Functional Effects of Permeability on Oldroyd-B Fluid under Magnetization: A Comparison of Slipping and Non-Slipping Solutions
Abstract
:1. Introduction
2. Mathematical Model
3. Solution of the Problem
3.1. Exact Solution of Heat Profile
Nusselt Number
3.2. Exact Solution of Velocity Profile
4. Results and Discussion
5. Conclusions
- The temperature graphs show that the temperature profile decreases for higher values of .
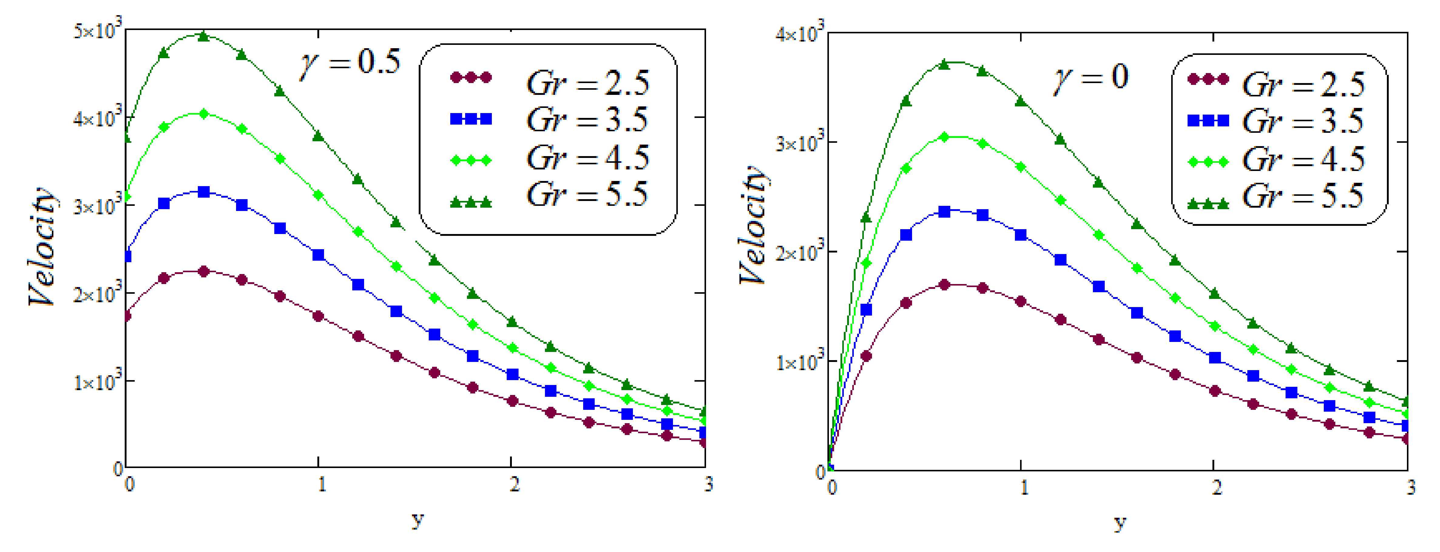
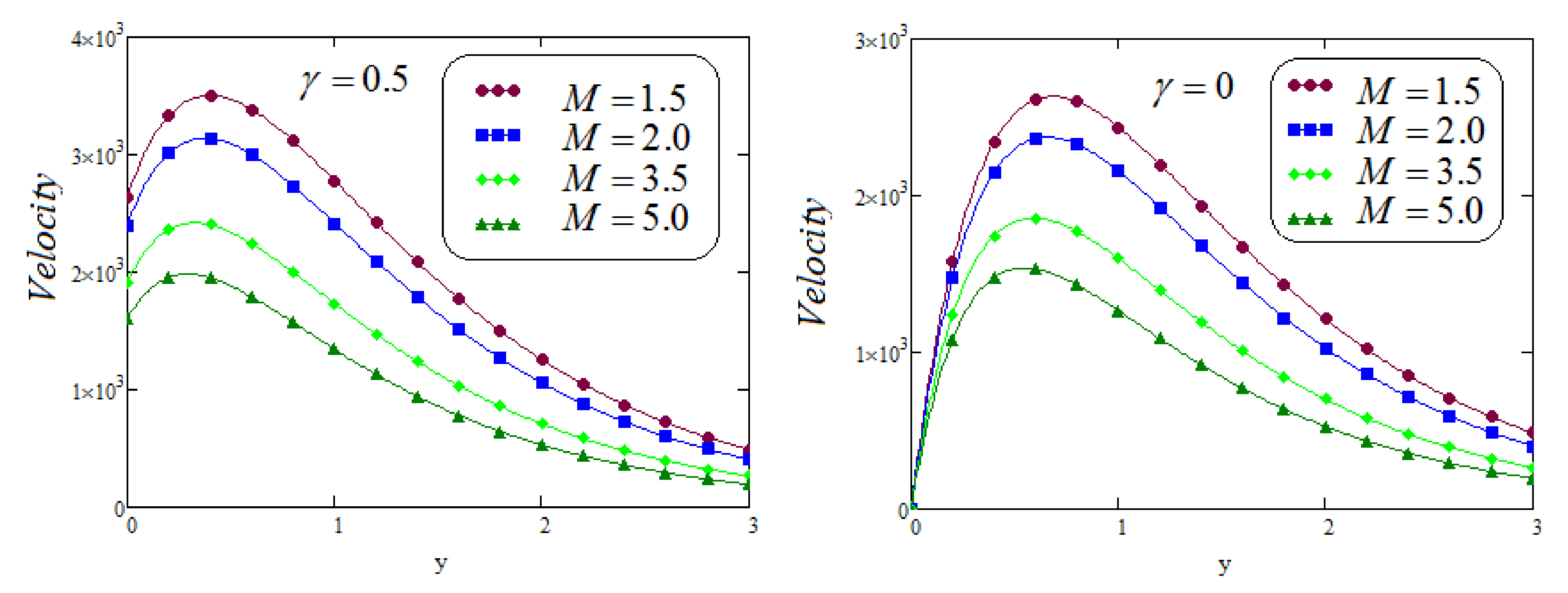
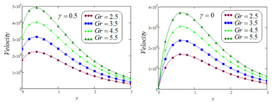
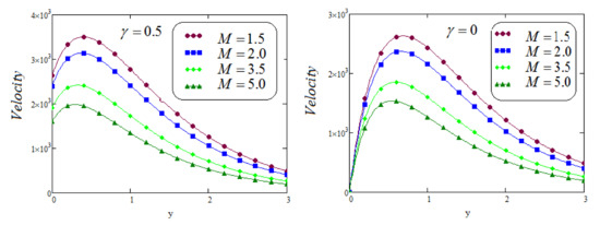
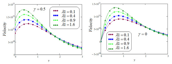
- The graphs for the velocity field under slip conditions as well as the velocity field under no-slip conditions show that the effects of and on the velocity contour are quite the opposite.
- From the graphs, one can see that the elevated values of M and reduced the velocity curve.
- The velocity profile was stimulated in function of the increasing values of .
- It can be observed that the velocity profile for no-slip flow is lower than the velocity profile for slip flow.
- It was analyzed that for both functions and , the velocity field represents the same curve pattern for all the involved system parameters.
Author Contributions
Funding
Institutional Review Board Statement
Informed Consent Statement
Data Availability Statement
Conflicts of Interest
Nomenclature
| Symbol | Quantity | Units |
| Non-dimensional velocity | ||
| Dynamic viscosity | (Kg) | |
| Dimensionless temperature | ||
| Kinematic coefficient of viscosity | () | |
| Thermal Grashof number | ||
| g | Acceleration due to gravity | () |
| Temperature of the plate | (K) | |
| Thermal expansion coefficient | (Kg·m) | |
| Temperature of fluid far away from the plat | (K) | |
| Fluid density | (Kg·m) | |
| Relaxation time | ||
| Electrical conductivity | (s·m) | |
| Retardation time | ||
| Specific heat at constant pressure | (j·KgK) | |
| Prandtl number | ||
| s | Laplace parameter | |
| Imposed magnetic field | (W·m) | |
| Q | Heat generation/absorption | (J·Kms) |
| M | Total magnetic field | |
| t | Time | (s) |
| k | Thermal conductivity of the fluid | (W·mK) |
| P | Pressure | (N·m) |
References
- Kahshan, M.; Lu, D.; Siddiqui, A.M. A Jeffrey fluid model for a porous-walled channel: Application to flat plate dialyzer. Sci. Rep. 2019, 9, 15879. [Google Scholar] [CrossRef] [Green Version]
- Farooq, U.; Lu, D.; Munir, S.; Ramzan, M.; Suleman, M.; Hussain, S. MHD flow of Maxwell fluid with nanomaterials due to an exponentially stretching surface. Sci. Rep. 2019, 9, 7312. [Google Scholar] [CrossRef] [Green Version]
- Raza, N.; Awan, A.U.; Haque, E.; Abdullah, M.; Rashidi, M.M. Unsteady flow of a Burgers’ fluid with Caputo fractional derivatives: A hybrid technique. Ain Shams Eng. J. 2019, 10, 319–325. [Google Scholar] [CrossRef]
