Experimental and Numerical Dynamic Identification of an Aerostatic Electro-Spindle
Abstract
Featured Application
Abstract
1. Introduction
2. Experimental Setup
2.1. The Prototype
2.2. Shaft-Displacement Detection
2.3. Static Stiffness on the Nose
2.4. Experimental Characterization at Null Rotational Speed
2.4.1. Single-DOF Modal-Identification Analysis through LDM and HPM
2.4.2. Multi-DOF Modal Analysis with LSCEM
2.4.3. LSCEM vs. LDM and HPM (Experimental)
3. Numerical Model
- The reaction forces and moments are calculated using Equations (11) and (12);
- The center-of-mass accelerations and the angular accelerations of the rotor are computed from the equations of motion (10);
- The state-space vector at time is obtained from Equation (13);
- The film thickness at time is updated from Equation (8);
- The pressure and shear-stress distributions at time are updated by solving RE (2) and using Equation (9);
- Go back to point 1.
4. Numerical Results
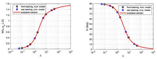
4.1. Static Validation with Analytical Solution of Plain Dynamic Journal Bearings
4.2. Choice of Grid Resolution
4.3. Static Stiffness of Journal Bearings
4.4. Stiffness on the Nose
4.5. Simplified Natural Frequencies
4.6. Choice of the Time Step
4.7. Damped Natural Frequencies and Damping-Factor Identification
4.7.1. Logarithmic Decrement Method (LDM)
- The frequency obtained from the average period of the oscillation is quite similar to one of the two frequencies detected in the FFT spectrum; in particular, the higher frequency is visible only on the rear plane (signal ), while the lower frequency is present on the other signals (, and );
- in most cases, the application of LDM to signals with durations of 5 and 10 ms does not influence the results;
- depending on the initial condition, one of the two modes prevails;
- due to the short duration of the vibration at = 0.3 MPa, which is highly damped, the FFT algorithm does not provide a good estimation of the frequency spectra;
- the frequency increases with the supply pressure, while the damping factor decreases;
- by increasing the air gap, the frequency decreases, as well as the damping factor.
4.7.2. LSCE Method
4.7.3. Comparison of LSCEM and LDM for Numerical Simulations
5. Comparison between Experimental and Numerical Results
6. Conclusions
Author Contributions
Funding
Institutional Review Board Statement
Informed Consent Statement
Conflicts of Interest
Nomenclature
| modal costant | |
| Bearing radial clearance | |
| Journal bearing diameter | |
| Time step | |
| Supply holes diameter | |
| Static rotor unbalance | |
| Bearing reaction force | |
| External force applied on rotor | |
| Sampling frequency | |
| Input flow per unit surface through the supply orifices | |
| Impulse-response function (IRF) | |
| Radial-film thickness for the front journal bearing | |
| Radial-film thickness for the rear journal bearing | |
| Transversal inertia moment of rotor | |
| Polar inertia moment of rotor | |
| Radial stiffness of journal bearings | |
| Radial stiffness of the front journal bearing | |
| Radial stiffness of the spindle evaluated on the nose | |
