Impact of Biochar Application on Germination Behavior and Early Growth of Maize Seedlings: Insights from a Growth Room Experiment
Abstract
:1. Introduction
2. Materials and Methods
2.1. Production and Characterization of Biochar
2.2. Germination Assay
2.3. Determination of Agronomic Parameters of Maize Seedlings
2.4. Physiological and Biochemical Attributes
2.5. Statistical Analysis of Data
3. Results
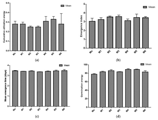
3.1. Impact of Biochar on the Germination of Maize Seeds
3.2. Impact of Biochar on Morpho-Physiological Attributes and Enzyme Activity of Maize Seedlings
3.2.1. Morphological Attributes
3.2.2. Physiological and Biochemical Attributes
3.3. Principal Component and Correlation Analyses
4. Discussion
5. Conclusions
Author Contributions
Funding
Institutional Review Board Statement
Informed Consent Statement
Data Availability Statement
Acknowledgments
Conflicts of Interest
References
- Khajeh-Hosseini, M.; Lomholt, A.; Matthews, S. Mean germination time in the laboratory estimates the relative vigour and field performance of commercial seed lots of maize (Zea mays L.). Seed Sci. Technol. 2009, 37, 446–456. [Google Scholar] [CrossRef]
- Duczmal, K.; Tucholska, H. Nasiennictwo [Seed Production]; PWRiL: Poznań, Poland, 2000; Volume 1, pp. 205–234. [Google Scholar]
- Cavallaro, V.; Barbera, A.C.; Maucieri, C.; Gimma, G.; Scalisi, C.; Patanè, C. Evaluation of variability to drought and saline stress through the germination of different ecotypes of carob (Ceratonia siliqua L.) using a hydrotime model. Ecol. Eng. 2016, 95, 557–566. [Google Scholar] [CrossRef]
- Ciupak, A.; Szczurowska, I.; Gładyszewska, B.; Pietruszewski, S. Impact of laser light and magnetic field stimulation on the process of buckwheat seed germination. Tech. Sci. 2007, 10, 1–10. [Google Scholar] [CrossRef]
- Grzesik, M.; Janas, R.; Górnik, K.; Romanowska-Duda, Z. Biological and physical methods of seed production and processing. J. Res. Appl. Agric. Eng. 2012, 57, 147–152. [Google Scholar]
- Karthikeyanb, N.; Prasannaa, R.; Nainb, L.; Kaushik, B.D. Evaluating the potential of plant growth promoting Cyanobacteria as inoculants for wheat. Eur. J. Soil Biol. 2007, 43, 23–30. [Google Scholar] [CrossRef]
- Oliet, J.A.; Planelles, R.; Segura, M.L.; Artero, F.; Jacobs, D.F. Mineral nutrition and growth of containerized Pinus halepensis seedlings under controlled-release fertilizer. Sci. Hortic. 2004, 103, 113–129. [Google Scholar] [CrossRef]
- Hassanzadeh, G. A Study on the Effects of Organic, Inorganic and Integrated Fertilizers on the Quantitative and Qualitative Traits of Different Sunflower (Helianthus annuus L.) Cultivars in West Azerbaijan, Iran. Ph.D. Thesis, Tarbiat Modares University, Tehran, Iran, 2000; 195p. (In Persian). [Google Scholar]
- Major, J.; Rondon, M.; Molina, D.; Riha, S.J.; Lehmann, J. Nutrient leaching in a Colombian savanna Oxisol amended with biochar. J. Environ. Qual. 2012, 41, 1076–1086. [Google Scholar] [CrossRef]
- Ahmad, M.; Rajapaksha, A.U.; Lim, J.E.; Zhang, M.; Bolan, N.; Mohan, D.; Vithanage, M.; Lee, S.S.; Ok, Y.S. Biochar as a sorbent for contaminant management in soil and water: A review. Chemosphere 2019, 99, 19–33. [Google Scholar] [CrossRef]
