Cellular Stress Responses of the Endemic Freshwater Fish Species Alburnus vistonicus Freyhof & Kottelat, 2007 in a Constantly Changing Environment
Abstract
:1. Introduction
2. Materials and Methods
2.1. Study Area
2.2. Sample Collection—Ethical Approval
2.3. Analytical Procedures
2.3.1. SDS-PAGE and Immunoblot Analysis
2.3.2. Histopathological Analysis
2.4. Statistical Analysis
3. Results
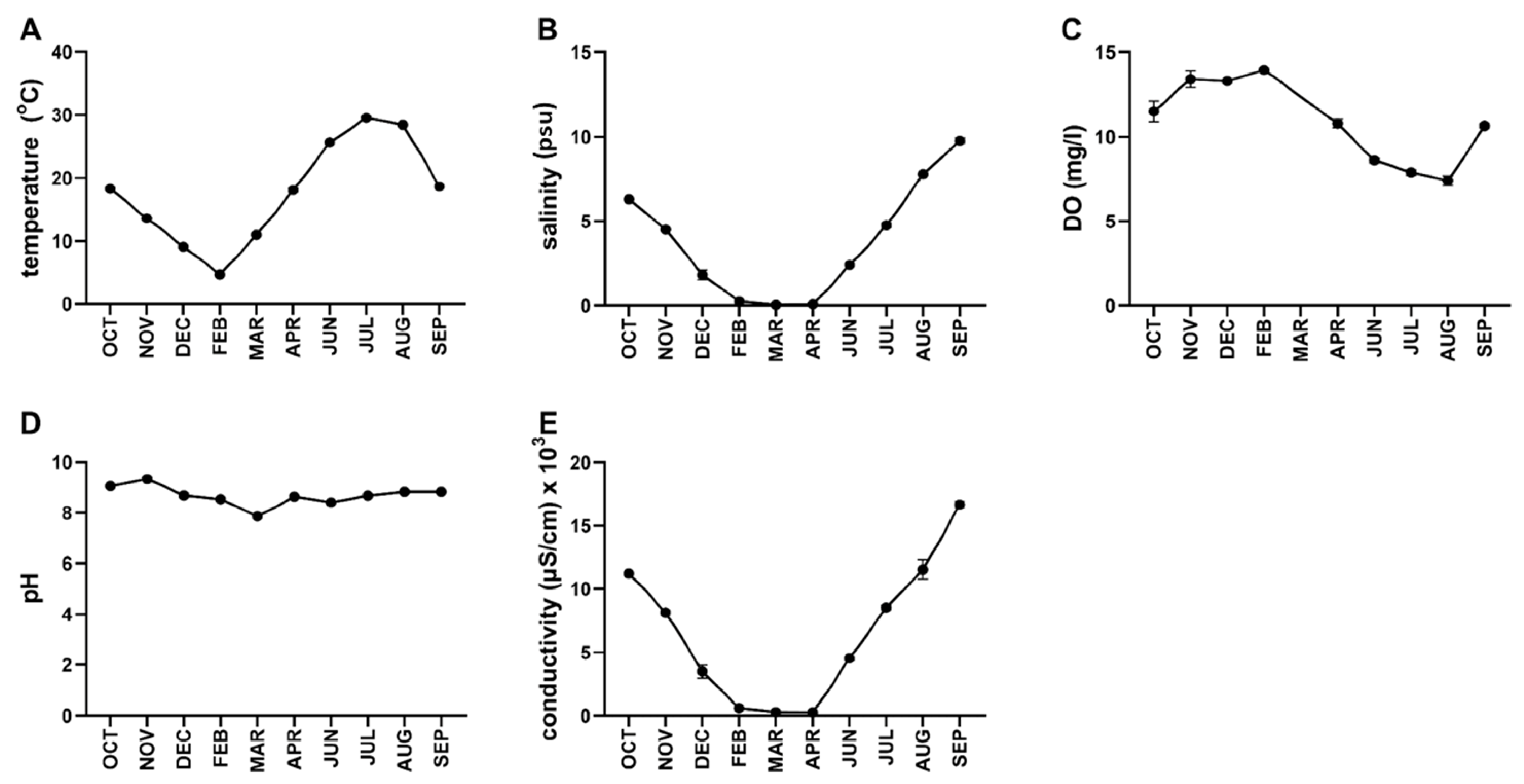
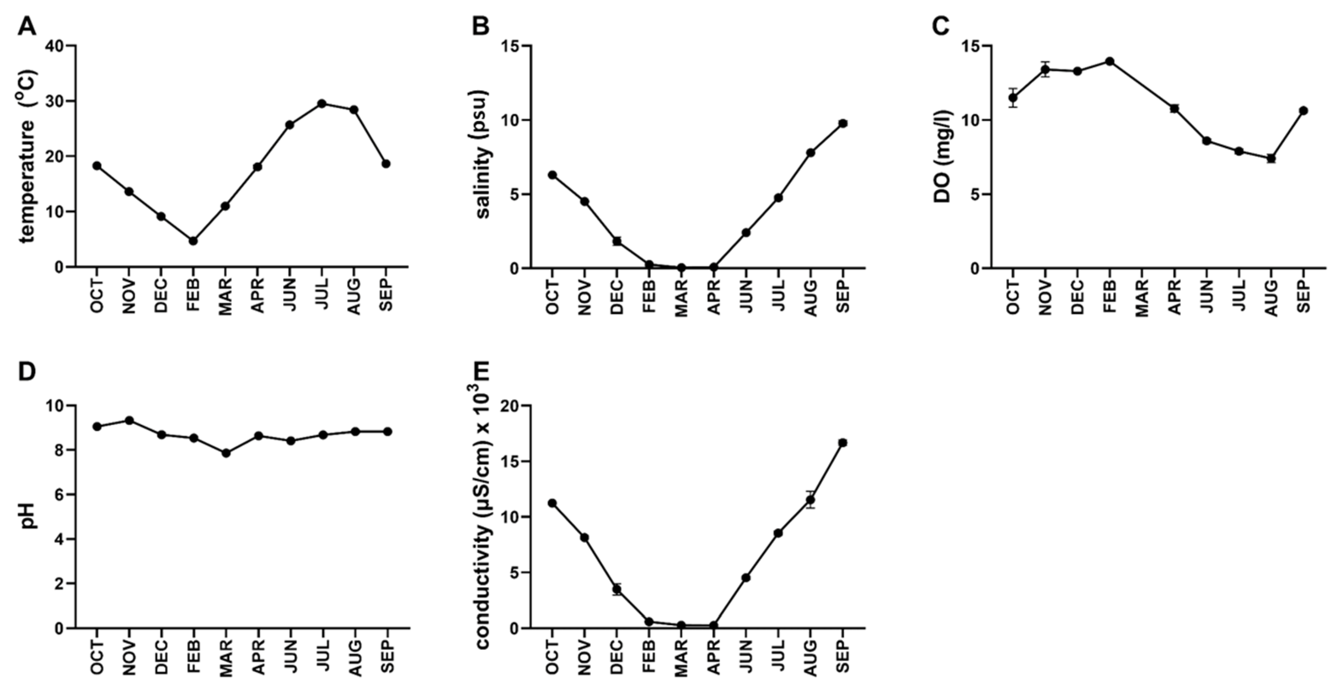
3.1. Water Parameters
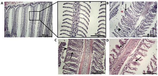
3.2. Gills Histopathology
3.3. HSPs
3.4. Na+-K+ ATPase
3.5. MAPKs
3.6. Multivariate Analysis
4. Discussion
4.1. HSPs’ Induction
4.2. MAPKs Phosphorylation
4.3. Gills’ Physiology
5. Conclusions
Author Contributions
Funding
Institutional Review Board Statement
Informed Consent Statement
Data Availability Statement
Acknowledgments
Conflicts of Interest
References
- Jesus, T.F.; Moreno, J.M.; Repolho, T.; Athanasiadis, A.; Rosa, R.; Almeida-Val, V.M.; Coelho, M.M. Protein analysis and gene expression indicate differential vulnerability of Iberian fish species under a climate change scenario. PLoS ONE 2017, 12, e0181325. [Google Scholar] [CrossRef] [Green Version]
- Latinopoulos, D.; Ntislidou, C.; Kagalou, I. Multipurpose plans for the sustainability of the Greek lakes: Emphasis on multiple stressors. Environ. Process. 2016, 3, 589–602. [Google Scholar] [CrossRef]
- Eliason, E.J.; Clark, T.D.; Hague, M.J.; Hanson, L.M.; Gallagher, Z.S.; Jeffries, K.M.; Gale, M.K.; Patterson, D.A.; Hinch, S.G.; Farrell, A.P. Differences in thermal tolerance among sockeye salmon populations. Science 2011, 332, 109–112. [Google Scholar] [CrossRef] [Green Version]
- Veilleux, H.D.; Ryu, T.; Donelson, J.M.; Van Herwerden, L.; Seridi, L.; Ghosheh, Y.; Beruman, M.L.; Leggat, W.; Ravasi, T.; Munday, P.L. Molecular processes of transgenerational acclimation to a warming ocean. Nat. Clim. Chang. 2015, 5, 1074–1078. [Google Scholar] [CrossRef] [Green Version]
