Shape Optimization of Discontinuous Armature Arrangement PMLSM for Reduction of Thrust Ripple
Abstract
:1. Introduction
2. Structure of Discontinuous PMLSM and Analysis of Characters
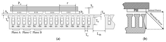
2.1. Investigated Model
2.2. Analytical Analysis of Detent Force
2.3. Characteristics of Investigated Model
3. Multipurpose Optimal Design of PMLSM Using the Design of Experiments
3.1. Screening
3.2. Multi Objective Optimization Based RSM
4. Optimal Design of the End Edge Auxiliary Teeth
4.1. Setting of Design Parameter
4.2. Auxiliary Teeth Shape Optimization Using RSM
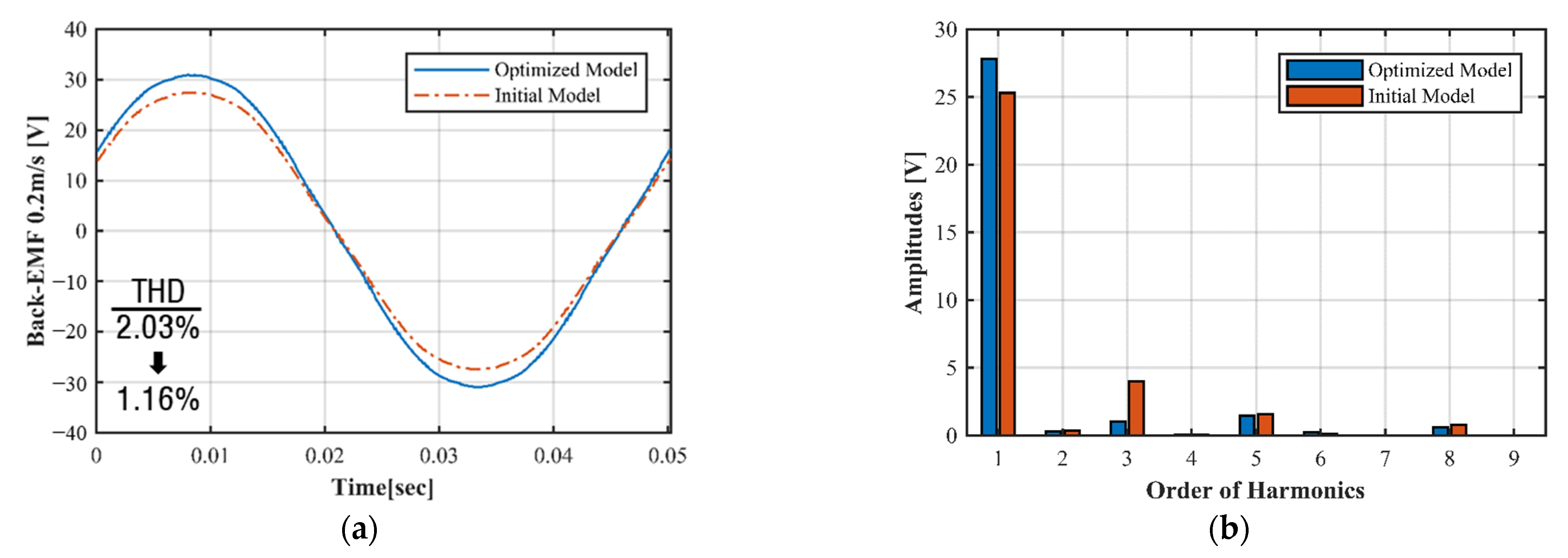
4.3. Analysis of Optimized Results
5. Conclusions
Author Contributions
Funding
Institutional Review Board Statement
Informed Consent Statement
Data Availability Statement
Conflicts of Interest
References
- Aoyama, Y.; Hasegawa, Y.U.; Sasaki, M.; Nakatsugawa, J.; Iwaji, Y.; Komura, A. Development of high-acceleration ltainear motor to realize resource saving and high productivity. Electr. Eng. Jpn. 2018, 202, 55–63. [Google Scholar] [CrossRef]
- Boldea, I.; Tutelea, L.N.; Xu, W.; Pucci, M. Linear electric machines, drives, and MAGLEVs: An overview. IEEE Trans. Ind. Electron. 2018, 65, 7504–7515. [Google Scholar] [CrossRef]
- Seki, K.; Watada, M.; Torii, S.; Ebihara, D. Discontinuous arrangement of long stator linear synchronous motor for transportation system. In Proceedings of the Second International Conference on Power Electronics and Drive Systems, Singapore, 26–29 May 1997; Volume 2, pp. 697–702. [Google Scholar]
- Kim, Y.-J.; Watada, M.; Dohmeki, H. Reduction of the cogging force at the outlet edge of a stationary discontinuous primary linear synchronous motor. IEEE Trans. Magn. 2007, 43, 40–45. [Google Scholar] [CrossRef]
- Jung, I.-S.; Yoon, S.-B.; Shim, J.-H.; Hyun, D.-S. Analysis of forces in a short primary type and a short secondary type permanent magnet linear synchronous motor. IEEE Trans. Energy Convers. 1999, 14, 1265–1270. [Google Scholar] [CrossRef]
- Jia, H.; Cheng, M.; Hua, W.; Zhao, W.; Li, W. Torque ripple suppression in flux-switching pm motor by harmonic current injection based on voltage space-vector modulation. IEEE Trans. Magn. 2010, 46, 1527–1530. [Google Scholar] [CrossRef]