- Lu, K.; Yang, X.; Shen, J.; Robinson, B.; Huang, H.; Liu, D.; Bolan, N.; Pei, J.; Wang, H. Effect of bamboo and rice straw biochars on the bioavailability of Cd, Cu, Pb and Zn to Sedum plumbizincicola. Agric. Ecosyst. Environ. 2014, 191, 124–132. [Google Scholar] [CrossRef]
- Jindo, K.; Monedero, M.A.S.; Hernández, T.; García, C.; Furukawa, T.; Matsumoto, K. Biochar influences the microbial community structure during manure composting with agricultural wastes. Sci. Total Environ. 2012, 416, 476–481. [Google Scholar] [CrossRef]
- Glaser, B.; Lehmann, J.; Zech, W. Ameliorating physical and chemical properties of highly weathered soils in the tropics with charcoal—A review. Biol. Fertile Soils 2002, 35, 219–230. [Google Scholar] [CrossRef]
- Parsons, A.J.; Rowarth, J.S.; Newman, P. Managing pastures for animals and soil carbon. Proc. N. Z. Grassland Assoc. 2009, 71, 77–84. [Google Scholar] [CrossRef]
- Chan, K.Y.; Van Zwieten, L.; Meszaros, I.; Downie, A.; Joseph, S. Using poultry litter biochars as soil amendments. Aust. J. Soil Res. 2008, 46, 437–444. [Google Scholar] [CrossRef]
- Jeong, C.Y.; Dodla, S.K.; Wang, J.J. Fundamental and molecular composition characteristics of biochars produced from sugarcane and rice crop residues and by-products. Chemosphere 2016, 142, 4–13. [Google Scholar] [CrossRef] [PubMed]
- Lehmann, J. Bioenergy in the black. Front. Ecol. Environ. 2007, 5, 381–387. [Google Scholar] [CrossRef] [Green Version]
- Teixido, M.; Hurtado, C.; Pignatello, J.J.; Beltran, J.L.; Granados, M.; Peccia, J. Predicting contaminant adsorption in black carbon (biochar)-amended soil for the veterinary antimicrobial sulfamethazine. Environ. Sci. Technol. 2013, 47, 6197–6205. [Google Scholar] [CrossRef]
- Kolton, M.; Harel, Y.M.; Pasternak, Z.; Graber, E.R.; Elad, Y.; Cytryn, E. Impact of biochar application to soil on the root-associated bacterial community structure of fully developed greenhouse pepper plants. Appl. Environ. Microbiol. 2011, 77, 4924–4930. [Google Scholar] [CrossRef] [Green Version]
- Makoto, K.; Hirobe, M.; DeLuca, T.H.; Bryanin, S.V.; Procopchuk, V.F.; Koike, T. Effects of fire-derived charcoal on soil properties and seedling regeneration in a recently burned Larix gmelinii/Pinus sylvestris forest. J. Soils Sediments 2011, 11, 1317–1322. [Google Scholar] [CrossRef]
- Asai, H.; Samson, B.K.; Stephan, H.M.; Songyikhangsuthor, K.; Homma, K.; Kiyono, Y.; Horie, T. Biochar amendment techniques for upland rice production in Northern Laos 1. Soil physical properties, leaf SPAD and grain yield. Field Crops Res. 2009, 111, 81–84. [Google Scholar] [CrossRef]
- Noguera, D.; Barot, S.; Laossi, K.R.; Cardoso, J.; Lavelle, P.; Cruz de Carvalho, M. Biochar but not earthworms enhances rice growth through increased protein turnover. Soil Biol. Biochem. 2012, 52, 13–20. [Google Scholar] [CrossRef]
- Macdonald, L.M.; Farrell, M.; Van Zwieten, L.; Krull, E.S. Plant growth responses to biochar addition: An Australian soils perspective. Biol. Fertil. Soils 2014, 50, 1035–1045. [Google Scholar] [CrossRef]
- Wu, H.; Lai, C.; Zeng, G.; Liang, J.; Chen, J.; Xu, J.; Dai, J.; Li, X.; Liu, J.; Chen, M.; et al. The interactions of composting and biochar and their implications for soil amendment and pollution remediation: A review. Crit. Rev. Biotechnol. 2017, 37, 754–764. [Google Scholar] [CrossRef] [PubMed]