- Pimentel, M.S.; Faleiro, F.; Diniz, M.; Machado, J.; Pousão-Ferreira, P.; Peck, M.A.; Pörtner, H.O.; Rosa, R. Oxidative stress and digestive enzyme activity of flatfish larvae in a changing ocean. PLoS ONE 2015, 10, e0134082. [Google Scholar] [CrossRef] [Green Version]
- Boeuf, G.; Payan, P. How should salinity influence fish growth? Comp. Biochem. Physiol. C 2001, 130, 411–423. [Google Scholar] [CrossRef]
- Tabassum, H.; Ashafaq, M.; Khan, J.; Shah, M.Z.; Raisuddin, S.; Parvez, S. Short term exposure of pendimethalin induces biochemical and histological perturbations in liver, kidney and gill of freshwater fish. Ecol. Indic. 2016, 63, 29–36. [Google Scholar] [CrossRef]
- Iwama, G.K.; Thomas, P.T.; Forsyth, R.B.; Vijayan, M.M. Heat shock protein expression in fish. Rev. Fish Biol. Fish. 1998, 8, 35–56. [Google Scholar] [CrossRef]
- Hofmann, G.E. Patterns of Hsp gene expression in ectothermic marine organisms on small to large biogeographic scales. Integr. Comp. Biol. 2005, 45, 247–255. [Google Scholar] [CrossRef] [Green Version]
- Tomanek, L. Variation in the heat shock response and its implication for predicting the effect of global climate change on species’ biogeographical distribution ranges and metabolic costs. J. Exp. Biol. 2010, 213, 971–979. [Google Scholar] [CrossRef] [Green Version]
- Sørensen, J.G.; Kristensen, T.N.; Loeschcke, V. The evolutionary and ecological role of heat shock proteins. Ecol. Lett. 2003, 6, 1025–1037. [Google Scholar] [CrossRef]
- Tine, M.; Bonhomme, F.; McKenzie, D.J.; Durand, J.D. Differential expression of the heat shock protein Hsp70 in natural populations of the tilapia, Sarotherodon melanotheron, acclimatised to a range of environmental salinities. BMC Ecol. 2010, 10, 11. [Google Scholar] [CrossRef] [Green Version]
- Feidantsis, K.; Pörtner, H.O.; Antonopoulou, E.; Michaelidis, B. Synergistic effects of acute warming and low pH on cellular stress responses of the gilthead seabream Sparus aurata. J. Comp. Physiol. B 2015, 185, 185–205. [Google Scholar] [CrossRef]
- Duffy, L.K.; Scofield, E.; Rodgers, T.; Patton, M.; Bowyer, R.T. Comparative baseline levels of mercury, Hsp 70 and Hsp 60 in subsistence fish from the Yukon-Kuskokwim delta region of Alaska. Comp. Biochem. Physiol. C 1999, 124, 181–186. [Google Scholar] [CrossRef]