- Zhu, Y.-W.; Jin, S.-M.; Chung, K.-S.; Cho, Y.-H. Control-based reduction of detent force for permanent magnet linear synchronous motor. IEEE Trans. Magn. 2009, 45, 2827–2830. [Google Scholar] [CrossRef]
- Abbaszadeh, K.; Rezaee Alam, F.; Saied, S.A. Cogging torque optimization in surface-mounted permanent-magnet motors by using design of experiment. Energy Convers. Manag. 2011, 52, 3075–3082. [Google Scholar] [CrossRef]
- Kim, Y.-J.; Hwang, S.-S.; Jeong, Y.-S. Cogging force reduction of a stationary discontinuous armature PM-LSM by magnet segmentation. IEEE Trans. Magn. 2009, 45, 2750–2753. [Google Scholar]
- Zhang, H.; Kou, B.; Jin, Y.; Zhang, H. Investigation of auxiliary poles optimal design on reduction of end effect detent force for PMLSM with typical slot–pole combinations. IEEE Trans. Magn. 2015, 51, 1–4. [Google Scholar] [PubMed] [Green Version]
- Zhu, Y.-W.; Lee, S.-G.; Chung, K.-S.; Cho, Y.-H. Investigation of auxiliary poles design criteria on reduction of end effect of detent force for PMLSM. IEEE Trans. Magn. 2009, 45, 2863–2866. [Google Scholar] [CrossRef]
- Seo, S.-W.; Jang, G.-H.; Koo, M.-M.; Choi, J.-Y. Characteristic analysis of the influence of auxiliary teeth and notching on the reduction of the detent force of a permanent magnet linear synchronous machine. IEEE Trans. Appl. Supercond. 2018, 28, 1–5. [Google Scholar] [CrossRef]
- Chung, S.-U.; Kim, J.-W.; Woo, B.-C.; Hong, D.-K.; Lee, J.-Y.; Koo, D.-H. Force ripple and magnetic unbalance reduction design for doubly salient permanent magnet linear synchronous motor. IEEE Trans. Magn. 2011, 47, 4207–4210. [Google Scholar] [CrossRef]
- Huang, X.; Qian, Z.; Tan, Q.; Li, J.; Zhou, B. Suppressing the thrust ripple of the permanent magnet linear synchronous motors with different pole structures by setting the modular primary structures differently. IEEE Trans. Energy Convers. 2018, 33, 1815–1824. [Google Scholar] [CrossRef]
- Chung, S.-U.; Kim, J.-W.; Woo, B.-C.; Hong, D.-K.; Lee, J.-Y.; Chun, Y.-D.; Koo, D.-H. Design and experimental validation of doubly salient permanent magnet linear synchronous motor for precision position control. Mechatronics 2013, 23, 172–181. [Google Scholar] [CrossRef]
- Islam, M.S.; Mir, S.; Sebastian, T.; Underwood, S. Design considerations of sinusoidally excited permanent-magnet machines for low-torque-ripple applications. IEEE Trans. Ind. Appl. 2005, 41, 955–962. [Google Scholar] [CrossRef]