- Shah, N.A.; Khan, I. Heat transfer analysis in a second grade fluid over and oscillating vertical plate using fractional Caputo-Fabrizio derivatives. Eur. Phys. J. C 2016, 76, 362. [Google Scholar] [CrossRef] [Green Version]
- Khan, A.S.; Nie, Y.; Shah, Z. Impact of thermal radiation on magnetohydrodynamic unsteady thin film flow of Sisko fluid over a stretching surface. Processes 2019, 7, 369. [Google Scholar] [CrossRef] [Green Version]
- Tanner, R.I. Note on the rayleigh problem for a visco–elastic fluid. Z. Angew. Math. Phys. 1962, 13, 573–580. [Google Scholar] [CrossRef]
- Fetecau, C.; Prasad, S.C.; Rajagopal, K.R. A note on the flow induced by a constantly accelerating plate in an Oldroyd–B fluid. Appl. Math. Model. 2007, 31, 647–654. [Google Scholar] [CrossRef]
- Fetecau, C.; Hayat, T.; Khan, M. Unsteady flow of an Oldroyd–B fluid induced by the impulsive motion of a plate between two side walls perpendicular to the plate. Acta Mech. 2008, 198, 21–33. [Google Scholar] [CrossRef]
- Gul, T.; Islam, S.; Shah, R.A.; Khalid, A.; Khan, I.; Shafie, S. Unsteady MHD thin film flow of an Oldroyd–B fluid over an oscillating inclined belt. PLoS ONE 2015, 10, e0126698. [Google Scholar]
- Tiwana, M.H.; Mann, A.B.; Rizwan, M.; Maqbool, K.; Javeed, S.; Raza, S.; Khan, M.S. Unsteady magnetohydrodynamic convective fluid flow of Oldroyd–B model considering ramped wall temperature and ramped wall velocity. Mathematics 2019, 7, 676. [Google Scholar] [CrossRef] [Green Version]
- Wan, R. Some new global results to the incompressible Oldroyd–B model. Z. Angew. Math. Phys. 2019, 70, 28. [Google Scholar] [CrossRef]
- Shakeel, A.; Ahmad, S.; Khan, H.; Shah, N.A.; Haq, S.U. Flows with slip of Oldroyd–B fluids over a moving plate. Adv. Math. Phys. 2016, 2016, 8619634. [Google Scholar] [CrossRef] [Green Version]
- Tahir, M.; Naeem, M.N.; Javaid, M.; Younas, M.; Imran, M.; Sadiq, N.; Safdar, R. Unsteady flow of fractional Oldroyd–B fluids through rotating annulus. Open Phys. 2018, 16, 193–200. [Google Scholar] [CrossRef]
- Wang, B.; Tahir, M.; Imran, M.; Javaid, M.; Jung, C.Y. Semi analytical solutions for fractional Oldroyd–B fluid through rotating annulus. IEEE Access 2019, 7, 72482–72491. [Google Scholar] [CrossRef]
- Elhanafy, A.; Guaily, A.; Elsaid, A. Numerical simulation of Oldroyd–B fluid with application to hemodynamics. Adv. Mech. Eng. 2019, 11, 1–7. [Google Scholar] [CrossRef] [Green Version]
- Ali, N.; Khan, S.U.; Sajid, M.; Abbas, Z. Flow and heat transfer of hydromagnetic Oldroyd–B fluid in a channel with stretching walls. Nonlinear Eng. 2016, 5, 73–79. [Google Scholar]