- Vijayan, M.M.; Pereira, C.; Kruzynski, G.; Iwama, G.K. Sublethal concentrations of contaminant induce the expression of hepatic heat shock protein 70 in two salmonids. Aquat. Toxicol. 1998, 40, 101–108. [Google Scholar] [CrossRef]
- Sanders, B.M.; Jenkins, K.D.; Nichols, J.L.; Imber, B.E. Accumulation of Heat Shock Proteins for Evaluating Biological Damage due to Chronic Exposure of an Organism to Sublethal Levels of Pollutants. U.S. Patent No. 5232833; A, 3 August 1993. [Google Scholar]
- Hashimoto, H.; Fukuda, M.; Matsuo, Y.; Yokoyama, Y.; Nishida, E.; Toyohara, H.; Sakaguchi, M. Identification of a nuclear export signal of MKK6, an activator of the carp p38 mitogen activated protein kinases. Eur. J. Biochem. 2000, 267, 4362–4371. [Google Scholar] [CrossRef]
- Kültz, D.; Avila, K. Mitogen-activated protein kinases are in vivo transducers of osmosensory signals in fish gill cells. Comp. Biochem. Physiol. B 2001, 129, 821–829. [Google Scholar] [CrossRef]
- Marshall, W.S.; Ossum, C.G.; Hoffmann, E.K. Hypotonic shock mediation by p38 MAPK, JNK, PKC, FAK, OSR1 and SPAK in osmosensing chloride secreting cells of killifish opercular epithelium. J. Exp. Biol. 2005, 208, 1063–1077. [Google Scholar] [CrossRef] [Green Version]
- Leal, R.B.; Ribeiro, S.J.; Posser, T.; Cordova, F.M.; Rigon, A.P.; Zaniboni Filho, E.; Bainy, A.C. Modulation of ERK1/2 and p38 MAPK by lead in the cerebellum of Brazilian catfish Rhamdia quelen. Aquat. Toxicol. 2006, 77, 98–104. [Google Scholar] [CrossRef]
- Feidantsis, K.; Pörtner, H.O.; Lazou, A.; Kostoglou, B.; Michaelidis, B. Metabolic and molecular stress responses of the gilthead sea bream Sparus aurata during long term exposure to increasing temperatures. Mar. Biol. 2009, 156, 797–809. [Google Scholar] [CrossRef]
- Feidantsis, K.; Pörtner, H.O.; Markou, T.; Lazou, A.; Michaelidis, B. Involvement of p38 MAPK in the induction of Hsp70 during acute thermal stress in red blood cells of the gilthead sea bream, Sparus aurata. J. Exp. Zool. A 2012, 317, 303–310. [Google Scholar] [CrossRef]