- Ye, S.; Zeng, G.; Wu, H.; Zhang, C.; Dai, J.; Liang, J.; Yu, J.; Ren, X.; Yi, H.; Cheng, M.; et al. Biological technologies for the remediation of co-contaminated soil. Crit. Rev. Biotechnol. 2017, 37, 1062–1076. [Google Scholar] [CrossRef] [PubMed]
- Zama, E.F.; Reid, B.J.; Arp, H.P.H.; Sun, G.-X.; Yuan, H.Y.; Zhu, Y.-G. Advances in research on the use of biochar in soil for remediation: A review. J. Soils Sediments 2018, 18, 2433–2450. [Google Scholar] [CrossRef] [Green Version]
- Oh, T.K.; Shinogi, Y.; Chikushi, J.; Lee, Y.H.; Choi, B. Effect of aqueous extract of biochar on germination and seedling growth of lettuce (Lactuca sativa L.). J. Fac. Agric. Kyushu Univ. 2012, 57, 55–60. [Google Scholar] [CrossRef]
- Alburquerque, J.A.; Salazar, P.; Barroon, V.; Torrent, J.; Campillo, M.D.C.; Gallardo, A.; Villar, R. Enhanced wheat yield by biochar addition under different mineral fertilization levels. Agron. Sustain. Develop. 2013, 33, 475–484. [Google Scholar] [CrossRef] [Green Version]
- Sanchez, M.E.; Lindao, E.; Margaleff, D.; Martınez, O.; Moran, A. Pyrolysis of agricultural residues from rape and sunflowers: Production and characterization of bio-fuels and biochar soil management. J. Anal. Appl. Pyrolysis 2009, 85, 142–144. [Google Scholar] [CrossRef]
- Nelson, D.W.; Sommers, L.E. Total carbon, organic carbon and organic matter. In Methods of Soil Analysis, Part 2: Chemical and Microbiological Properties; Klute, A., Ed.; American Society of Agronomy: Madison, WI, USA, 1982; pp. 570–571. [Google Scholar]
- Wolf, B. The comprehensive system of leaf analysis and its use for diagnosing crop nutrient status. Commun. Soil Sci. Plant Anal. 1982, 13, 1035–1059. [Google Scholar] [CrossRef]
- Scott, S.J.; Jones, R.A.; Williams, W.A. Review of data analysis methods for seed germination. Crop Sci. 1984, 24, 1192–1199. [Google Scholar] [CrossRef]
- Ellis, R.A.; Roberts, E.H. The quantification of ageing and survival in orthodox seeds. Seed Sci. Technol. 1981, 9, 373–409. [Google Scholar]
- Association of Official Seed Analysis (AOSA). Rules for testing seeds. J. Seed Technol. 1990, 12, 1–112. [Google Scholar]
- Farooq, M.; Basra, S.M.A.; Hafeez, K.; Ahmad, N. Thermal hardening: A new seed vigor enhancing tool in rice. J. Integr. Plant Biol. 2005, 47, 187–193. [Google Scholar] [CrossRef]
- Arnon, D.I. Copper enzymes in isolated chloroplasts, polyphenoxidase in Beta vulgaris. Plant Physiol. 1949, 24, 1–15. [Google Scholar] [CrossRef] [Green Version]
- Nagata, M.; Yamashta, I. Simple method for simultaneous determination of chlorophyll and carotenoides in tomato fruit. J. Jpn. Soc. Food Sci. Technol. 1992, 39, 925–928. [Google Scholar] [CrossRef] [Green Version]
- Elavarthi, S.; Martin, B. Spectrophotometric assays for antioxidant enzymes in plants. In Plant Stress Tolerance; Humana Press: New York, NY, USA, 2010; pp. 273–280. [Google Scholar]
- Van Zwieten, L.; Kimber, S.; Morris, S.; Chan, K.Y.; Downie, A.; Rust, J.; Joseph, S.; Cowie, A. Effects of biochar from slow pyrolysis of papermill waste on agronomic performance and soil fertility. Plant Soil 2010, 327, 235–246. [Google Scholar] [CrossRef]