- Chen, J.L.S.; Smith, T.N. Forced Convection Heat Transfer from Non-isothermal Thin Needles. J. Heat Transf. 1978, 100, 358–362. [Google Scholar] [CrossRef]
- Jambal, O.; Shigechi, T.; Davaa, G.; Momoki, S. Effects of viscous dissipation and fluid axial heat conduction on heat transfer for non-Newtonian fluids in duct with uniform wall temperature. Int. Commun. Heat Mass Transf. 2005, 32, 1165–1173. [Google Scholar] [CrossRef]
- Zan, W.; Lei, W.; Bengt, S. Pressure drop and convective heat transfer of water and nanofluids in a double-pipe helical heat exchanger. Appl. Therm. Eng. 2013, 60, 266–274. [Google Scholar]
- Sheikholeslami, M.; Bandpy, M.G.; Ellahi, R.; Zeeshan, A. Simulation of MHD CuO-water nanofluid flow and convective heat transfer considering Lorentz forces. J. Magn. Magn. Mater. 2014, 369, 69–80. [Google Scholar] [CrossRef]
- Kashif, A.A.; Mukarrum, H.; Mirza, M.B. An Analytic Study of Molybdenum Disulfide Nanofluids Using Modern Approach of Atangana-Baleanu Fractional Derivatives. Eur. Phys. J. Plus 2017, 132, 439. [Google Scholar] [CrossRef]
- Bhojraj, L.; Abro, K.A.; Abdul, W.S. Thermodynamical analysis of heat transfer of gravity-driven fluid flow via fractional treatment: An analytical study. J. Therm. Anal. Calorim. 2020, 144, 155–165. [Google Scholar] [CrossRef]
- Solangi, K.H.; Kazi, S.N.; Luhur, M.R.; Badarudin, A.; Amiri, A.; Sadri, R.; Zubir, M.N.M.; Gharehkhani, S.; Teng, K.H. A comprehensive review of thermo-physical properties and convective heat transfer to nanofluids. Energy 2015, 89, 1065e86. [Google Scholar] [CrossRef]
- Shafiq, A.; Hammouch, Z.; Sindhu, T.N. Bioconvective MHD flow of tangent hyperbolic nanofluid with Newtonian heating. Int. J. Mech. Sci. 2017, 133, 759–766. [Google Scholar] [CrossRef]
- Hamid, M.; Usman, M.; Khan, Z.H. Dual solutions and stability analysis of flow and heat transfer of Casson fluid over a stretching sheet. Phys. Lett. A 2019, 383, 2400–2408. [Google Scholar] [CrossRef]
- Abdelmalek, Z.; Tayebi, T.; Dogonchi, A.S.; Chamkha, A.J.; Ganji, D.D.; Tlili, I. Role of various configurations of a wavy circular heater on convective heat transfer within an enclosure filled with nanofluid. Int. Commun. Heat Mass Transf. 2020, 113, 104525. [Google Scholar] [CrossRef]
- Kashif, A.A. A Fractional and Analytic Investigation of Thermo-Diffusion Process on Free Convection Flow: An Application to Surface Modification Technology. Eur. Phys. J. Plus 2020, 135, 31. [Google Scholar] [CrossRef]
- Reddy, M.G. Heat and mass transfer on magnetohydrodynamic peristaltic flow in a porous medium with partial slip. Alex. Eng. J. 2016, 55, 1225–1234. [Google Scholar] [CrossRef]
- Abro, K.A.; Gomez-Aguilar, J.F. Fractional modeling of fin on non-Fourier heat conduction via modern fractional differential operators. Arab. J. Sci. Eng. 2021, 46, 2901–2910. [Google Scholar] [CrossRef]
