Prediction of Deflection of Shear-Critical RC Beams Using Compatibility-Aided Truss Model
Abstract
:1. Introduction
2. Calculating Method of Deflection of Shear-Critical RC Beams
3. Shear Analytical Model for Calculating Shear Deflection
3.1. Governing Equations
3.2. Calculation Procedure
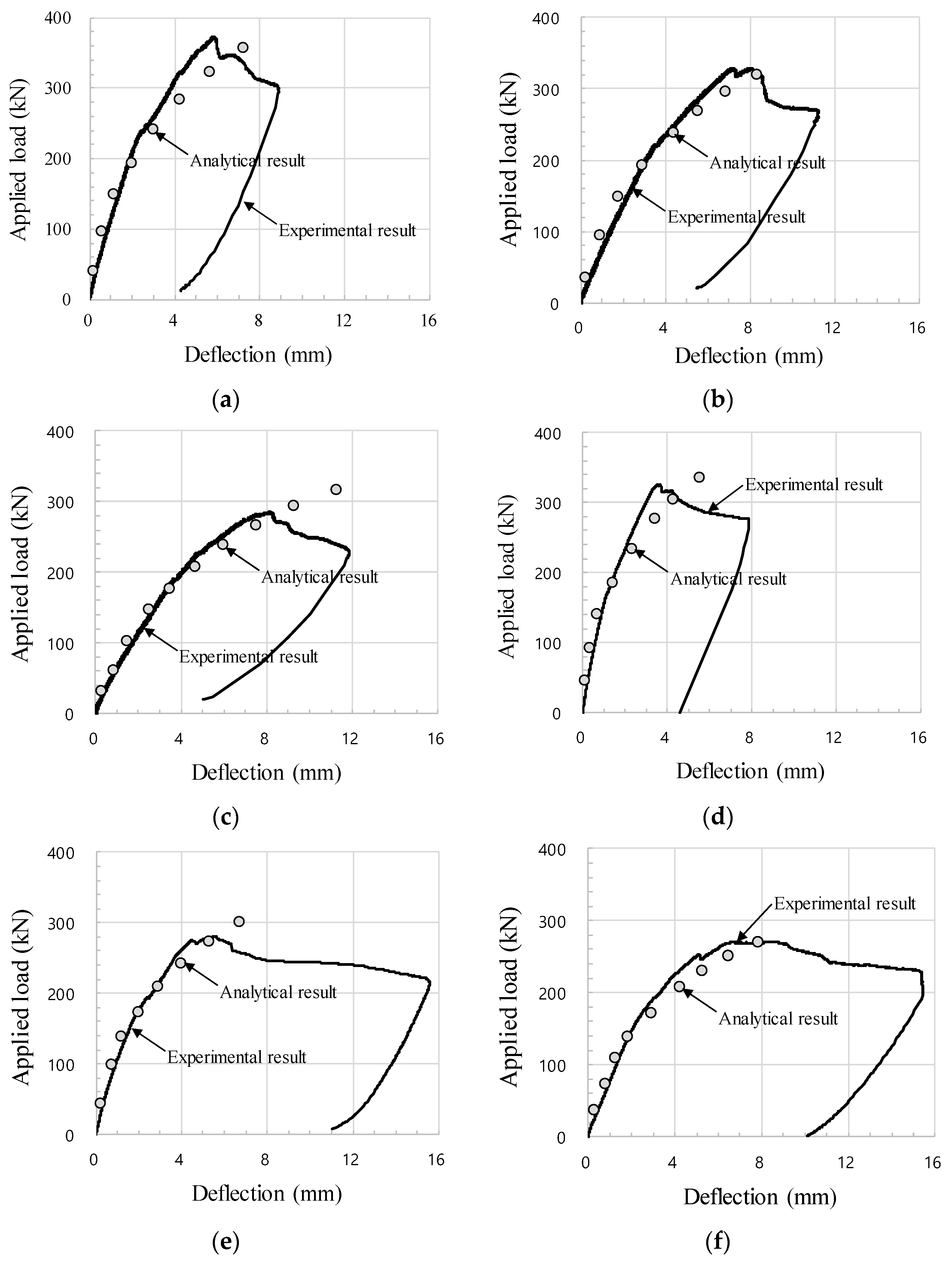
4. Verification of Proposed Method
4.1. Details of RC Beam Specimens Tested in Previous Study
4.2. Verification of Proposed Method
5. Conclusions
- (1)
- The flexural deflection analytically obtained using the effective moment of inertia substantially underestimated the experimental results for the deflection at peak load with an average of 0.44. This is because shear deflection increases as the shear deterioration of shear-critical RC beams occurs. However, the bending theory does not consider this phenomenon. On the other hand, the proposed analytical method predicted an average of 1.02 for the peak load and an average of 1.23 for the deflection at peak load. Although the deflection prediction using the proposed method gave somewhat conservative results, it was shown to be reliable and reasonable in terms of applicability.