- Hwang, K.Y.; Jo, J.H.; Kwon, B.I. A study on optimal pole design of spoke-type IPMSM with concentrated winding for reducing the torque ripple by experiment design method. IEEE Trans. Magn. 2009, 45, 4712–4715. [Google Scholar] [CrossRef]
- Zhu, Z.Q.; Chen, J.T.; Wu, L.J.; Howe, D. Influence of stator asymmetry on cogging torque of permanent magnet brushless machines. IEEE Trans. Magn. 2008, 44, 3851–3854. [Google Scholar] [CrossRef]
- Myers, R.H.; Montgomery, D.C.; Anderson-Cook, C.M. Response Surface Methodology: Process and Product Optimization Using Designed Experiments; John Wiley & Sons: Hoboken, NJ, USA, 2016; ISBN 9781118916032. [Google Scholar]
- Zhang, C.; Zhang, L.; Huang, X.; Yang, J.; Shen, L. Research on the method of suppressing the end detent force of permanent magnet linear synchronous motor based on stepped double auxiliary pole. IEEE Access 2020, 8, 112539–112552. [Google Scholar] [CrossRef]
- Huang, L.; Chen, Y.; Kong, H.; Lu, Q.; Ye, Y. Analysis of a permanent magnet linear synchronous motor with segmented armature for transportation system. In Proceedings of the 2014 17th International Conference on Electrical Machines and Systems (ICEMS), Hangzhou, China, 22–25 October 2014; pp. 1791–1796. [Google Scholar]



















| Symbol | Unit | Value |
|---|---|---|
| Height of PM, Ph | mm | 10 |
| Width of PM, Pw | mm | 35 |
| Pole pitch, ᴦ | mm | 40 |
| Back iron height | mm | 10 |
| Back iron length | mm | 137 |
| Turn per phase | - | 300 |
| Slot pitch, Sp | mm | 13 |
| Slot opening, So | mm | 2 |
| Height of tooth, Th | mm | 2 |
| Armature length | mm | 170 |
| Magnetic air gap, Ag | mm | 1 |
| Tooth tip angle, Ta | ° | 90 |
| Permanent magnet grade | - | N50SH |
| Material of the tooth, back iron | - | Sillicon Steel NGO |
| Item | Lower Bound | Reference | Upper Bound |
|---|---|---|---|
| Height of PM, Ph (mm) | 2 | 10 | 15 |
| Width of PM, Pw (mm) | 28 | 35 | 45 |
| Slot Opening, So (mm) | 1 | 2 | 5 |
| Height of tooth, Th (mm) | 10 | 20 | 25 |
| Tooth tip angle, Ta (°) | 30 | 90 | 70 |
| Tooth tip height, Tth (mm) | 1 | 3 | 5 |
| Tooth width, Tw (mm) | 1 | 7 | 8 |
| Run Order | Ph | Ph | Th | So | Ta | Tth | Tw | Detent Force (N) | Back EMF THD (%) | Magnetic Flux Density (T) |