- Yin, C.; Zheng, L.; Zhang, C.; Zhang, X. Flow and heat transfer of nanofluids over a rotating disk with uniform stretching rate in the radial direction. Propuls. Power Res. 2017, 6, 25–30. [Google Scholar] [CrossRef]
- Imran, M.A.; Riaz, M.B.; Shah, N.A.; Zafar, A.A. Boundary layer ow of MHD generalized Maxwell fluid over an exponentially accelerated infinite vertical surface with slip and Newtonian heating at the boundary. Results Phys. 2018, 8, 1061–1067. [Google Scholar] [CrossRef]
- Kashif, A.A.; Abdon, A. Role of Non-integer and Integer Order Differentiations on the Relaxation Phenomena of Viscoelastic Fluid. Phys. Scr. 2020, 95, 035228. [Google Scholar] [CrossRef]
- Shaheen, A.; Asjad, M.I. Peristaltic flow of a Sisko fluid over a convectively heated surface with viscous dissipation. J. Phys. Chem. Solids 2018, 122, 210–227. [Google Scholar] [CrossRef]
- Rehman, A.U.; Riaz, M.B.; Saeed, S.T.; Yao, S. Dynamical Analysis of Radiation and Heat Transfer on MHD Second Grade Fluid. Comput. Model. Eng. Sci. 2021, 129, 689–703. [Google Scholar] [CrossRef]
- Riaz, M.B.; Abro, K.A.; Abualnaja, K.M.; Akgül, A.; Rehman, A.U.; Abbas, M.; Hamed, Y.S. Exact solutions involving special functions for unsteady convective flow of magnetohydrodynamic second grade fluid with ramped conditions. Adv. Differ. Equ. 2021, 2021, 408. [Google Scholar] [CrossRef]
- Abro, K.A. Numerical study and chaotic oscillations for aerodynamic model of wind turbine via fractal and fractional differential operators. Numer. Methods Partial. Differ. Equ. 2020, 2020, 1–15. [Google Scholar] [CrossRef]
- Wakif, A.; Boulahia, Z.; Mishra, S.R.; Rashidi, M.M.; Sehaqui, R. Influence of a uniform transverse magnetic field on the thermohydrodynamic stability in water-based nanofluids with metallic nanoparticles using the generalized Buongiorno’s mathematical model. Eur. Phys. J. Plus 2018, 133, 181. [Google Scholar] [CrossRef]
- Imran, M.A.; Aleem, M.; Riaz, M.B.; Ali, R.; Khan, I. A comprehensive report on convective flow of fractional (ABC) and (CF) MHD viscous fluid subject to generalized boundary conditions. Chaos Solitons Fractals 2018, 118, 274–289. [Google Scholar] [CrossRef]
- Muhammad, A.; Makinde, O.D. Thermo-dynamic analysis of unsteady MHD mixed convection with slip and thermal radiation over a permeable surface. Defect Diffus. Forum 2017, 374, 29–46. [Google Scholar] [CrossRef]
- Bhatti, M.M.; Rashidi, M.M. Study of heat and mass transfer with Joule heating on magnetohydrodynamic (MHD) peristaltic blood flow under the influence of Hall effect. Propuls Power Res. 2017, 6, 177–185. [Google Scholar] [CrossRef]
- Memon, I.Q.; Abro, K.A.; Solangi, M.A.; Shaikh, A.A. Functional shape effects of nanoparticles on nanofluid suspended in ethylene glycol through Mittage-Leffler approach. Phys. Scr. 2020, 96, 025005. [Google Scholar] [CrossRef]