| Radial stiffness of the rear journal bearing | |
| Tilting stiffness of front journal bearing with respect to its center | |
| Tilting stiffness of rear journal bearing with respect to its center | |
| Journal bearing length | |
| Axial distance between the rotor center of mass and the centers of the front and rear journal bearings | |
| Reaction moment in bearings | |
| Mass of rotor | |
| Order of the least squared complex exponential (LSCE) fitting | |
| Absolute pressure | |
| Ambient pressure | |
| Supply absolute pressure | |
| Journal bearing radius | |
| rth pole of the system | |
| Generic position measured along the x-axis | |
| Center-of-mass position measured along the x-axis | |
| Spindle nose position measured along the x-axis | |
| Position measured along the x-axis in the front plane | |
| Position measured along the x-axis in the rear plane | |
| Generic position measured along the y-axis | |
| Center-of-mass position measured along the y-axis | |
| Spindle nose position measured along the y-axis | |
| Signal reconstructed by means of the identified modal parameters | |
| Position measured along the y-axis in the front plane | |
| Position measured along the y-axis in the rear plane | |
| Generic position measured along the z-axis | |
| Front-bearing center axial coordinate | |
| Rotor center-of-mass axial coordinate | |
| Axial coordinate of the rear end of the rotor | |
| Spindle nose position measured along the z-axis | |
| Front-bearing center axial coordinate | |
| Axial coordinate of the front end of the rotor | |
| Axial position of the front measuring plane | |
| Axial position of the rear measuring plane | |
| Dimensionless load capacity | |
| Time | |
| Time inteval used for LDM | |
| Eccentricity ratio | |
| Phase angle | |
| Angle identifing dynamic unbalance of the rotor | |
| Attitude angle | |
| Bearing number | |
| Air viscosity | |
| Dynamic unbalance of the rotor | |
| Rotations around x and y axes | |
| Shear stress | |
| Damping factor | |
| Angular speed | |
| Conical mode-shape frequency of the spindle | |
| Cylindrical mode-shape frequency of the spindle | |
| Damped natural frequency | |
| Undamped natural frequency |
Appendix A
(μm) | (ms) | Initial Condition | Signal | (krpm) | (krpm) | (krpm) |
|---|---|---|---|---|---|---|
| 16/20 | 5 | 1 | 55.556 | 0.345 | 49.80 82.03 | |
| 78.125 | 0.219 | |||||
| 55.046 | 0.361 | |||||
| 56.250 | 0.325 | |||||
| 5 | 2 | 55.556 | 0.346 | 49.80 82.03 | ||
| 78.125 | 0.220 | |||||
| 55.046 | 0.361 | |||||
| 56.426 | 0.326 | |||||
| 19/23 | 5 | 1 | 49.180 | 0.171 | 48.40 68.80 | |
| 69.971 | 0.151 | |||||
| 49.180 | 0.174 | |||||
| 49.315 | 0.167 | |||||
| 5 | 2 | 49.180 | 0.171 | 48.00 71.60 | ||
| 70.175 | 0.151 | |||||
| 49.180 | 0.174 | |||||
| 49.315 | 0.167 |
(μm) | (ms) | Initial Condition | Signal | (krpm) | (krpm) | (krpm) |
|---|---|---|---|---|---|---|
| 16/20 | 5 | 1 | 74.534 | 0.119 | 73.60 100.8 | |
| 99.448 | 0.100 | |||||
| 73.846 | 0.115 | |||||
| 75.710 | 0.125 | |||||
| 5 | 2 | 74.257 | 0.143 | 73.20 101.1 | ||
| 99.291 | 0.078 | |||||
| 73.892 | 0.142 | |||||