- (2)
- The experimental results showed that the strain of the tension reinforcing bars behaved almost linearly until the peak load, even if the shear-critical RC beams experienced shear deterioration. The superposition of flexural and shear deflections is a reasonable for the analysis of this result. In contrast, while the shear deformation increased rapidly after the peak load, the strain of the tension reinforcing bars no longer increased. Therefore, after reaching the peak load in the shear-critical RC beams, flexural and shear deflections cannot be superposed, and only the shear deflection obtained from the shear analytical model can be used.
- (3)
- The load–deflection curves of shear-critical RC beams obtained using the proposed method are similar to those obtained from experimental results. By analyzing the deflection of the specimens in various load stages by using the proposed method, the experimental results were predicted to be relatively reasonably with an average of 1.12 and a COV of 13.2%. In contrast, when only the flexural deflection based on the bending theory was considered, the experimental result was considerably underestimated with an average of 0.65.
Funding
Institutional Review Board Statement
Informed Consent Statement
Data Availability Statement
Conflicts of Interest
Notations
| shear spans of RC beam | |
| cross-sectional area of tension reinforcement | |
| beam width of RC beam | |
| effective depth of RC beam | |
| effective shear depth of RC beam, taken as 0.9d | |
| elastic modulus of concrete | |
| elastic modulus of steel bar | |
| compressive strength of concrete | |
| , | stresses of reinforcement in the l- and t-directions, respectively |
| , | yield strengths of longitudinal and transverse steel bars |
| moment of inertia of cracked section transformed to concrete | |
| effective moment of inertia | |
| moment of inertia of gloss concrete section about centroidal axis | |
| lever arm, taken as 0.9d | |
| clear span of RC beam | |
| moment at which the deflection is calculated | |
| cracking moment | |
| peak load of RC beam | |
| crack spacing | |
| shear force | |
| w | crack width |
| initial angle of cracks due to external loads | |
| angle between the l- and m- directions | |
| shear strain in the m-n coordinate system | |
| average shear strain of RC beam | |
| crack slip | |
| deflection measured in experiment | |
| flexural deflection of RC beam calculated using Equations (2) and (3) | |
| deflection of RC beam calculated using proposed method | |
| deflection of RC beam due to shear | |
| total deflection of RC beam | |
| deflection at peak load of RC beam | |
| deflection at peak load of RC beam measured in experiment | |
| flexural deflection of RC beam at peak load calculated using Equations (2) and (3) | |
| strain at peak stress in the stress-strain relationship of concrete | |
| , | principal tensile and compressive strains of concrete, respectively |
| cracking stain of concrete, taken as 0.00008 | |
| , | strains in the l- and t-directions, respectively |
| , | strains in the m- and n-directions, respectively |
| parameter defined as | |
| softening coefficient | |
| , | reinforcement ratios in the l- and t-directions, respectively |
| total steel ratio in the l-direction, taken as tension reinforcement ratio in this study | |
| steel ratio resisting bending moment in the l-direction | |
| , | principal tensile and compressive stresses of concrete, respectively |
| cracking strength of concrete | |
| , | applied normal stresses acting in the l–t coordinate system, respectively |
| , | concrete shear resistances in the l–t coordinate system, respectively |