- Abro, K.A. Fractional characterization of fluid and synergistic effects of free convective flow in circular pipe through Hankel transform. Phys. Fluids 2020, 32, 123102. [Google Scholar] [CrossRef]
- Riaz, M.B.; Awrejcewicz, J.; Rehman, A.U.; Akgül, A. Thermophysical Investigation of Oldroyd-B Fluid with Functional Effects of Permeability: Memory Effect Study Using Non-Singular Kernel Derivative Approach. Fractal Fract. 2021, 5, 124. [Google Scholar] [CrossRef]
- Riaz, M.B.; Saeed, S.T.; Baleanu, D.; Ghalib, M. Computational results with non-singular and non-local kernel flow of viscous fluid in vertical permeable medium with variant temperature. Front. Phys. 2020, 8, 275. [Google Scholar] [CrossRef]
- Abro, K.A.; Atangana, A. Dual fractional modeling of rate type fluid through non-local differentiation. Numer. Methods Partial. Differ. Equ. 2020, 2020, 1–16. [Google Scholar] [CrossRef]
- Afridi, M.I.; Qasim, M.; Wakif, A.; Hussanan, A. Second law analysis of dissipative nanofluid flow over a curved surface in the presence of Lorentz force: Utilization of the Chebyshev–Gauss–Lobatto spectral method. Nanomaterials 2019, 9, 195. [Google Scholar] [CrossRef] [Green Version]
- Abro, K.A.; Atangana, A. Numerical and mathematical analysis of induction motor by means of AB–fractal–fractional differentiation actuated by drilling system. Numer. Methods Partial. Differ. Equ. 2020, 1–15. [Google Scholar] [CrossRef]
- Abro, K.A.; Siyal, A.; Souayeh, B.; Atangana, A. Application of Statistical Method on Thermal Resistance and Conductance during Magnetization of Fractionalized Free Convection Flow. Int. Commun. Heat Mass Transf. 2020, 119, 104971. [Google Scholar] [CrossRef]
- Abro, K.A.; Soomro, M.; Atangana, A.; Gómez-Aguilar, J.F. Thermophysical properties of Maxwell Nanoluids via fractional derivatives with regular kernel. J. Therm. Anal. Calorim. 2020. [Google Scholar] [CrossRef]
- Rehman, A.U.; Riaz, M.B.; Awrejcewicz, J.; Baleanu, D. Exact solutions of thermomagetized unsteady non-singularized jeffery fluid: Effects of ramped velocity, concentration with newtonian heating. Results Phys. 2021, 26, 104367. [Google Scholar] [CrossRef]
- Rehman, A.U.; Riaz, M.B.; Akgul, A.; Saeed, S.T.; Baleanu, D. Heat and mass transport impact on MHD second grade fluid: A comparative analysis of fractional operators. Heat Transf. 2021, 50, 7042–7064. [Google Scholar] [CrossRef]
- Zhu, Y.; Granick, S. Limits of the hydrodynamic no-slip boundary condition. Phys. Rev. Lett. 2002, 88, 106102. [Google Scholar] [CrossRef] [Green Version]
- Navier, C.L.M.H. Memoire surles du movement des. Mem. Acad. Sci. Inst. Fr. 1823, 1, 414–416. [Google Scholar]
