The Calculated Circadian Effects of Light Exposure from Commuting
Abstract
:1. Introduction
2. Materials and Methods
2.1. Light Exposure Measurements
2.2. Calculations of the Circadian Effects of Lights
2.2.1. α-Opic Irradiance
2.2.2. Circadian Stimulus
2.2.3. Equivalent Melanopic Lux
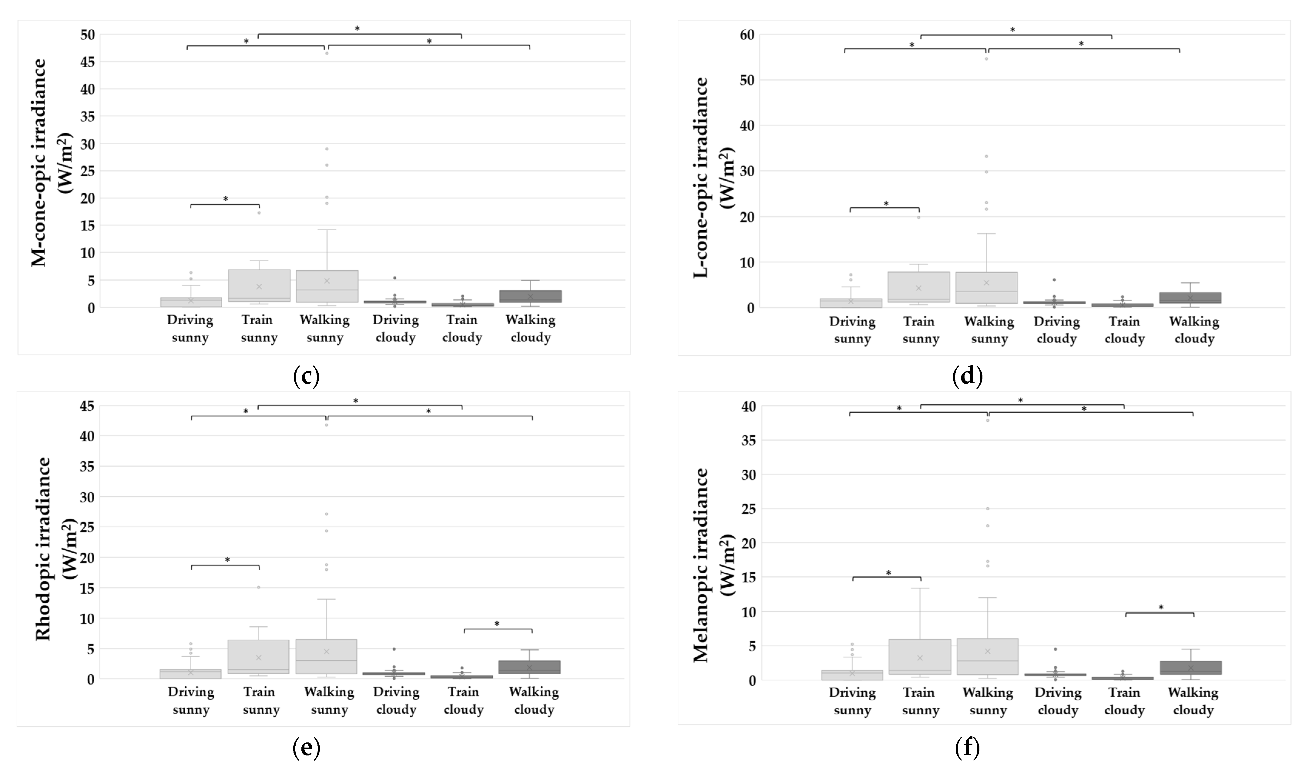
3. Results
4. Discussion
Limitations
Author Contributions
Funding
Institutional Review Board Statement
Informed Consent Statement
Data Availability Statement
Conflicts of Interest
References
- Lewy, A.J.; Wehr, T.A.; Goodwin, F.K.; Newsome, D.A.; Markey, S.P. Light Suppresses Melatonin Secretion in Humans. Science 1980, 210, 1267–1269. [Google Scholar] [CrossRef]
- Berson, D.M.; Dunn, F.A.; Takao, M. Phototransduction by Retinal Ganglion Cells That Set the Circadian Clock. Science 2002, 295, 1070–1073. [Google Scholar] [CrossRef] [PubMed] [Green Version]
- Duffy, J.F.; Wright, K.P. Entrainment of the Human Circadian System by Light. J. Biol. Rhythm. 2005, 20, 326–338. [Google Scholar] [CrossRef]
- Khalsa, S.B.S.; Jewett, M.E.; Cajochen, C.; Czeisler, C.A. A Phase Response Curve to Single Bright Light Pulses in Human Subjects. J. Physiol. 2003, 549, 945–952. [Google Scholar] [CrossRef] [PubMed]
- Hébert, M.; Martin, S.K.; Lee, C.; Eastman, C.I. The Effects of Prior Light History on the Suppression of Melatonin by Light in Humans. J. Pineal Res. 2002, 33, 198–203. [Google Scholar] [CrossRef] [PubMed] [Green Version]
- Chang, A.-M.; Scheer, F.A.J.L.; Czeisler, C.A. The Human Circadian System Adapts to Prior Photic History. J. Physiol. 2011, 589, 1095–1102. [Google Scholar] [CrossRef]
- Jasser, S.A.; Hanifin, J.P.; Rollag, M.D.; Brainard, G.C. Dim Light Adaptation Attenuates Acute Melatonin Suppression in Humans. J. Biol. Rhythm. 2006, 21, 394–404. [Google Scholar] [CrossRef] [PubMed]
- Smith, K.A.; Schoen, M.W.; Czeisler, C.A. Adaptation of Human Pineal Melatonin Suppression by Recent Photic History. J. Clin. Endocrinol. Metab. 2004, 89, 3610–3614. [Google Scholar] [CrossRef] [PubMed]