- Barrow, C.J. Biochar: Potential for countering land degradation and for improving agriculture. Appl. Geogr. 2012, 34, 21–28. [Google Scholar] [CrossRef]
- Solaiman, Z.M.; Murphy, D.V.; Abbott, L.K. Biochars influence seed germination and early growth of seedlings. Plant Soil 2012, 353, 273–287. [Google Scholar] [CrossRef]
- Garnett, E.; Jonsson, L.M.; Dighton, J.; Murnen, K. Control of pitch pine seed germination and initial growth exerted by leaf litters and polyphenolic compounds. Biol. Fertile Soils 2004, 40, 421–426. [Google Scholar] [CrossRef]
- Hille, M.; den Quden, J. Charcoal and activated carbon as adsorbate to phytotoxic compounds—A comparative study. Oikos 2005, 108, 202–207. [Google Scholar] [CrossRef]
- Gaskin, J.W.; Steiner, C.; Harris, K.; Das, K.C.; Bibens, B. Effect of low-temperature pyrolysis conditions on biochar for agricultural use. Am. Soc. Agric. Biol. Eng. 2008, 51, 2061–2069. [Google Scholar]
- Laird, D.A.; Fleming, P.; Davis, D.D.; Horton, R.; Wang, B.; Karlen, D.I. Impact of biochar amendments on the quality of a typical Midwestern agricultural soil. Geoderma 2010, 158, 443–449. [Google Scholar] [CrossRef] [Green Version]
- Kammann, C.I.; Linsel, S.; Geobling, J.W.; Koyro, H.W. Influence of biochar on drought tolerance of Chenopodium quinoa Wild and on soil-plant relations. Plant Soil 2011, 345, 195–210. [Google Scholar] [CrossRef]
- Page-Dumroese, D.; Robichaud, P.R.; Brown, R.E.; Tirocke, J.M. Water repellency of two forest soils after biochar addition. Am. Soc. Agric. Biol. Eng. 2015, 58, 335–342. [Google Scholar]
- Rogovska, N.; Laird, D.; Cruse, R.; Trabue, S.; Heaton, E. Germination tests for assessing biochar quality. J. Environ. Qual. 2012, 41, 1014–1022. [Google Scholar] [CrossRef] [Green Version]
- Shaohua, L.; Pan, B.; Li, H.; Zhang, D.; Xing, B. Detecting free radicals in biochars and determining their ability to inhibit the germination and growth of corn, wheat and rice seedlings. Environ. Sci. Technol. 2014, 48, 8581–8587. [Google Scholar]
- Yang, L.; Liao, F.; Huang, M.; Yang, L.; Li, Y. Biochar improves sugarcane seedling root and soil properties under a pot experiment. Sugar Tech. 2015, 17, 36–40. [Google Scholar] [CrossRef]
- Zhang, L.; Wang, Y.; Mao, J.; Chen, B. Effects of biochar nanoparticles on seed germination and seedling growth. Environ. Pollut. 2020, 256, 113409. [Google Scholar] [CrossRef] [PubMed]
- Marzouk, E. Soil-less seed germination and root growth of date palm affected by biochar and metal nanoparticles. J. Soil Sci. Agric. Eng. 2017, 8, 77–84. [Google Scholar] [CrossRef]
- Benjamin, K.H. Herbaceous Perennial Seed Germination and Seedling Growth in Biochar-amended Propagation Substrates. HortScience 2018, 53, 236–241. [Google Scholar]
- Vaughn, S.F.; Kenar, J.A.; Thompson, A.R.; Peterson, S.C. Comparison of biochars derived from wood pellets and pelletized wheat straw as replacements for peat in potting substrates. Ind. Crops Prod. 2013, 511, 437–443. [Google Scholar] [CrossRef]
- Deenik, J.L.; McClellan, T.; Uehara, G.; Antal, M.J., Jr.; Campbell, S. Charcoal volatile matter content influences plant growth and soil nitrogen transformations. Soil Sci. Soc. Am. J. 2010, 744, 1259–1270. [Google Scholar] [CrossRef]
