-fault impulsive ground motions. Earthq. Eng. Struct. Dyn. 2015, 44, 243–264. [Google Scholar] [CrossRef]
- Bray, J.D.; Rodriguez-Marek, A. Characterization of forward-directivity ground motions in the near-fault region. Soil Dyn. Earthq Eng. 2004, 24, 815–828. [Google Scholar] [CrossRef]
- Yang, D.X.; Pan, J.W.; Li, G. Non-structure-specific intensity measure parameters and characteristic period of near-faultground motions. Earthq. Eng. Struct. Dyn. 2009, 38, 1257–1280. [Google Scholar] [CrossRef]
- Yang, D.X.; Wang, W. Nonlocal period parameters of frequency content characterization for near-fault ground motions. Earthq. Eng. Struct. Dyn. 2012, 41, 1793–1811. [Google Scholar] [CrossRef]
- Filiatrault, A.; Tremblay, R.; Wanitkorkul, A. Performance evaluation of passive damping systems for the seismic retrofit of steel moment-resisting frames subjected to near-field ground motions. Earthq. Spectra 2001, 17, 427–456. [Google Scholar] [CrossRef]
- Pavlou, E.A.; Constantinou, M.C. Response of elastic and inelastic structures with damping systems to near-field and soft-soil ground motions. Eng. Struct. 2004, 26, 1217–1230. [Google Scholar] [CrossRef]
- Miyamoto, H.K.; Singh, J.P. Performance of structures with passive energy dissipators. Earthq Spectra 2002, 18, 105–119. [Google Scholar] [CrossRef]
- Morillas, L.; Escolano-Margarit, D. Estimation of Cyclic Demand in Metallic Yielding Dampers Installed on Frame Structures. Appl. Sci. 2020, 10, 4364. [Google Scholar] [CrossRef]
- Housner, G.W. Limit design of structures to resist earthquakes. In Proceedings of the 1st World Conference on Earthquake Engineering, Berkeley, CA, USA, 1–5 June 1956; pp. 1–16. [Google Scholar]
- Akiyama, H. Earthquake resistant design based on the energy concept. In Proceedings of the 9th World Conference on Earthquake Engineering, Tokyo, Japan, 1–5 August 1988. [Google Scholar]
- Akiyama, H. Earthquake-Resistant Limit-State Design for Buildings; University of Tokyo Press: Tokyo, Japan, 1985. [Google Scholar]
- Uang, C.M.; Bertero, V.V. Evaluation of seismic energy in structures. Earthq. Eng. Struct. Dyn. 1990, 19, 77–90. [Google Scholar] [CrossRef]
- Laterza, M.; D’Amato, M.; Thanthirige, L.P.; Braga, F.; Gigliotti, R. Comparisons of codal detailing rules for curvature ductility and numerical investigations. Open Constr. Build. Technol. J. 2014, 8, 132–141. [Google Scholar] [CrossRef]
- Watson, S.; Zahn, F.A.; Park, R. Confining reinforcement for concrete columns. ASCE J. Struct. Eng. 1994, 120, 1798–1824. [Google Scholar] [CrossRef]
- ASCE-SEI-41-13. Seismic Evaluation and Retrofit of Existing Buildings; American Society of Civil Engineers: Reston, VA, USA, 2013. [Google Scholar]
- Ministerio de Obras Públicas y Comunicaciones (MOPC). Reglamento Para el Análisis y Diseño Sísmico de Estructuras; Dirección General de Reglamentos y Sistemas: Santo Domingo, República Dominicana, 2011.