- Lunn, R.M.; Blask, D.E.; Coogan, A.N.; Figueiro, M.G.; Gorman, M.R.; Hall, J.E.; Hansen, J.; Nelson, R.J.; Panda, S.; Smolensky, M.H.; et al. Health Consequences of Electric Lighting Practices in the Modern World: A Report on the National Toxicology Program’s Workshop on Shift Work at Night, Artificial Light at Night, and Circadian Disruption. Sci. Total Environ. 2017, 607–608, 1073–1084. [Google Scholar] [CrossRef] [PubMed] [Green Version]
- Zielinska-Dabkowska, K.M.; Xavia, K. Protect Our Right to Light. Nature 2019, 568, 451–453. [Google Scholar] [CrossRef] [PubMed]
- Touitou, Y.; Reinberg, A.; Touitou, D. Association between Light at Night, Melatonin Secretion, Sleep Deprivation, and the Internal Clock: Health Impacts and Mechanisms of Circadian Disruption. Life Sci. 2017, 173, 94–106. [Google Scholar] [CrossRef]
- Figueiro, M.G.; Steverson, B.; Heerwagen, J.; Kampschroer, K.; Hunter, C.M.; Gonzales, K.; Plitnick, B.; Rea, M.S. The Impact of Daytime Light Exposures on Sleep and Mood in Office Workers. Sleep Health 2017, 3, 204–215. [Google Scholar] [CrossRef] [PubMed]
- Chen, S.; Wei, M.; Dai, Q.; Huang, Y. Estimation of Possible Suppression of Melatonin Production Caused by Exterior Lighting in Commercial Business Districts in Metropolises. LEUKOS 2020, 16, 137–144. [Google Scholar] [CrossRef] [Green Version]
- Wilkins, R.; Laß, I.; Butterworth, P.; Vera-Toscano, E. The Household, Income and Labour Dynamics in Australia Survey: Selected Findings from Waves 1 to 17; Melbourne Institute: Applied Economic & Social Research, University of Melbourne: Melbourne, Australia, 2019. [Google Scholar]
- Klepeis, N.E.; Nelson, W.C.; Ott, W.R.; Robinson, J.P.; Tsang, A.M.; Switzer, P.; Behar, J.V.; Hern, S.C.; Engelmann, W.H. The National Human Activity Pattern Survey (NHAPS): A Resource for Assessing Exposure to Environmental Pollutants. J. Expo. Sci. Environ. Epidemiol. 2001, 11, 231–252. [Google Scholar] [CrossRef] [Green Version]
- CIE CIE S 026/E:2018; CIE System for Metrology of Optical Radiation for IpRGC-Influenced Responses to Light; International Commission on Illumination (CIE), CIE Central Bureau: Vienna, Austria, 2018.