| , | concrete normal stresses in the m–n coordinate system, respectively |
| , | applied shear stress and concrete shear stress in the l–t coordinate system, respectively, and |
| concrete shear stress in the m–n coordinate system |
References
- Branson, D.E. Instantaneous and Time-Dependent Deflections on Simple and Continuous Reinforced Concrete Beams; HPR Report No. 7, Part 1; Alabama Highway Department, Bureau of Public Roads: Montgomery, AL, USA, 1965; pp. 1–78. [Google Scholar]
- Grossman, J.S. Simplified computations for effective moment of inertia Ie and minimum thickness to avoid deflection computations. ACI J. Proc. 1981, 78, 423–434. [Google Scholar]
- Al-Shaikh, A.H.; Al-Zaid, R.Z. Effect of reinforcement ratio on the effective moment of inertia of reinforced concrete beams. ACI Struct. J. 1993, 90, 144–149. [Google Scholar]
- Araújo, J.M. Improvement of the ACI method for calculation of deflections of reinforced concrete beams. Theory Pract. Civ. Eng. 2005, 7, 49–60. [Google Scholar]
- Issa, M.S.; Mahmoud, M.R.; Torkey, A.M.; Mostafa, M.T. Effective moment of inertia of reinforced medium strength concrete beams. HBRC J. 2009, 5, 47–58. [Google Scholar]
- Kheyroddin, A.; Maleki, F. Prediction of effective moment of inertia for hybrid FRP-steel reinforced concrete beams using the genetic algorithm. Numer. Methods Civ. Eng. 2017, 2, 15–23. [Google Scholar] [CrossRef]
- Bertero, R.; Bertero, A. Statistical evaluation of minimum thickness provisions for slab deflection control. ACI Struct. J. 2018, 115, 1659–1670. [Google Scholar] [CrossRef]
- Bischoff, P.H. Reevaluation of deflection prediction for concrete beams reinforced with steel and fiber-reinforced polymer bars. J. Struct. Eng. 2005, 131, 752–767. [Google Scholar] [CrossRef]
- Scanlon, A.; Bischoff, P.H. Shrinkage restraint and loading history effects on deflections of flexural members. ACI Struct. J. 2008, 105, 498–506. [Google Scholar]
- ACI Committee 318. Building Code Requirements for Structural Concrete (ACI 318M-14) and Commentary (ACI 318RM-14); American Concrete Institute: Farmington Hills, MI, USA, 2015; 519p. [Google Scholar]
- ACI Committee 318. Building Code Requirements for Structural Concrete (ACI 318-19) and Commentary (ACI 318R-19); American Concrete Institute: Farmington Hills, MI, USA, 2019; 623p. [Google Scholar]
- Mitchell, D.; Collins, M.P. Diagonal compression field theory—A rational model for structural concrete in pure torsion. ACI J. Proc. 1974, 71, 396–408. [Google Scholar]
- Vecchio, F.J.; Collins, M.P. The modified compression-field theory for reinforced concrete elements subjected to shear. ACI Struct. J. 1986, 83, 219–231. [Google Scholar]
- Hsu, T.T.C. Softened truss model theory for shear and torsion. ACI Struct. J. 1988, 85, 624–635. [Google Scholar]
- Pang, X.B.; Hsu, T.T.C. Fixed angle softened truss model for reinforced concrete. ACI Struct. J. 1996, 93, 197–207. [Google Scholar]
- Lee, J.-Y.; Kim, S.-W.; Mansour, M.Y. Nonlinear analysis of shear-critical reinforced concrete beams using fixed angle theory. J. Struct. Eng. 2011, 137, 1017–1029. [Google Scholar] [CrossRef]
- Hognestard, E. A Study of Combined Bending and Axial Load in Reinforced Concrete Members; Bulletin Series No. 399; University of Illinois Engineering Experimental Station: Champaign, IL, USA, 1951; 128p. [Google Scholar]
- Li, B. Shear Transfer Behavior of Cracked Concrete under Cyclic Loading. Ph.D. Thesis, University of Tokyo, Tokyo, Japan, 1988; 121p. [Google Scholar]








| Conditions | Equations |
|---|---|
| Stress equilibrium equations | |
| Strain compatibility equations |
| Materials | Formulas | Behavior Characteristics | Ref. |
|---|---|---|---|