- Blake, T.D. Slip between a liquid and a solid: DM Tolstoi’s (1952) theory reconsidered. Colloids Surf. 1990, 47, 135–145. [Google Scholar] [CrossRef]
- Pit, R.; Hervet, H.; Leger, L. Friction and slip of a simple liquid at a solid surface. Tribol. Lett. 1999, 7, 147–152. [Google Scholar] [CrossRef]
- Asghar, S.; Parveen, S.; Hanif, S.; Siddiqui, A.M.; Hayat, T. Hall effects on the unsteady hydromagnetic flows of an Oldroyd–B fluid. Int. J. Eng. Sci. 2003, 41, 609–619. [Google Scholar] [CrossRef]
- Anwar, T.; Khan, I.; Kumam, P.; Watthayu, W. Impacts of thermal radiation and heat consumption/generation on unsteady MHD convection flow of an Oldroyd–B fluid with ramped velocity and temperature in a generalized Darcy medium. Mathematics 2020, 8, 130. [Google Scholar] [CrossRef] [Green Version]
- Martyushev, S.G.; Sheremet, M.A. Characteristics of Rosseland and P-1 approximations in modeling nonstationary conditions of convection-radiation heat transfer in an enclosure with a local energy source. J. Eng. Thermophys. 2012, 21, 111–118. [Google Scholar] [CrossRef]
- Ghalib, M.M.; Zafar, A.A.; Farman1, M.; Akgul, A.; Ahmad, M.O.; Ahmad, A. Unsteady MHD flow of Maxwell fluid with (CF) non-integer derivative model having slip/non-slip fluid flow and Newtonian heating at the boundary. Indian J. Phys. 2021. [Google Scholar] [CrossRef]












Publisher’s Note: MDPI stays neutral with regard to jurisdictional claims in published maps and institutional affiliations. |
© 2021 by the authors. Licensee MDPI, Basel, Switzerland. This article is an open access article distributed under the terms and conditions of the Creative Commons Attribution (CC BY) license (https://creativecommons.org/licenses/by/4.0/).
Share and Cite
Riaz, M.B.; Awrejcewicz, J.; Rehman, A.U. Functional Effects of Permeability on Oldroyd-B Fluid under Magnetization: A Comparison of Slipping and Non-Slipping Solutions. Appl. Sci. 2021, 11, 11477. https://doi.org/10.3390/app112311477
Riaz MB, Awrejcewicz J, Rehman AU. Functional Effects of Permeability on Oldroyd-B Fluid under Magnetization: A Comparison of Slipping and Non-Slipping Solutions. Applied Sciences. 2021; 11(23):11477. https://doi.org/10.3390/app112311477
Chicago/Turabian StyleRiaz, Muhammad Bilal, Jan Awrejcewicz, and Aziz Ur Rehman. 2021. "Functional Effects of Permeability on Oldroyd-B Fluid under Magnetization: A Comparison of Slipping and Non-Slipping Solutions" Applied Sciences 11, no. 23: 11477. https://doi.org/10.3390/app112311477
APA StyleRiaz, M. B., Awrejcewicz, J., & Rehman, A. U. (2021). Functional Effects of Permeability on Oldroyd-B Fluid under Magnetization: A Comparison of Slipping and Non-Slipping Solutions. Applied Sciences, 11(23), 11477. https://doi.org/10.3390/app112311477