- Rea, M.S.; Figueiro, M.G.; Bullough, J.D.; Bierman, A. A Model of Phototransduction by the Human Circadian System. Brain Res. Rev. 2005, 50, 213–228. [Google Scholar] [CrossRef] [PubMed]
- Rea, M.; Figueiro, M.; Bierman, A.; Hamner, R. Modelling the Spectral Sensitivity of the Human Circadian System. Lighting Res. Technol. 2012, 44, 386–396. [Google Scholar] [CrossRef]
- Circadian Lighting Design|WELL Standard. Available online: https://standard.wellcertified.com/light/circadian-lighting-design (accessed on 11 May 2020).
- Urban Living Index–Measuring the Urban Lifestyle of Your Suburb. Available online: https://urbanlivingindex.com/ (accessed on 24 October 2021).
- Australian Bureau of Statistics Web Site-Populations of Interest: Housing Characteristics. Available online: https://absstats.maps.arcgis.com/apps/MapSeries/index.html?appid=6ac28a3a3ba141eb99b226ca87983e41 (accessed on 25 October 2021).
- Lucas, R.J.; Peirson, S.N.; Berson, D.M.; Brown, T.M.; Cooper, H.M.; Czeisler, C.A.; Figueiro, M.G.; Gamlin, P.D.; Lockley, S.W.; O’Hagan, J.B.; et al. Measuring and Using Light in the Melanopsin Age. Trends Neurosci. 2014, 37, 1–9. [Google Scholar] [CrossRef] [PubMed]
- Launch of CIE S 026 Toolbox and User Guide|CIE. Available online: https://cie.co.at/news/launch-cie-s-026-toolbox-and-user-guide (accessed on 25 November 2021).
- Rea, M.S.; Figueiro, M.G. A Working Threshold for Acute Nocturnal Melatonin Suppression from “White” Light Sources Used in Architectural Applications. J. Carcinog. Mutagen. 2013, 4, 3. [Google Scholar] [CrossRef]
- Brainard, G.C.; Hanifin, J.P.; Greeson, J.M.; Byrne, B.; Glickman, G.; Gerner, E.; Rollag, M.D. Action Spectrum for Melatonin Regulation in Humans: Evidence for a Novel Circadian Photoreceptor. J. Neurosci. 2001, 21, 6405–6412. [Google Scholar] [CrossRef] [PubMed] [Green Version]
- Thapan, K.; Arendt, J.; Skene, D.J. An Action Spectrum for Melatonin Suppression: Evidence for a Novel Non-Rod, Non-Cone Photoreceptor System in Humans. J. Physiol. 2001, 535, 261–267. [Google Scholar] [CrossRef] [PubMed]
- Smith, V.C.; Pokorny, J.; Gamlin, P.D.; Packer, O.S.; Peterson, B.B.; Dacey, D.M. Functional Architecture of the Photoreceptive Ganglion Cell in Primate Retina: Spectral Sensitivity and Dynamics of the Intrinsic Response. Investig. Ophthalmol. Vis. Sci. 2003, 44, 5185. [Google Scholar]
- Smith, V.C.; Pokorny, J. Spectral Sensitivity of the Foveal Cone Photopigments between 400 and 500 Nm. Vis. Res. 1975, 15, 161–171. [Google Scholar] [CrossRef]
- Snodderly, D.M.; Brown, P.K.; Delori, F.C.; Auran, J.D. The Macular Pigment. I. Absorbance Spectra, Localization, and Discrimination from Other Yellow Pigments in Primate Retinas. Investig. Ophthalmol. Vis. Sci. 1984, 25, 660–673. [Google Scholar]
- Photometry-The CIE System of Physical Photometry|CIE. Available online: https://cie.co.at/publications/photometry-cie-system-physical-photometry (accessed on 25 October 2021).