|---|---|---|---|---|---|---|---|---|---|---|
| 1 | 28 | 15 | 25 | 5 | 30 | 1 | 8 | 1.03 | 0.50 | 2.31 |
| 2 | 28 | 15 | 10 | 5 | 70 | 5 | 1 | 0.43 | 28.78 | 2.44 |
| 3 | 28 | 2 | 25 | 1 | 30 | 1 | 8 | 0.69 | 1.63 | 0.83 |
| 4 | 28 | 2 | 10 | 5 | 30 | 1 | 1 | 0.20 | 23.88 | 2.04 |
| 5 | 45 | 2 | 25 | 1 | 30 | 5 | 1 | 0.82 | 63.65 | 1.87 |
| ⋮ | ||||||||||
| 29 | 28 | 15 | 25 | 1 | 70 | 5 | 8 | 0.51 | 0.54 | 1.27 |
| 30 | 45 | 15 | 10 | 1 | 30 | 5 | 8 | 0.31 | 1.83 | 1.75 |
| 31 | 45 | 15 | 25 | 5 | 30 | 5 | 1 | 16.02 | 50.31 | 2.41 |
| 32 | 28 | 15 | 10 | 1 | 70 | 1 | 8 | 0.51 | 0.65 | 1.26 |
| 33 | 45 | 15 | 25 | 1 | 30 | 1 | 8 | 0.12 | 4.98 | 1.78 |
| Run Order | Ph | Th | Ta | Tth | Tw | Detent Force (N) | Back EMF THD (%) | Magnetic Flux Density (T) |
|---|---|---|---|---|---|---|---|---|
| 1 | 15 | 17.5 | 50 | 3 | 8 | 1.41 | 0.03 | 1.97 |
| 2 | 8.5 | 17.5 | 50 | 3 | 4.5 | 11.21 | 0.47 | 1.83 |
| 3 | 8.5 | 17.5 | 70 | 3 | 1 | 36.75 | 1.17 | 2.39 |
| 4 | 8.5 | 17.5 | 50 | 3 | 4.5 | 11.21 | 0.47 | 1.83 |
| 5 | 2 | 17.5 | 50 | 3 | 1 | 47.33 | 0.36 | 2.02 |
| ⋮ | ||||||||
| 42 | 2 | 10 | 50 | 3 | 4.5 | 3.62 | 0.04 | 1.23 |
| 43 | 8.5 | 25 | 70 | 3 | 4.5 | 12.72 | 0.45 | 1.78 |
| 44 | 8.5 | 10 | 30 | 3 | 4.5 | 8.48 | 0.35 | 1.91 |
| 45 | 8.5 | 17.5 | 70 | 1 | 4.5 | 8.74 | 1.27 | 1.86 |
| 46 | 8.5 | 17.5 | 50 | 3 | 4.5 | 11.21 | 0.47 | 1.83 |
| Source | DF | Adj SS | Adj MS | F-Value | p-Value | ||
|---|---|---|---|---|---|---|---|
| Model | 4 | 348.641 | 87.16 | 13.41 | 0 | ||
| Linear | 2 | 186.199 | 93.1 | 14.32 | 0 | ||
| Tth | 1 | 50.729 | 50.729 | 7.8 | 0.008 | ||
| Tw | 1 | 135.47 | 135.47 | 20.84 | 0 | ||
| Square | 1 | 53.534 | 53.534 | 8.23 | 0.006 | ||
| Tw*Tw | 1 | 53.534 | 53.534 | 8.23 | 0.006 | ||
| 2-Way Interaction | 1 | 108.907 | 108.907 | 16.75 | 0 | ||
| Tth*Tw | 1 | 108.907 | 108.907 | 16.75 | 0 | ||
| Error | 41 | 266.56 | 6.501 | ||||
| Lack-of-Fit | 36 | 266.56 | 7.404 | ||||
| Pure Error | 5 | 0 | 0 | ||||
| Total | 45 | 615.2 | |||||
| Model summary | |||||||
| S | R-sq | R-sq (adj) | R-sq (pred) | ||||
| 2.54979 | 66.67% | 62.44% | 50.06% | ||||
| Source | DF | Adj SS | Adj MS | F-Value | p-Value | ||
|---|---|---|---|---|---|---|---|
| Model | 7 | 12,361.8 | 1765.97 | 203.37 | 0.000 | ||
| Linear | 4 | 9598.1 | 2399.53 | 276.33 | 0.000 | ||