- ACI 318-99. Building Code Requirements for Structural Concrete (ACI 318-99) and Commentary (ACI 318r-99); American Concrete Institute (ACI Committee 318): Farmington Hills, MI, USA, 1999. [Google Scholar]
- Reinhorn, A.M.; Roh, H.; Sivaselvan, M.; Kunnath, S.K.; Valles, R.E.; Madan, A.; Li, C.; Lobo, R.; Park, Y.J. IDARC2D Version 7.0: A Program for the Inelastic Damage Analysis of Structures; Report NCEER-96-0010; MCEER: New York, NY, USA, 2009. [Google Scholar]
- Wen, Y.K. Method for Random Vibration of Hysteretic Systems. J. Eng. Mech. Div. ASCE 1976, 102, 249–263. [Google Scholar]
- Benavent-Climent, A. A brace-type seismic damper based on yielding the walls of hollow structural sections. Eng. Struct. 2009, 32, 1113–1122. [Google Scholar] [CrossRef]
- PEER 2013/03-PEER Ground Motion Database. NGA-West2. Available online: https://ngawest2.berkeley.edu/ (accessed on 10 November 2020).
- PEER 2014/-PEER NGA-East Database. Available online: https://ngawest2.berkeley.edu/ (accessed on 10 November 2020).
- Vision 2000 Committee; California. Performance Based Seismic Engineering of Buildings; Structural Engineers Association of California, Office of Emergency Services: Sacramento, CA, USA, 1995. [Google Scholar]
- FEMA-P-58. Seismic Performance Assessment of Buildings Volume 1-Methodology; Rep. No. FEMA P-58-1; Federal Emergency Management Agency: Washington, DC, USA, 2012.
- Clough, R.W.; Penzien, J. Dynamics of Structures, 2nd ed.; McGraw Hill: New York, NY, USA, 1993. [Google Scholar]











| Concrete | Steel | Masonry | |||
|---|---|---|---|---|---|
| σc (MPa) | Ec (GPa) | σy (MPa) | Es (GPa) | σm (MPa) | Em (GPa) |
| 20.6 | 21.5 | 274 | 206 | 2.3 | 2.1 |
| Story/Floor: | 1 | 2 | 3 | 4 | 5 | 6 | 7 | 8 | 9 | |||
|---|---|---|---|---|---|---|---|---|---|---|---|---|
| Prototype | Frame | mi (kNs2/cm) | 4.771 | 4.707 | 2.877 | - | - | - | - | - | - | |
| N3 | Exteriors: P1X, P4X | Beams | 30 × 60 | 30 × 60 | 25 × 50 | - | - | - | - | - | - | |
| Columns | C1 | 30 × 30 | 30 × 30 | 25 × 25 | ||||||||
| C2 | 30 × 30 | 30 × 30 | 25 × 25 | |||||||||
| Interiors:P2X, P3X | Beams | 30 × 60 | 30 × 60 | 25 × 50 | ||||||||
| Columns | C3 | 30 × 30 | 30 × 30 | 25 × 25 | ||||||||
| C4 | 35 × 35 | 30 × 30 | 25 × 25 | |||||||||
| N6 | mi (kNs2/cm) | 4.862 | 4.775 | 4.749 | 4.739 | 4.718 | 2.881 | - | - | - | ||
| Exteriors: P1X, P4X | Beams | 30 × 60 | 30 × 60 | 30 × 60 | 30 × 60 | 30 × 60 | 25 × 50 | - | - | - | ||
| Columns | C1 | 30 × 30 | 30 × 30 | 30 × 30 | 30 × 30 | 30 × 30 | 25 × 25 | |||||
| C2 | 35 × 35 | 35 × 35 | 35 × 35 | 30 × 30 | 30 × 30 | 25 × 25 | ||||||