- Al Enezi, J.; Revell, V.; Brown, T.; Wynne, J.; Schlangen, L.; Lucas, R. A “Melanopic” Spectral Efficiency Function Predicts the Sensitivity of Melanopsin Photoreceptors to Polychromatic Lights. J. Biol. Rhythm. 2011, 26, 314–323. [Google Scholar] [CrossRef]
- Rea, M.; Figueiro, M. Light as a Circadian Stimulus for Architectural Lighting. Lighting Res. Technol. 2018, 50, 497–510. [Google Scholar] [CrossRef]
- Rea, M.S.; Nagare, R.; Figueiro, M.G. Modeling Circadian Phototransduction: Quantitative Predictions of Psychophysical Data. Front. Neurosci. 2021, 15, 44. [Google Scholar] [CrossRef]
- Figueiro, M.; Kalsher, M.; Steverson, B.; Heerwagen, J.; Kampschroer, K.; Rea, M. Circadian-Effective Light and Its Impact on Alertness in Office Workers. Lighting Res. Technol. 2019, 51, 171–183. [Google Scholar] [CrossRef]
- Figueiro, M.; Steverson, B.; Heerwagen, J.; Yucel, R.; Roohan, C.; Sahin, L.; Kampschroer, K.; Rea, M. Light, Entrainment and Alertness: A Case Study in Offices. Lighting Res. Technol. 2019, 52, 736–750. [Google Scholar] [CrossRef]
- Dacey, D.M.; Liao, H.-W.; Peterson, B.B.; Robinson, F.R.; Smith, V.C.; Pokorny, J.; Yau, K.-W.; Gamlin, P.D. Melanopsin-Expressing Ganglion Cells in Primate Retina Signal Colour and Irradiance and Project to the LGN. Nature 2005, 433, 749–754. [Google Scholar] [CrossRef]
- Gamlin, P.D.R.; McDougal, D.H.; Pokorny, J.; Smith, V.C.; Yau, K.-W.; Dacey, D.M. Human and Macaque Pupil Responses Driven by Melanopsin-Containing Retinal Ganglion Cells. Vis. Res. 2007, 47, 946–954. [Google Scholar] [CrossRef] [Green Version]
- Lucas, R.J.; Freedman, M.S.; Muñoz, M.; Garcia-Fernández, J.-M.; Foster, R.G. Regulation of the Mammalian Pineal by Non-Rod, Non-Cone, Ocular Photoreceptors. Science 1999, 284, 505–507. [Google Scholar] [CrossRef]
- Mclntyre, I.M.; Norman, T.R.; Burrows, G.D.; Armstrong, S.M. Human Melatonin Suppression by Light Is Intensity Dependent. J. Pineal Res. 1989, 6, 149–156. [Google Scholar] [CrossRef] [PubMed]
- McIntyre, I.M.; Norman, T.R.; Burrows, G.D.; Armstrong, S.M. Quantal Melatonin Suppression by Exposure to Low Intensity Light in Man. Life Sci. 1989, 45, 327–332. [Google Scholar] [CrossRef]
- Rüger, M.; Gordijn, M.C.M.; Beersma, D.G.M.; de Vries, B.; Daan, S. Nasal versus Temporal Illumination of the Human Retina: Effects on Core Body Temperature, Melatonin, and Circadian Phase. J. Biol. Rhythm. 2005, 20, 60–70. [Google Scholar] [CrossRef] [Green Version]
- Glickman, G.; Hanifin, J.P.; Rollag, M.D.; Wang, J.; Cooper, H.; Brainard, G.C. Inferior Retinal Light Exposure Is More Effective than Superior Retinal Exposure in Suppressing Melatonin in Humans. J. Biol. Rhythm. 2003, 18, 71–79. [Google Scholar] [CrossRef]