| Ph | 1 | 333.8 | 333.78 | 38.44 | 0.000 | ||
| Th | 1 | 230.8 | 230.81 | 26.58 | 0.000 | ||
| Ta | 1 | 66.7 | 66.72 | 7.68 | 0.009 | ||
| Tw | 1 | 8966.8 | 8966.81 | 1032.63 | 0.000 | ||
| Square | 1 | 2484.4 | 2484.36 | 286.1 | 0.000 | ||
| Tw*Tw | 1 | 2484.4 | 2484.36 | 286.1 | 0.000 | ||
| 2-Way Interaction | 2 | 279.3 | 139.64 | 16.08 | 0.000 | ||
| Th*Tw | 1 | 178.5 | 178.47 | 20.55 | 0.000 | ||
| Ta*Tw | 1 | 100.8 | 100.82 | 11.61 | 0.002 | ||
| Error | 38 | 330 | 8.68 | ||||
| Lack-of-Fit | 33 | 330 | 10 | ||||
| Pure Error | 5 | 0 | 0 | ||||
| Total | 45 | 12,691.7 | |||||
| Model summary | |||||||
| S | R-sq | R-sq (adj) | R-sq (pred) | ||||
| 2.94678 | 97.40% | 96.92% | 95.28% | ||||
| Source | DF | Adj SS | Adj MS | F-Value | p-Value | ||
|---|---|---|---|---|---|---|---|
| Model | 6 | 4.53492 | 0.75582 | 216.38 | 0 | ||
| Linear | 3 | 3.25095 | 1.08365 | 310.23 | 0 | ||
| Ph | 1 | 1.9321 | 1.9321 | 553.12 | 0 | ||
| Th | 1 | 0.03062 | 0.03062 | 8.77 | 0.005 | ||
| Tw | 1 | 1.28822 | 1.28822 | 368.79 | 0 | ||
| Square | 2 | 1.25157 | 0.62578 | 179.15 | 0 | ||
| Ph*Ph | 1 | 0.51278 | 0.51278 | 146.8 | 0 | ||
| Tw*Tw | 1 | 0.55114 | 0.55114 | 157.78 | 0 | ||
| 2-Way Interaction | 1 | 0.0324 | 0.0324 | 9.28 | 0.004 | ||
| Ph*Tw | 1 | 0.0324 | 0.0324 | 9.28 | 0.004 | ||
| Error | 39 | 0.13623 | 0.00349 | ||||
| Lack-of-Fit | 34 | 0.13623 | 0.00401 | ||||
| Pure Error | 5 | 0 | 0 | ||||
| Total | 45 | 4.67115 | |||||
| Model summary | |||||||
| S | R-sq | R-sq (adj) | R-sq (pred) | ||||
| 0.0591023 | 97.08% | 96.63% | 94.35% | ||||
| Item | Case1 | Case2 | Target | |
|---|---|---|---|---|
| Setup | Detent Force | Minimize | Minimize | Minimize |
| BackEMF THD | Maximize | Maximize | Minimize | |
| Magnetic Flux Density | Minimize | 1.0 (T)–1.5 (T) | 1.3 (T) | |
| Response | Detent Force | 2.56 | 0.74 | Minimize |
| BackEMF THD | 6.94 | 1.16 | Minimize | |
| Magnetic Flux Density | 1.08 | 1.3 | 1.3 (T) | |
| Ph (mm) | Min | 3.3 | - | |
| Th (mm) | Max | 18.6 | - | |
| Ta (°) | Min | Min | - | |
| Tth (mm) | Min | Min | - | |
| Tw (mm) | Max | 6.1 | - | |
| Run Order | At | Ab | Ae | Detent Force [N] |
|---|---|---|---|---|
| 1 | 15 | 15 | 15 | 6.55 |
| 2 | 15 | 15 | 15 | 6.55 |
| 3 | 30 | 0 | 15 | 10.26 |
| 4 | 30 | 30 | 15 | 10.23 |
| 5 | 0 | 15 | 0 | 8.06 |
| ⋮ | ||||
| 11 | 15 | 30 | 0 | 6.34 |