| 75.567 | 0.145 | |||||
| 19/23 | 5 | 1 | 65.934 | 0.063 | 66.00 86.60 | |
| 86.331 | 0.027 | |||||
| 65.934 | 0.065 | |||||
| 65.753 | 0.059 | |||||
| 5 | 2 | 65.934 | 0.063 | 66.00 86.60 | ||
| 86.331 | 0.027 | |||||
| 65.934 | 0.065 | |||||
| 65.753 | 0.059 | |||||
| 10 | 1 | 65.934 | 0.059 | 66.00 86.60 | ||
| 80.488 | 0.073 | |||||
| 65.854 | 0.059 | |||||
| 65.854 | 0.060 | |||||
| 10 | 2 | 65.934 | 0.059 | 66.00 86.60 | ||
| 80.685 | 0.071 | |||||
| 65.854 | 0.059 | |||||
| 65.854 | 0.060 |
(μm) | (ms) | Initial Condition | Signal | (krpm) | (krpm) | (krpm) |
|---|---|---|---|---|---|---|
| 16/20 | 5 | 1 | 87.72 | 0.053 | 87.6 113.4 | |
| 112.9 | 0.052 | |||||
| 87.21 | 0.052 | |||||
| 88.50 | 0.057 | |||||
| 5 | 2 | 87.60 | 0.047 | 87.6 113.4 | ||
| 113.2 | 0.042 | |||||
| 87.27 | 0.046 | |||||
| 88.13 | 0.049 | |||||
| 10 | 1 | 87.464 | 0.064 | 87.6 113.4 | ||
| 113.6 | 0.041 | |||||
| 87.71 | 0.034 | |||||
| 114.13 | 0.053 | |||||
| 10 | 2 | 86.44 | 0.049 | 87.6 113.4 | ||
| 113.3 | 0.047 | |||||
| 95.00 | 0.038 | |||||
| 113.5 | 0.035 | |||||
| 19/23 | 5 | 1 | 75.71 | 0.019 | 75.60 96.00 | |
| 95.24 | 0.010 | |||||
| 75.71 | 0.019 | |||||
| 75.95 | 0.019 | |||||
| 5 | 2 | 75.76 | 0.019 | 75.60 96.00 | ||
| 84.41 | 0.026 | |||||
| 75.76 | 0.019 | |||||
| 75.85 | 0.019 | |||||
| 10 | 1 | 75.95 | 0.021 | 75.60 96.00 | ||
| 95.74 | 0.031 | |||||
| 75.71 | 0.014 | |||||
| 76.19 | 0.028 | |||||
| 10 | 2 | 75.76 | 0.020 | 75.60 96.00 | ||
| 96.33 | 0.031 | |||||
| 75.85 | 0.015 | |||||
| 75.76 | 0.028 |
(μm) | (ms) | Initial Condition | Signal | (krpm) | (krpm) | (krpm) |
|---|---|---|---|---|---|---|
| 16/20 | 5 | 1 | 97.297 | 0.024 | 97.40 122.0 | |
| 121.390 | 0.036 | |||||
| 97.297 | 0.024 | |||||
| 97.826 | 0.025 | |||||
| 5 | 2 | 97.297 | 0.031 | 97.40 122.0 | ||
| 122.245 | 0.023 | |||||
| 97.035 | 0.013 | |||||
| 124.030 | 0.040 | |||||
| 10 | 1 | 97.335 | 0.025 | 97.40 122.0 | ||
| 122.160 | 0.025 | |||||
| 97.222 | 0.024 | |||||
| 97.561 | 0.025 | |||||
| 10 | 2 | 97.110 | 0.028 | 97.40 122.0 | ||
| 122.450 | 0.019 | |||||
| 97.335 | 0.019 | |||||
| 123.010 | 0.024 | |||||
| 19/23 | 5 | 1 | 82.645 | −0.001 | 82.80 102.6 | |
| 87.209 | −0.019 | |||||
| 82.645 | −0.001 | |||||
| 82.873 | −0.002 | |||||
| 5 | 2 | 83.102 | 0.001 | 82.80 102.6 | ||
| 102.560 | 0.022 | |||||
| 82.418 | −0.005 | |||||
| 83.565 | 0.009 | |||||
| 10 | 1 | 82.759 | −0.002 | 82.80 102.6 | ||
| 85.511 | −0.007 | |||||
| 82.759 | 0.002 | |||||
| 82.854 | −0.002 | |||||
| 10 | 2 | 82.854 | 0.001 | 82.80 102.6 | ||
| 103.330 | 0.035 | |||||
| 82.664 | −0.004 | |||||
| 82.949 | 0.004 |
References
- Bryan, J. International status of thermal error research. CIRP Ann. 1990, 39, 645–656. [Google Scholar] [CrossRef]
- Nishikawa, F.; Yoshimoto, S.; Somaya, K. Ultrahigh-speed micro-milling end mill with shank directly supported by aerostatic bearings. J. Adv. Mech. Des. Syst. Manuf. 2012, 6, 979–988. [Google Scholar] [CrossRef][Green Version]
- Gill, D.D.; Ziegert, J.C.; Jokiel, B.; Pathak, J.P.; Payne, S.W. Next Generation Spindles for Micromilling; Department of Energy: Albuquerque, MN, USA, 2004.