- Headlee, W.; Brewer, C.E.; Hall, R.B. Biochar as a substitute for vermiculite in potting mix for hybrid poplar. BioEnergy Res. 2014, 71, 120–131. [Google Scholar] [CrossRef] [Green Version]
- Graber, E.R.; Harel, Y.M.; Kolton, M.; Cytryn, E.; Silber, A.; David, D.R.; Tsechansky, L.; Borenshtein, M.; Elad, Y. Biochar impact on development and productivity of pepper and tomato grown in fertigated soilless media. Plant Soil 2010, 337, 481–496. [Google Scholar] [CrossRef]
- Alburquerque, J.A.; Calero, J.M.; Barron, V.; Torrent, J.; del Campillo, M.C.; Gallardo, A.; Villar, R. Effects of biochars produced from different feedstocks on soil properties and sunflower growth. J. Plant Nutr. Soil Sci. 2014, 177, 16–25. [Google Scholar] [CrossRef]
- Lehmann, J.; Rillig, M.C.; Thies, J.; Masiello, C.A.; Hockaday, W.C.; Crowley, D. Biochar effects on soil biota-a review. Soil Biol. Biochem. 2011, 43, 1812–1836. [Google Scholar] [CrossRef]
- Bu, X.L.; Xue, J.H.; Wu, Y.B.; Ma, W.B. Effect of Biochar on Seed Germination and Seedling Growth of Robinia pseudoacacia L. In Karst Calcareous Soils. Commun. Soil Sci. Plant Anal. 2020, 51, 352–363. [Google Scholar] [CrossRef]
- Samuel, A.; Hund, A.; Martinsen, V.; Cornelissen, G. Biochar amendment increases maize root surface areas and branching: A shovelomics study in Zambia. Plant Soil 2015, 395, 45–55. [Google Scholar]
- Kazemi, N.; Nejad, R.A.K.; ahimi, H.F.; Saadatmand, S.; Sattari, T.N. Effects of exogenous salicylic acid and nitric oxide on lipid peroxidation and antioxidant enzyme activities in leaves of Brassica napus L. under nickel stress. Sci. Hortic. 2010, 126, 402–407. [Google Scholar] [CrossRef]
- Wang, Y.; Pan, F.; Wang, G.; Zhang, G.; Wang, Y.; Chen, X.; Mao, Z. Effects of biochar on photosynthesis and antioxidative system of Malus hupehensis Rehd. seedlings under replant conditions. Sci. Hortic. 2014, 175, 9–15. [Google Scholar] [CrossRef]
- Afsharipoor, S.; Roosta, H. Effect of different planting beds on growth and development of strawberry in hydroponic and aquaponic cultivation systems. Plant Ecophysiol. 2011, 2, 61–66. [Google Scholar]
- Narkhede, S.D.; Attarde, S.B.; Ingle, S.T. Study on effect of chemical fertilizer and vermicompost on growth of chilli pepper plant (Capsicum annum). J. Environ. Health 2011, 6, 327–332. [Google Scholar]
- Malathi, M.; Uma, B. Vermicompost as a soil supplement to improve growth and yield of Amaranthus species. Res. J. Agric. Biol. Sci. 2009, 5, 1054–1060. [Google Scholar]
- Rondon, M.A.; Lehmann, J.; Ramirez, J.; Hurtado, M. Biological nitrogen fixation by common beans (Phaseolus vulgaris L.) increases with bio-char additions. Biol. Fertil. Soils 2007, 43, 699–708. [Google Scholar] [CrossRef]
- Qayyum, M.F.; Abid, M.; Danish, S.; Saeed, M.K.; Ali, M.A. Effect of various biochars on seed germination and carbon mineralization in an alkaline soil. Pak. J. Agric. Sci. 2015, 51, 977–982. [Google Scholar]
- Wang, J.; Pan, X.; Liu, Y.; Zhang, X.; Xiong, Z. Effects of biochar amendment in two soils on greenhouse gas emissions and crop production. Plant Soil 2012, 360, 287–298. [Google Scholar] [CrossRef]
- Leubner-Metzger, G. Hormonal interactions during seed dormancy release and germination. In Handbook of Seed Science and Technology; Basra, A., Ed.; The Haworth Press: Binghamton, NY, USA, 2006; pp. 303–342. [Google Scholar]