- Visser, E.K.; Beersma, D.G.M.; Daan, S. Melatonin Suppression by Light in Humans Is Maximal When the Nasal Part of the Retina Is Illuminated. J. Biol. Rhythm. 1999, 14, 116–121. [Google Scholar] [CrossRef] [PubMed] [Green Version]
- Lasko, T.A.; Kripke, D.F.; Elliot, J.A. Melatonin Suppression by Illumination of Upper and Lower Visual Fields. J. Biol. Rhythm. 1999, 14, 122–125. [Google Scholar] [CrossRef]
- Jarboe, C.; Snyder, J.; Figueiro, M. The Effectiveness of Light-Emitting Diode Lighting for Providing Circadian Stimulus in Office Spaces While Minimizing Energy Use. Lighting Res. Technol. 2020, 52, 167–188. [Google Scholar] [CrossRef]
- Charman, W.N. Age, Lens Transmittance, and the Possible Effects of Light on Melatonin Suppression. Ophthalmic Physiol. Opt. 2003, 23, 181–187. [Google Scholar] [CrossRef] [PubMed]
- Australia, G. Astronomical Information. Available online: https://www.ga.gov.au/scientific-topics/astronomical (accessed on 27 September 2021).
- Khavrus, V.; Shelevytsky, I. Introduction to Solar Motion Geometry on the Basis of a Simple Model. Phys. Educ. 2010, 45, 641–653. [Google Scholar] [CrossRef]
- Lok, R.; Smolders, K.C.H.J.; Beersma, D.G.M.; de Kort, Y.A.W. Light, Alertness, and Alerting Effects of White Light: A Literature Overview. J. Biol. Rhythm. 2018, 33, 589–601. [Google Scholar] [CrossRef] [PubMed] [Green Version]
- Segal, A.Y.; Sletten, T.L.; Flynn-Evans, E.E.; Lockley, S.W.; Rajaratnam, S.M.W. Daytime Exposure to Short- and Medium-Wavelength Light Did Not Improve Alertness and Neurobehavioral Performance. J. Biol. Rhythm. 2016, 31, 470–482. [Google Scholar] [CrossRef] [PubMed] [Green Version]
- Phipps-Nelson, J.; Redman, J.R.; Dijk, D.-J.; Rajaratnam, S.M.W. Daytime Exposure to Bright Light, as Compared to Dim Light, Decreases Sleepiness and Improves Psychomotor Vigilance Performance. Sleep 2003, 26, 695–700. [Google Scholar] [CrossRef] [PubMed]
- Gornicka, G.B. Lighting at Work: Environmental Study of Direct Effects of Lighting Level and Spectrum on Psychophysiological Variables. Ph.D. Thesis, Technische Universiteit Eindhoven, Eindhoven, The Netherlands, 2008. [Google Scholar]
- Zele, A.J.; Feigl, B.; Smith, S.S.; Markwell, E.L. The Circadian Response of Intrinsically Photosensitive Retinal Ganglion Cells. PLoS ONE 2011, 6, e17860. [Google Scholar] [CrossRef] [PubMed] [Green Version]
- Badia, P.; Myers, B.; Boecker, M.; Culpepper, J.; Harsh, J.R. Bright Light Effects on Body Temperature, Alertness, EEG and Behavior. Physiol. Behav. 1991, 50, 583–588. [Google Scholar] [CrossRef]
- Kolberg, E.; Pallesen, S.; Hjetland, G.; Nordhus, I.; Thun, E.; Flo-Groeneboom, E. Insufficient Melanopic Equivalent Daylight Illuminance in Nursing Home Dementia Units across Seasons and Gaze Directions. Lighting Res. Technol. 2021. [Google Scholar] [CrossRef]