- Knapp, B.; Arenson, D. Dynamic characterization of a micro-machining spindle. In Proceedings of the 10th International Congress on Membrane and Membrane Process ICOMM, Suzhou, China, 20–25 July 2014. [Google Scholar]
- Bediz, B.; Gozen, B.A.; Korkmaz, E.; Ozdoganlar, O.B. Dynamics of ultra-high-speed (UHS) spindles used for micromachining. Int. J. Mach. Tools Manuf. 2014, 87, 27–38. [Google Scholar] [CrossRef]
- Jia, C.; Pang, H.; Ma, W.; Qiu, M. Dynamic stability prediction of spherical spiral groove hybrid gas bearings rotor system. J. Tribol. 2017, 139, 021701. [Google Scholar] [CrossRef]
- Al-Bender, F. Air Bearings: Theory, Design and Applications; John Wiley & Sons: Hoboken, NJ, USA, 2021. [Google Scholar]
- Rentzepis, G.M.; Sternlicht, B. On the Stability of Rotors in Cylindrical Journal Bearings. J. Basic Eng. 1962, 84, 521–531. [Google Scholar] [CrossRef]
- Sternlicht, B.; Poritsky, H.; Arwas, E. Dynamic stability aspects of cylindrical journal bearings using compressible and incompressible fluids. In Proceedings of the First International Symposium on Gas Lubricated Bearings, Office of Naval Research, Washington, DC, USA, 26–28 October 1959; pp. 119–160. [Google Scholar]
- Ausman, J.S. Linearized ph stability theory for translatory half-speed whirl of long, self-acting gas-lubricated journal bearings. J. Basic Eng. 1963, 85, 611–618. [Google Scholar] [CrossRef]
- Ng, C.-W. Linearized PH stability theory for finite length, self-acting gas-lubricated, plain journal bearings. J. Basic Eng. 1965, 87, 559–567. [Google Scholar] [CrossRef]
- Zhang, S.J.; To, S. The effects of spindle vibration on surface generation in ultra-precision raster milling. Int. J. Mach. Tools Manuf. 2013, 71, 52–56. [Google Scholar] [CrossRef]
- Zhang, G.; Ehmann, K.F. Dynamic design methodology of high speed micro-spindles for micro/meso-scale machine tools. Int. J. Adv. Manuf. Technol. 2015, 76, 229–246. [Google Scholar] [CrossRef]
- Müller, C.; Greco, S.; Kirsch, B.; Aurich, J.C. A finite element analysis of air bearings applied in compact air bearing spindles. Procedia CIRP 2017, 58, 607–612. [Google Scholar] [CrossRef]
- Liu, W.; Feng, K.; Huo, Y.; Guo, Z. Measurements of the rotordynamic response of a rotor supported on porous type gas bearing. J. Eng. Gas Turbines Power 2018, 140, 102501. [Google Scholar] [CrossRef]
- Hassini, M.A.; Arghir, M. A simplified and consistent nonlinear transient analysis method for gas bearing: Extension to flexible rotors. J. Eng. Gas Turbines Power 2015, 137, 092502. [Google Scholar] [CrossRef]
- Belforte, G.; Raparelli, T.; Viktorov, V. Modeling and identification of gas journal bearings: Self-acting gas bearing results. J. Tribol. 2002, 124, 716–724. [Google Scholar] [CrossRef]
- Viktorov, V.; Belforte, G.; Raparelli, T. Modeling and Identification of Gas Journal Bearings: Externally Pressurized Gas Bearing Results. J. Tribol. 2005, 127, 548–556. [Google Scholar] [CrossRef]
- Hassini, M.A.; Arghir, M. A New Approach for the stability analysis of rotors supported by gas bearings. J. Eng. Gas Turbines Power 2014, 136. [Google Scholar] [CrossRef]
- Dupont, R. Robust rotor dynamics for high-speed air bearing spindles. Precis. Eng. 2015, 40, 7–13. [Google Scholar] [CrossRef]