- Basso, A.S.; Miguez, F.E.; Laird, D.A.; Horton, R. Westgate, M. Assessing potential of biochar for increasing water-holding capacity of sandy soils. GCB Bioenergy 2013, 5, 132–143. [Google Scholar] [CrossRef] [Green Version]
- Lazcano, C.; Sampedro, L.; Zas, R.; Dominguez, J. Vermicompost enhances germination of the maritime pine (Pinus pinaster Ait.). N. For. 2010, 39, 387–400. [Google Scholar] [CrossRef] [Green Version]
- Agboola, K.; Moses, S.A. Effect of Biochar and Cowdung on Nodulation, Growth and Yield of Soybean (Glycine max L. Merrill). Int. J. Agric. Biosci. 2015, 4, 154–160. [Google Scholar]
- Alie, k.; Abibatu, K.; Mary, M.; Mansaray, P.; Sawyerr, A. Effects of biochar derived from maize stover and rice straw on the germination of their seeds. Am. J. Agric. For. 2014, 2, 246–249. [Google Scholar]
- Li, Y.; Shen, F.; Guo, H.; Wang, Z.; Yang, G.; Wang, L.; Zhang, Y.; Zeng, Y.; Deng, S. Phytotoxicity assessment on corn stover biochar, derived from fast pyrolysis, based on seed germination, early growth, and potential plant cell damage. Environ. Sci. Pollut. Res. 2015, 22, 9534–9543. [Google Scholar] [CrossRef] [PubMed]
- Thies, J.E.; Rillig, M.C. Characteristics of biochar: Biological properties. In Biochar Environmental Management: Science and Technology; Routledge: London, UK, 2009; pp. 85–105. [Google Scholar]
- Liu, Z.; Chen, X.; Jing, Y.; Li, Q.; Zhang, J.; Huang, Q. Effects of biochar amendment on rapeseed and sweet potato yields and water stable aggregate in upland red soil. Catena 2014, 123, 45–50. [Google Scholar] [CrossRef]
- Ding, Y.; Liu, Y.; Liu, S.; Li, Z.; Tan, X.; Huang, X.; Zeng, G.; Zhou, L.; Zheng, B. Biochar to improve soil fertility. A review. Agron. Sustain. Dev. 2016, 36, 1–18. [Google Scholar] [CrossRef] [Green Version]




| Parameters | Units | Pyrolysis Temperature (350 °C) |
|---|---|---|
| Yield | % | 43–46 |
| pH1:20 | - | 7.10 |
| EC1:20 | dS m−1 | 0.73 |
| Ash content | % | 13.2 |
| Moisture content | % | 2.49 |
| Cation exchange capacity (CEC) | cmolc kg−1 | 43–45 |
| Carbon | % | 58.23 |
| Nitrogen | % | 1.33 |
| Phosphorus | % | 0.43 |
| Potassium | % | 1.02 |
| Sulphur | % | 0.93 |
| Biochar Level (%) | Seedlings Shoot | Seedlings Root | ||||
|---|---|---|---|---|---|---|
| Length (cm) | Fresh Weight (g) | Dry Weight (g) | Length (cm) | Fresh Weight (g) | Dry Weight (g) | |
| Control | 23.33 ± 1.45d | 0.67 ± 0.02d | 0.063 ± 0.002e | 13.33 ± 1.45d | 0.37 ± 0.02d | 0.090 ± 0.004d |
| 0.5 | 28.33 ± 1.67bc | 0.85 ± 0.05c | 0.074 ± 0.004cd | 21.00 ± 1.53bc | 0.47 ± 0.02bc | 0.098 ± 0.005cd |
| 1.0 | 32.33 ± 0.88ab | 1.01 ± 0.02ab | 0.085 ± 0.002ab | 26.67 ± 1.67a | 0.52 ± 0.02ab | 0.114 ± 0.003ab |
| 1.5 | 34.00 ± 0.58a | 1.09 ± 0.05a | 0.088 ± 0.004ab | 27.33 ± 1.20a | 0.57 ± 0.02a | 0.119 ± 0.002ab |
| 2.0 | 28.67 ± 1.76bc | 1.08 ± 0.07ab | 0.089 ± 0.003a | 25.00 ± 1.15ab | 0.52 ± 0.05ab | 0.122 ± 0.003a |
| 2.5 | 26.33 ± 1.20cd | 1.03 ± 0.06ab | 0.078 ± 0.003bc | 20.33 ± 1.33c | 0.42 ± 0.03cd | 0.107 ± 0.004bc |
| 3.0 | 25.67 ± 2.03cd | 0.94 ± 0.03bc | 0.063 ± 0.005de | 18.00 ± 1.53c | 0.40 ± 0.03cd | 0.100 ± 0.005cd |
| Biochar Level (%) | RWC (%) | Chlorophyll a mg g−1 Fresh Weight | Chlorophyll b mg g−1 Fresh Weight | Chlorophyll a + b | SOD U g−1 fw min−1 | CAT U g−1 fw h−1 |