| Concrete in compression | ![]() | [13,17] | |
| Concrete in tension | , , | ![]() | [13] |
| Concrete in shear | ![]() | [18] | |
| Steel bar | ![]() | [16] |
| Specimens | Experimental Details and Results | Analytical Results | |||||||||
|---|---|---|---|---|---|---|---|---|---|---|---|
| a/d | |||||||||||
| S1-3.0 | 42.2 | 3.0 | 3.60 | 402.0 | 0.215 | 0.05 | 372.5 | 5.86 | 0.39 | 1.23 | 0.96 |
| S1-3.5 | 42.2 | 3.5 | 3.60 | 402.0 | 0.215 | 0.05 | 327.5 | 8.08 | 0.41 | 1.03 | 0.98 |
| S1-4.0 | 42.2 | 4.0 | 3.60 | 436.3 | 0.215 | 0.05 | 284.3 | 8.15 | 0.60 | 1.39 | 1.11 |
| S2-2.5 | 37.0 | 2.5 | 3.29 | 402.0 | 0.324 | 0.09 | 325.4 | 3.55 | 0.42 | 1.58 | 1.03 |
| S2-3.0 | 37.0 | 3.0 | 3.29 | 402.0 | 0.324 | 0.09 | 280.3 | 5.56 | 0.42 | 1.21 | 1.07 |
| S3-3.5 | 37.0 | 3.5 | 3.29 | 402.0 | 0.324 | 0.09 | 271.5 | 8.72 | 0.40 | 0.95 | 0.99 |
| Mean | 0.44 | 1.23 | 1.02 | ||||||||
| COV | 17.9% | 18.7% | 5.9% | ||||||||
| Specimens | Experimental | Analytical | Ana./Exp. | |||
|---|---|---|---|---|---|---|
| Load (kN) | ||||||
| S1-3.0 | 148.6 | 1.34 | 0.94 | 1.16 | 0.70 | 0.87 |
| 193.3 | 1.81 | 1.24 | 2.01 | 0.69 | 1.11 | |
| 240.4 | 2.54 | 1.55 | 3.04 | 0.61 | 1.20 | |
| 284.5 | 3.51 | 1.84 | 4.26 | 0.53 | 1.21 | |
| 323.4 | 4.26 | 2.10 | 5.67 | 0.49 | 1.33 | |
| S1-3.5 | 147.8 | 2.13 | 1.50 | 1.77 | 0.71 | 0.83 |
| 192.2 | 2.88 | 1.97 | 2.93 | 0.68 | 1.02 | |
| 238.8 | 4.05 | 2.46 | 4.39 | 0.61 | 1.08 | |
| 268.1 | 4.93 | 2.76 | 5.54 | 0.56 | 1.12 | |
| 295.2 | 5.83 | 3.05 | 6.85 | 0.52 | 1.18 | |
| S1-4.0 | 147.4 | 2.68 | 2.25 | 2.57 | 0.84 | 0.96 |
| 176.2 | 3.28 | 2.70 | 3.53 | 0.82 | 1.08 | |
| 207.2 | 4.23 | 3.18 | 4.68 | 0.75 | 1.11 | |
| 237.8 | 5.23 | 3.66 | 6.01 | 0.70 | 1.15 | |
| 266.8 | 6.58 | 4.11 | 7.54 | 0.62 | 1.15 | |
| S2-2.5 | 139.4 | 0.88 | 0.61 | 0.75 | 0.69 | 0.85 |
| 185.2 | 1.36 | 0.82 | 1.48 | 0.60 | 1.09 | |
| 233.2 | 2.02 | 1.04 | 2.40 | 0.51 | 1.19 | |
| 276.4 | 2.62 | 1.24 | 3.47 | 0.47 | 1.33 | |
| 304.2 | 3.06 | 1.36 | 4.36 | 0.45 | 1.43 | |
| S2-3.0 | 139.0 | 1.42 | 1.06 | 1.23 | 0.75 | 0.87 |
| 172.1 | 1.92 | 1.32 | 1.98 | 0.69 | 1.03 | |
| 208.2 | 2.8 | 1.61 | 2.92 | 0.57 | 1.04 | |
| 242.5 | 3.52 | 1.88 | 4.03 | 0.53 | 1.14 | |
| 273.4 | 4.39 | 2.12 | 5.30 | 0.48 | 1.21 | |
| S2-3.5 | 138.4 | 1.85 | 1.68 | 1.90 | 0.91 | 1.03 |
| 171.1 | 2.48 | 2.09 | 2.94 | 0.84 | 1.19 | |
| 206.6 | 3.48 | 2.54 | 4.27 | 0.73 | 1.23 | |
| 229.3 | 4.16 | 2.82 | 5.33 | 0.68 | 1.28 | |
| 250.5 | 5.02 | 3.09 | 6.54 | 0.61 | 1.30 | |
| Total | Mean | 0.65 | 1.12 | |||
| COV | 18.7% | 13.2% | ||||
Publisher’s Note: MDPI stays neutral with regard to jurisdictional claims in published maps and institutional affiliations. |
© 2021 by the author. Licensee MDPI, Basel, Switzerland. This article is an open access article distributed under the terms and conditions of the Creative Commons Attribution (CC BY) license (https://creativecommons.org/licenses/by/4.0/).
Share and Cite
Kim, S.-W. Prediction of Deflection of Shear-Critical RC Beams Using Compatibility-Aided Truss Model. Appl. Sci. 2021, 11, 11478. https://doi.org/10.3390/app112311478
Kim S-W. Prediction of Deflection of Shear-Critical RC Beams Using Compatibility-Aided Truss Model. Applied Sciences. 2021; 11(23):11478. https://doi.org/10.3390/app112311478
Chicago/Turabian StyleKim, Sang-Woo. 2021. "Prediction of Deflection of Shear-Critical RC Beams Using Compatibility-Aided Truss Model" Applied Sciences 11, no. 23: 11478. https://doi.org/10.3390/app112311478
APA StyleKim, S.-W. (2021). Prediction of Deflection of Shear-Critical RC Beams Using Compatibility-Aided Truss Model. Applied Sciences, 11(23), 11478. https://doi.org/10.3390/app112311478