| Interiors: P2X, P3X | Beams | 30 × 60 | 30 × 60 | 30 × 60 | 30 × 60 | 30 × 60 | 25 × 50 | |||||
| Columns | C3 | 40 × 40 | 35 × 35 | 30 × 30 | 30 × 30 | 30 × 30 | 25 × 25 | |||||
| C4 | 50 × 50 | 45 × 45 | 40 × 40 | 35 × 35 | 35 × 35 | 30 × 30 | ||||||
| N9 | mi (kNs2/cm) | 3.93 | 3.84 | 3.81 | 3.78 | 3.76 | 3.75 | 3.74 | 3.74 | 2.29 | ||
| Exteriors: P1X, P4X | Beams | 30 × 60 | 30 × 60 | 30 × 60 | 30 × 60 | 30 × 60 | 30 × 60 | 30 × 60 | 30 × 60 | 25 × 50 | ||
| Columns | C1 | 40 × 40 | 40 × 40 | 40 × 40 | 35 × 35 | 35 × 35 | 35 × 35 | 35 × 35 | 35 × 35 | 35 × 35 | ||
| C2 | 45 × 45 | 45 × 45 | 40 × 40 | 40 × 40 | 35 × 35 | 35 × 35 | 35 × 35 | 35 × 35 | 35 × 35 | |||
| Interiors: P2X, P3X | Beams | 30 × 60 | 30 × 60 | 30 × 60 | 30 × 60 | 30 × 60 | 30 × 60 | 30 × 60 | 30 × 60 | 25 × 50 | ||
| Columns | C3 | 45 × 45 | 45 × 45 | 45 × 45 | 40 × 40 | 40 × 40 | 35 × 35 | 35 × 35 | 35 × 35 | 35 × 35 | ||
| C4 | 60 × 60 | 60 × 60 | 55 × 55 | 50 × 50 | 45 × 45 | 40 × 40 | 35 × 35 | 35 × 35 | 35 × 35 | |||
| Prototype | Existing Structures | Dampers | ||||||||||
|---|---|---|---|---|---|---|---|---|---|---|---|---|
| M (kNs2/cm) | fk1 (kN/cm) | fQy,1 (kN) | fδy,1 (cm) | fδu,1 (cm) | T1 (s) | e/a2 | sα1 | rq1 | sδy,1 (cm) | sk1 (kN/cm) | sQy,1 (kN) | |
| N3 | 12.36 | 557 | 1186 | 2.13 | 7.16 | 0.94 | 1.15 | 0.701 | 0.14 | 0.32 | 26614 | 8494 |
| N6 | 26.72 | 1615 | 2863 | 1.77 | 5.99 | 0.85 | 1.10 | 0.672 | 0.16 | 0.26 | 66,215 | 17,611 |
| N9 | 32.68 | 2492 | 4208 | 1.69 | 6.14 | 0.81 | 1.08 | 0.604 | 0.22 | 0.25 | 76,562 | 19,388 |
| Name of the Earthquake | Station | Comp | Mw | Rjb (km) | Soil | PGA (cm/s2) | PGV (cm/s) | λN3 | λN6 | λN9 |
|---|---|---|---|---|---|---|---|---|---|---|
| Coyote Lake, 1979 | Gilroy Array #2 | 50 | 5.74 | 8.47 | Stiff | 187.13 | 10.27 | 3.46 | 3.14 | 4.14 |
| Parkfield 02, 2004 | Parkfield-Stone Corral 1E | 360 | 6.00 | 2.85 | Stiff | 816.7 | 39.78 | 1.63 | 5.76 | 4.35 |
| Duzce, Turquia, 1999 | IRIGM 487 | NS | 7.14 | 2.65 | Very dense | 297.5 | 38.93 | 1.42 | 1.99 | 1.62 |
| Kobe, Japan, 1995 | Takatori | 90 | 6.90 | 1.46 | Stiff | 658.08 | 122.92 | 0.96 | 2.31 | 2.44 |
| Kobe, Japan, 1996 | Takarazuka | 0 | 6.90 | 0 | Stiff | 683.86 | 68.38 | 1.29 | 4.82 | 3.04 |
| Kocaeli, Turquia, 1999 | Izmit | 180 | 7.51 | 3.62 | Rock | 161.95 | 22.32 | 3.33 | 2.46 | 2.20 |
| Kocaeli, Turquia, 2000 | Arcelik | 90 | 7.51 | 10.56 | Very dense | 131.6 | 40.05 | 4.40 | 3.46 | 4.14 |
| Tabas, Iran, 1978 | Tabas | L | 7.35 | 1.79 | Rock | 837.47 | 98.81 | 0.59 | 2.93 | 2.93 |
| Tabas, Iran, 1979 | Tabas | T | 7.35 | 1.79 | Rock | 845.1 | 123.36 | 0.62 | 3.14 | 2.57 |
| Chi-Chi, Taiwan, 1999 | NST | E | 7.62 | 38.36 | Very dense | 306.1 | 20.88 | 2.34 | 4.40 | 3.67 |