- Park, J.-K.; Kim, K.-W. Stability analyses and experiments of spindle system using new type of slot-restricted gas journal bearings. Tribol. Int. 2004, 37, 451–462. [Google Scholar] [CrossRef]
- Czolczynski, K. Rotordynamics of Gas-Lubricated Journal Bearing Systems; Springer: New York, NY, USA, 1999. [Google Scholar]
- Colombo, F.; Raparelli, T.; Viktorov, V. Externally pressurized gas bearings: A comparison between two supply holes configurations. Tribol. Int. 2009, 42, 303–310. [Google Scholar] [CrossRef]
- Liu, W.; Bättig, P.; Wagner, P.H.; Schiffmann, J. Nonlinear study on a rigid rotor supported by herringbone grooved gas bearings: Theory and validation. Mech. Syst. Signal Process. 2021, 146, 106983. [Google Scholar] [CrossRef]
- Zachariadis, D.C. Insights Into Discrepancies Between Results of Nonlinear and Linear Vibration Analyses of Rigid Rotors on Journal Bearings. In Proceedings of the Turbo Expo: Power for Land, Sea, and Air, New York, NY, USA, 9–13 June 2008; pp. 1237–1246. [Google Scholar]
- Belforte, G.; Colombo, F.; Raparelli, T.; Trivella, A.; Viktorov, V. High-speed electrospindle running on air bearings: Design and experimental verification. Meccanica 2008, 43, 591–600. [Google Scholar] [CrossRef]
- Belforte, G.; Raparelli, T.; Viktorov, V.; Trivella, A.; Colombo, F. An experimental study of high-speed rotor supported by air bearings: Test RIG and first experimental results. Tribol. Int. 2006, 39, 839–845. [Google Scholar] [CrossRef]
- Belforte, G.; Colombo, F.; Raparelli, T.; Trivella, A.; Viktorov, V.; Villavicencio, R. High-speed rotors with elliptic gas journal bearings. Presented at the Proc. of the 5th World Tribology Congress, Torino, Italy, 8–13 September 2013. [Google Scholar]
- Den Hartog, J.P. Mechanical Vibrations; Courier Corporation: North Chelmsford, MA, USA, 1985. [Google Scholar]
- Genta, G. Vibration Dynamics and Control; Springer: Berlin/Heidelberg, Germany, 2009. [Google Scholar]
- Ewins, D.J. Modal Testing: Theory, Practice and Application; John Wiley & Sons: Hoboken, NJ, USA, 2009. [Google Scholar]
- Belforte, G.; Raparelli, T.; Viktorov, V.; Trivella, A. Discharge coefficients of orifice-type restrictor for aerostatic bearings. Tribol. Int. 2007, 40, 512–521. [Google Scholar] [CrossRef]
















| Rotor mass: | = 382 g |
| Transversal inertia moment: | = 666.1 × 10−6 kg m2 |
| Polar inertia moment: | = 31.1 × 10−6 kg m2 |
| 0.3 | 1.14 |
| 0.5 | 2.9 |
| 0.7 | 4.0 |
| 0.9 | 4.6 |
(MPa) | HPM | LDM | ||
|---|---|---|---|---|
(krpm) | (krpm) | |||
| 0.3 | 70.23 | 0.2611 | 72.82 | 0.3928 |
| 0.5 | 87.63 | 0.1464 | 86.50 | 0.2347 |
| 0.7 | 95.42 | 0.1084 | 92.60 | 0.1497 |
| 0.9 | 100.3 | 0.1125 | 97.64 | 0.2325 |
| (MPa) | Signal | (krpm) | |||
|---|---|---|---|---|---|
| 0.3 | 73.44 | 0.1483 | 3.474 | 3.400 | |
| 70.21 | 0.2578 | 169.8 | 7.963 | ||
| 0.5 | 89.50 | 0.1072 | 9.420 | 5.305 | |
| 87.23 | 0.1632 | 178.0 | 7.673 | ||
| 0.7 | 99.75 | 0.00762 | −3.336 | 5.223 | |
| 95.46 | 0.1060 | 153.6 | 8.461 | ||
| 0.9 | 103.8 | 0.07330 | 19.69 | 3.150 | |
| 107.0 | 0.09230 | −154.6 | 4.102 |
| (MPa) | = 16 μm, = 20 μm | = 19 μ | ||
|---|---|---|---|---|
| (N/μm) | (N/μm) | |||
| 0.3 | 4.51 | 4.57 | 5.53 | 4.22 |
| 0.5 | 12.6 | 9.37 | 11.8 | 7.45 |
| 0.7 | 20.3 | 13.0 | 16.7 | 9.5 |
| 0.9 | 27.0 | 15.8 | 20.6 | 10.9 |