- Houser, K.W.; Esposito, T. Human-Centric Lighting: Foundational Considerations and a Five-Step Design Process. Front. Neurol. 2021, 12, 630553. [Google Scholar] [CrossRef]
- Brown, T.M. Melanopic Illuminance Defines the Magnitude of Human Circadian Light Responses under a Wide Range of Conditions. J. Pineal Res. 2020, 69, e12655. [Google Scholar] [CrossRef] [Green Version]
- Prayag, A.S.; Najjar, R.P.; Gronfier, C. Melatonin Suppression Is Exquisitely Sensitive to Light and Primarily Driven by Melanopsin in Humans. J. Pineal Res. 2019, 66, e12562. [Google Scholar] [CrossRef] [PubMed]
- Brainard, G.C.; Sliney, D.; Hanifin, J.P.; Glickman, G.; Byrne, B.; Greeson, J.M.; Jasser, S.; Gerner, E.; Rollag, M.D. Sensitivity of the Human Circadian System to Short-Wavelength (420-Nm) Light. J. Biol. Rhythms. 2008, 23, 379–386. [Google Scholar] [CrossRef] [Green Version]
- Figueiro, M.; Rea, M. Office Lighting and Personal Light Exposures in Two Seasons: Impact on Sleep and Mood. Lighting Res. Technol. 2016, 48, 352–364. [Google Scholar] [CrossRef]
- Wood, B.; Rea, M.S.; Plitnick, B.; Figueiro, M.G. Light Level and Duration of Exposure Determine the Impact of Self-Luminous Tablets on Melatonin Suppression. Appl. Ergon. 2013, 44, 237–240. [Google Scholar] [CrossRef] [PubMed]
- Figueiro, M.G.; Bullough, J.D.; Bierman, A.; Rea, M.S. Demonstration of Additivity Failure in Human Circadian Phototransduction. Neuro Endocrinol. Lett. 2005, 26, 493–498. [Google Scholar]
- Figueiro, M.G.; Bierman, A.; Rea, M.S. Retinal Mechanisms Determine the Subadditive Response to Polychromatic Light by the Human Circadian System. Neurosci. Lett. 2008, 438, 242–245. [Google Scholar] [CrossRef] [PubMed]
- Figueiro, M.G.; Wood, B.; Plitnick, B.; Rea, M.S. The Impact of Light from Computer Monitors on Melatonin Levels in College Students. Neuroendocrinol. Lett. 2011, 32, 158–163. [Google Scholar]






| Mode | Date | Weather | GPS Coordinates/ Train Stations | Time | Note | |||
|---|---|---|---|---|---|---|---|---|
| Start | End | Start | End | Start | End | |||
| Driving | 12 Dec. 2019 | Mostly cloudy | Mostly cloudy | (−33.882898, 151.121124) | (−33.879560, 151.198464) | 8:40 | 9:11 | Heavy traffic, medium to high-density housing areas |
| Train | 18 Dec. 2019 | Sunny | Sunny | Ashfield railway station | Parramatta railway station | 7:39 | 8:10 | facing direction of travel, lower level, no tunnel |
| Walking | 19 Mar. 2020 | Sunny | Sunny | (−33.922654, 151.190095) | (−33.922073, 151.190443) | 8:08 | 8:34 | High-density housing areas |
| Driving | Train | Walking | |
|---|---|---|---|
| Sunny | 5 | 4 | 5 |
| Cloudy | 2 | 3 | 2 |
| Total | 7 | 7 | 7 |
| Driving | Train | Walking | |