| 12 | 0 | 30 | 15 | 8.32 |
| 13 | 30 | 15 | 30 | 10.48 |
| 14 | 15 | 30 | 30 | 6.62 |
| 15 | 0 | 0 | 15 | 9.33 |
| Source | DF | Adj SS | Adj MS | F-Value | p-Value | ||
|---|---|---|---|---|---|---|---|
| Model | 3 | 35.6044 | 11.8681 | 2846.15 | 0 | ||
| Linear | 2 | 35.1074 | 17.5537 | 4209.63 | 0 | ||
| At | 1 | 34.7708 | 34.7708 | 8338.55 | 0 | ||
| Ae | 1 | 0.3366 | 0.3366 | 80.71 | 0 | ||
| Square | 1 | 28.0395 | 28.0395 | 6724.27 | 0 | ||
| At*At | 1 | 28.0395 | 28.0395 | 6724.27 | 0 | ||
| Error | 11 | 0.0459 | 0.0042 | ||||
| Lack-of-Fit | 9 | 0.0459 | 0.0051 | ||||
| Pure Error | 2 | 0 | 0 | ||||
| Total | 14 | 35.6503 | |||||
| Model summary | |||||||
| S | R-sq | R-sq (adj) | R-sq (pred) | ||||
| 0.0645747 | 99.87% | 99.84% | 99.72% | ||||
| Initial Value | Optimized Estimate Result | FEA Result | Error (%) | |
|---|---|---|---|---|
| Slot Effect (N) | 0.96 | 0.74 | 0.62 | 19.4% |
| End Effect (N) | 9.33 | 6.23 | 6.49 | 4.0% |
| BackEMF THD (%) | 2.03 | 1.16 | 1.46 | 0.3% |
| Magnetic Flux Density (T) | 1.32 | 1.30 | 1.18 | 10.2% |
Publisher’s Note: MDPI stays neutral with regard to jurisdictional claims in published maps and institutional affiliations. |
© 2021 by the authors. Licensee MDPI, Basel, Switzerland. This article is an open access article distributed under the terms and conditions of the Creative Commons Attribution (CC BY) license (https://creativecommons.org/licenses/by/4.0/).
Share and Cite
Kwon, J.-H.; Kim, J.-K.; Jeon, E.-S. Shape Optimization of Discontinuous Armature Arrangement PMLSM for Reduction of Thrust Ripple. Appl. Sci. 2021, 11, 11066. https://doi.org/10.3390/app112211066
Kwon J-H, Kim J-K, Jeon E-S. Shape Optimization of Discontinuous Armature Arrangement PMLSM for Reduction of Thrust Ripple. Applied Sciences. 2021; 11(22):11066. https://doi.org/10.3390/app112211066
Chicago/Turabian StyleKwon, Jun-Hwan, Jae-Kyung Kim, and Euy-Sik Jeon. 2021. "Shape Optimization of Discontinuous Armature Arrangement PMLSM for Reduction of Thrust Ripple" Applied Sciences 11, no. 22: 11066. https://doi.org/10.3390/app112211066
APA StyleKwon, J.-H., Kim, J.-K., & Jeon, E.-S. (2021). Shape Optimization of Discontinuous Armature Arrangement PMLSM for Reduction of Thrust Ripple. Applied Sciences, 11(22), 11066. https://doi.org/10.3390/app112211066