| Loma Prieta, 1989 | Saratoga-Aloha Avenue | 0 | 6.93 | 7.58 | Very dense | 504.51 | 41.56 | 1.26 | 3.09 | 2.88 |
| Loma Prieta, 1990 | Saratoga-Aloha Ave | 90 | 6.93 | 7.58 | Very dense | 319.92 | 45.96 | 2.70 | 4.87 | 5.40 |
| Imperial Valley 06, 1979 | Holtville Post Office | 315 | 6.53 | 5.35 | Stiff | 217.17 | 51.44 | 2.39 | 2.25 | 2.73 |
| Irpinia, Italy 01, 1980 | Sturno (STN) | 270 | 6.90 | 6.78 | Very dense | 314.32 | 71.93 | 1.87 | 2.46 | 2.62 |
| Irpinia, Italy 01, 1981 | Sturno (STN) | 0 | 6.90 | 6.78 | Very dense | 222.28 | 36.97 | 2.25 | 1.78 | 1.41 |
| San Fernando, 1971 | Pacoima Dam (upper left abut) | 164 | 6.61 | 0 | Rock | 1195.47 | 114.43 | 0.73 | 3.88 | 3.25 |
| San Salvador, 1986 | Geotech Investig Center | 90 | 5.80 | 2.14 | Very dense | 690.62 | 79.9 | 1.14 | 3.62 | 3.67 |
| Northridge 01, 1994 | LA Dam | 64 | 6.69 | 0 | Very dense | 418.06 | 74.82 | 1.85 | 3.20 | 2.73 |
| Cape Mendocino, 1992 | Centerville Beach Naval Fac | 360 | 7.01 | 16.44 | Very dense | 468.41 | 51.17 | 1.53 | 3.77 | 3.04 |
| Christchurch, New Zealand, 2011 | Pages Road Pumping Station | S | 6.20 | 1.92 | Stiff | 584.54 | 81.25 | 1.58 | 4.87 | 4.24 |
Publisher’s Note: MDPI stays neutral with regard to jurisdictional claims in published maps and institutional affiliations. |
© 2021 by the authors. Licensee MDPI, Basel, Switzerland. This article is an open access article distributed under the terms and conditions of the Creative Commons Attribution (CC BY) license (http://creativecommons.org/licenses/by/4.0/).
Share and Cite
Mota-Páez, S.; Escolano-Margarit, D.; Benavent-Climent, A. Seismic Response of RC Frames with a Soft First Story Retrofitted with Hysteretic Dampers under Near-Fault Earthquakes. Appl. Sci. 2021, 11, 1290. https://doi.org/10.3390/app11031290
Mota-Páez S, Escolano-Margarit D, Benavent-Climent A. Seismic Response of RC Frames with a Soft First Story Retrofitted with Hysteretic Dampers under Near-Fault Earthquakes. Applied Sciences. 2021; 11(3):1290. https://doi.org/10.3390/app11031290
Chicago/Turabian StyleMota-Páez, Santiago, David Escolano-Margarit, and Amadeo Benavent-Climent. 2021. "Seismic Response of RC Frames with a Soft First Story Retrofitted with Hysteretic Dampers under Near-Fault Earthquakes" Applied Sciences 11, no. 3: 1290. https://doi.org/10.3390/app11031290
APA StyleMota-Páez, S., Escolano-Margarit, D., & Benavent-Climent, A. (2021). Seismic Response of RC Frames with a Soft First Story Retrofitted with Hysteretic Dampers under Near-Fault Earthquakes. Applied Sciences, 11(3), 1290. https://doi.org/10.3390/app11031290