| Tilting Stiffness of Journal Bearing with Respect to the Shaft Center of Mass | Tilting Stiffness of Journal Bearing Respect to Its Center | ||
|---|---|---|---|
| 33507 | 57166 | 925 | 534 |
| (MPa) | = 16 μ | = 19 μ |
|---|---|---|
| 0.3 | 2.87 | 3.51 |
| 0.5 | 8.01 | 7.50 |
| 0.7 | 12.9 | 10.6 |
| 0.9 | 17.1 | 13.1 |
| (MPa) | = 16 μ | = 19 μ |
|---|---|---|
| 0.3 | 1.32 | 1.29 |
| 0.5 | 4.02 | 3.79 |
| 0.7 | 6.59 | 5.36 |
| 0.9 | 8.82 | 6.52 |
| (MPa) | = 16 μm, = 20 μm | = 19 μ | ||
|---|---|---|---|---|
| (krpm) | (krpm) | |||
| 0.3 | 46.6 | 58.9 | 48.2 | 57.7 |
| 0.5 | 72.4 | 86.2 | 67.8 | 78.0 |
| 0.7 | 89.2 | 102.8 | 79.1 | 88.9 |
| 0.9 | 101.1 | 114.3 | 86.7 | 95.9 |
| Signal | (krpm) | (-) | (deg) | (-) | (krpm) | (-) | (deg) | [-] | ||
|---|---|---|---|---|---|---|---|---|---|---|
| 0.3 | 16/20 | 80.51 | 0.1675 | −19.07 | 0.0737 | n.a. | n.a. | n.a. | n.a. | |
| 58.28 | 0.3427 | −54.14 | 0.9738 | n.a. | n.a. | n.a. | n.a. | |||
| 0.3 | 19/23 | 70.00 | 0.1556 | −18.80 | 0.1224 | n.a. | n.a. | n.a. | n.a. | |
| 50.00 | 0.2044 | −70.50 | 1.115 | n.a. | n.a. | n.a. | n.a. | |||
| 0.5 | 16/20 | 100.6 | 0.0804 | −21.40 | 0.0618 | n.a. | n.a. | n.a. | n.a. | |
| 74.82 | 0.1394 | −76.58 | 0.7109 | n.a. | n.a. | n.a. | n.a. | |||
| 0.5 | 19/23 | 86.97 | 0.0620 | −21.69 | 0.0710 | 66.22 | 0.0667 | 100.1 | 0.0377 | |
| 65.86 | 0.0629 | 82.46 | 0.7587 | n.a. | n.a. | n.a. | n.a. | |||
| 0.7 | 16/20 | 113.3 | 0.0365 | 21.8 | 0.029 | 87.83 | 0.0604 | −50.2 | 0.0135 | |
| 87.69 | 0.0652 | 115.17 | 0.3245 | n.a. | n.a. | n.a. | n.a. | |||
| 0.7 | 19/23 | 96.09 | 0.0356 | −23.30 | 0.0496 | 75.80 | 0.0193 | 79.62 | 0.0218 | |
| 75.81 | 0.0166 | −85.73 | 0.6339 | n.a. | n.a. | n.a. | n.a. | |||
| 0.9 | 16/20 | 122.3 | 0.0124 | 4.855 | 0.0251 | 97.46 | 0.0281 | −14.7 | 0.0104 | |
| 97.30 | 0.0265 | 157.25 | 0.3423 | n.a. | n.a. | n.a. | n.a. | |||
| 0.9 | 19/23 | 102.5 | unst. | unst. | unst. | 82.03 | unst. | unst. | unst. | |
| 82.03 | unst. | unst. | unst. | unst. | unst. | unst. | unst. |
Publisher’s Note: MDPI stays neutral with regard to jurisdictional claims in published maps and institutional affiliations. |
© 2021 by the authors. Licensee MDPI, Basel, Switzerland. This article is an open access article distributed under the terms and conditions of the Creative Commons Attribution (CC BY) license (https://creativecommons.org/licenses/by/4.0/).
Share and Cite
Colombo, F.; Lentini, L.; Trivella, A.; Raparelli, T.; Viktorov, V. Experimental and Numerical Dynamic Identification of an Aerostatic Electro-Spindle. Appl. Sci. 2021, 11, 11462. https://doi.org/10.3390/app112311462
Colombo F, Lentini L, Trivella A, Raparelli T, Viktorov V. Experimental and Numerical Dynamic Identification of an Aerostatic Electro-Spindle. Applied Sciences. 2021; 11(23):11462. https://doi.org/10.3390/app112311462
Chicago/Turabian StyleColombo, Federico, Luigi Lentini, Andrea Trivella, Terenziano Raparelli, and Vladimir Viktorov. 2021. "Experimental and Numerical Dynamic Identification of an Aerostatic Electro-Spindle" Applied Sciences 11, no. 23: 11462. https://doi.org/10.3390/app112311462
APA StyleColombo, F., Lentini, L., Trivella, A., Raparelli, T., & Viktorov, V. (2021). Experimental and Numerical Dynamic Identification of an Aerostatic Electro-Spindle. Applied Sciences, 11(23), 11462. https://doi.org/10.3390/app112311462