|---|---|---|---|
| Sunny | 222 | 69 | 116 |
| Cloudy | 97 | 195 | 33 |
| Total | 319 | 264 | 149 |
| Illuminance (Lux) | α-Opic Irradiance (W/m2) | Circadian Stimulus (Unitless) | Equivalent Melanopic Lux (Melanopic Lux) | |||||||||||||
|---|---|---|---|---|---|---|---|---|---|---|---|---|---|---|---|---|
| S-Cone | M-Cone | L-Cone | Rhodopic | Melanopic | ||||||||||||
| Mean | SD | Mean | SD | Mean | SD | Mean | SD | Mean | SD | Mean | SD | Mean | SD | Mean | SD | |
| Driving | ||||||||||||||||
| Sunny | 819 | 711 | 0.52 | 0.44 | 1.17 | 1.01 | 1.33 | 1.15 | 1.07 | 0.92 | 0.97 | 0.83 | 0.40 | 0.25 | 817 | 702 |
| Cloudy | 733 | 382 | 0.47 | 0.25 | 1.04 | 0.55 | 1.19 | 0.62 | 0.96 | 0.50 | 0.87 | 0.46 | 0.50 | 0.06 | 734 | 388 |
| Total | 793 | 630 | 0.51 | 0.40 | 1.13 | 0.90 | 1.28 | 1.02 | 1.03 | 0.82 | 0.94 | 0.74 | 0.43 | 0.21 | 792 | 624 |
| Train | ||||||||||||||||
| Sunny | 2639 | 2344 | 1.93 | 1.66 | 3.77 | 3.33 | 4.29 | 3.82 | 3.52 | 3.08 | 3.23 | 2.83 | 0.59 | 0.09 | 2722 | 2380 |
| Cloudy | 336 | 272 | 0.19 | 0.21 | 0.45 | 0.39 | 0.54 | 0.44 | 0.36 | 0.35 | 0.31 | 0.32 | 0.25 | 0.16 | 260 | 270 |
| Total | 938 | 1582 | 0.64 | 1.15 | 1.32 | 2.26 | 1.52 | 2.58 | 1.19 | 2.12 | 1.07 | 1.95 | 0.34 | 0.21 | 903 | 1641 |
| Walking | ||||||||||||||||
| Sunny | 3339 | 4427 | 2.51 | 3.03 | 4.80 | 6.25 | 5.44 | 7.22 | 4.55 | 5.77 | 4.21 | 5.28 | 0.60 | 0.09 | 3542 | 4449 |
| Cloudy | 1313 | 894 | 1.11 | 0.76 | 1.93 | 1.31 | 2.14 | 1.46 | 1.90 | 1.28 | 1.78 | 1.20 | 0.56 | 0.12 | 1496 | 1014 |
| Total | 2891 | 4014 | 2.20 | 2.76 | 4.16 | 5.67 | 4.71 | 6.55 | 3.96 | 5.24 | 3.67 | 4.80 | 0.59 | 0.10 | 3089 | 4041 |
Publisher’s Note: MDPI stays neutral with regard to jurisdictional claims in published maps and institutional affiliations. |
© 2021 by the authors. Licensee MDPI, Basel, Switzerland. This article is an open access article distributed under the terms and conditions of the Creative Commons Attribution (CC BY) license (https://creativecommons.org/licenses/by/4.0/).
Share and Cite
Lu, Y.; Hu, W.; Davis, W. The Calculated Circadian Effects of Light Exposure from Commuting. Appl. Sci. 2021, 11, 11846. https://doi.org/10.3390/app112411846
Lu Y, Hu W, Davis W. The Calculated Circadian Effects of Light Exposure from Commuting. Applied Sciences. 2021; 11(24):11846. https://doi.org/10.3390/app112411846
Chicago/Turabian StyleLu, Yihan, Wenye Hu, and Wendy Davis. 2021. "The Calculated Circadian Effects of Light Exposure from Commuting" Applied Sciences 11, no. 24: 11846. https://doi.org/10.3390/app112411846
APA StyleLu, Y., Hu, W., & Davis, W. (2021). The Calculated Circadian Effects of Light Exposure from Commuting. Applied Sciences, 11(24), 11846. https://doi.org/10.3390/app112411846