|---|---|---|---|---|---|---|
| Control | 61 ± 2.08d | 1.40 ± 0.11c | 0.82 ± 0.02e | 2.20 ± 0.13c | 11.93 ± 0.73a | 15.20 ± 1.17ab |
| 0.5 | 63 ± 1.86cd | 1.55 ± 0.07c | 0.87 ± 0.03de | 2.40 ± 0.09c | 11.80 ± 0.98a | 14.68 ± 0.86ab |
| 1.0 | 67 ± 2.31cd | 1.98 ± 0.08b | 0.97 ± 0.04cd | 2.95 ± 0.13b | 11.68 ± 0.88a | 13.68 ± 0.88b |
| 1.5 | 68 ± 3.53bd | 2.43 ± 0.11a | 0.99 ± 0.05bc | 3.41 ± 0.16a | 11.31 ± 0.65a | 14.33 ± 0.34ab |
| 2.0 | 71 ± 2.96bc | 2.31 ± 0.06a | 1.17 ± 0.04a | 3.47 ± 0.10a | 11.66 ± 0.32a | 15.68 ± 0.88ab |
| 2.5 | 76 ± 1.53ab | 2.30 ± 0.13a | 1.10 ± 0.05ab | 3.39 ± 0.18a | 12.34 ± 0.33a | 16.01 ± 0.58ab |
| 3.0 | 84 ± 2.91a | 2.20 ± 0.08ab | 0.92 ± 0.04ce | 3.11 ± 0.07ab | 12.68 ± 0.88a | 16.68 ± 1.33a |
| Parameter | GP | GE | MET | EI | SV | RWC | Chl (a + b) | CAT | SOD | SDW |
|---|---|---|---|---|---|---|---|---|---|---|
| GE | 0.632 *** | |||||||||
| MET | −0.137 ns | −0.121ns | ||||||||
| EI | 0.598 *** | 0.249 ns | −0.173 ns | |||||||
| SV | 0.756 *** | 0.563 ** | −0.432 ** | 0.509** | ||||||
| RWC | 0.261 ns | 0.302 ns | 0.287 ns | 0.329 ns | 0.022 ns | |||||
| Chl (a + b) | 0.600 *** | 0.636 *** | −0.214 ns | 0.372 ns | 0.583 ** | 0.598 *** | ||||
| CAT | −0.105 ns | 0.099 ns | −0.170 ns | −0.132 ns | −0.238 ns | 0.257 ns | 0.178 ns | |||
| SOD | −0.099 ns | 0.079 ns | −0.166 ns | −0.236 ns | −0.148 ns | 0.068 ns | −0.050 ns | 0.567 ** | ||
| SDW | 0.480 ** | 0.648 *** | −0.407 ns | 0.216 ns | 0.800 *** | −0.179 ns | 0.502 ** | −0.144 ns | −0.215 ns | |
| RDW | 0.604 *** | 0.599 *** | −0.101 ns | 0.257 ns | 0.711 *** | 0.160 ns | 0.647 *** | −0.253 ns | −0.410 ns | 0.787 *** |
Publisher’s Note: MDPI stays neutral with regard to jurisdictional claims in published maps and institutional affiliations. |
© 2021 by the authors. Licensee MDPI, Basel, Switzerland. This article is an open access article distributed under the terms and conditions of the Creative Commons Attribution (CC BY) license (https://creativecommons.org/licenses/by/4.0/).
Share and Cite
Ali, L.; Xiukang, W.; Naveed, M.; Ashraf, S.; Nadeem, S.M.; Haider, F.U.; Mustafa, A. Impact of Biochar Application on Germination Behavior and Early Growth of Maize Seedlings: Insights from a Growth Room Experiment. Appl. Sci. 2021, 11, 11666. https://doi.org/10.3390/app112411666
Ali L, Xiukang W, Naveed M, Ashraf S, Nadeem SM, Haider FU, Mustafa A. Impact of Biochar Application on Germination Behavior and Early Growth of Maize Seedlings: Insights from a Growth Room Experiment. Applied Sciences. 2021; 11(24):11666. https://doi.org/10.3390/app112411666
Chicago/Turabian StyleAli, Liaqat, Wang Xiukang, Muhammad Naveed, Sobia Ashraf, Sajid Mahmood Nadeem, Fasih Ullah Haider, and Adnan Mustafa. 2021. "Impact of Biochar Application on Germination Behavior and Early Growth of Maize Seedlings: Insights from a Growth Room Experiment" Applied Sciences 11, no. 24: 11666. https://doi.org/10.3390/app112411666
APA StyleAli, L., Xiukang, W., Naveed, M., Ashraf, S., Nadeem, S. M., Haider, F. U., & Mustafa, A. (2021). Impact of Biochar Application on Germination Behavior and Early Growth of Maize Seedlings: Insights from a Growth Room Experiment. Applied Sciences, 11(24), 11666. https://doi.org/10.3390/app112411666