- Karnaky, J.R.; Kinter, L.B.; Kinter, W.B.; Stirling, C.E. Na, K-ATPase in Killifish Fundulus heteroclitus Adapted to Low and High Salinity Environments. J. Cell Biol. 1976, 70, 157–177. [Google Scholar] [CrossRef] [PubMed] [Green Version]
- Maetz, J. Fish gills: Mechanisms of salt transfer in fresh water and sea water. Philos. Trans. R. Soc. Lond. B Biol. Sci. 1971, 262, 209–249. [Google Scholar] [CrossRef]
- Motais, R.; Garcia-Romeu, F. Transport mechanisms in the teleostean gill and amphibian skin. Annu. Rev. Physiol. 1972, 34, 141–176. [Google Scholar] [CrossRef] [PubMed]
- Maetz, J.; Bornancin, M. Biochemical and biophysical aspects of salt excretion by chloride cells in teleosts. Fortschr. Der Zool. 1975, 23, 322–362. [Google Scholar]
- Freyhof, J.; Kottelat, M. Alburnus vistonicus, a new species of shemaya from eastern Greece, with remarks on Chalcalburnus chalcoides macedonicus from Lake Volvi (Teleostei: Cyprinidae). Ichthyol. Explor. Freshw. 2007, 18, 205–212. [Google Scholar]
- Bobori, D.C.; Leonardos, I.; Ganias, K.; Sapounidis, A.; Petriki, O.; Ntislidou, C.; Mouchlianitis, F.; Tsakoumis, E.; Polyzou, C. Study and Management Proposals for the Two Endemic and under Extinction Fish Species of Lakes Vistonida and Mitrikou (Alosa vistonica and Alburnus vistonicus); Final Technical Report; Aristotle University of Thessaloniki: Thessaloniki, Greece, 2015. [Google Scholar]
- Legakis, A.; Maragou, P. The Red Data Book of Threatened Animals of Greece; Hellenic Zoological Society: Athens, Greece, 2009. [Google Scholar]
- Bobori, D.C.; Tsakoumis, E.; Mouchlianitis, F.A.; Antonopoulou, E.; Ganias, K. Growth and Reproductive Ecology of the Endemic Freshwater Fish Alburnus vistonicus Freyhof & Kottelat, 2007 (Actinopterygii: Cyprinidae) in Lake Vistonis System, Northern Greece. Acta Zool. Bulg. 2018, 70, 569–574. [Google Scholar]
- Mouchlianitis, F.A.; Bobori, D.; Tsakoumis, E.; Sapounidis, A.; Kritikaki, E.; Ganias, K. Does fragmented river connectivity alter the reproductive behavior of the potamodromous fish Alburnus vistonicus? Hydrobiologia 2021, 848, 4029–4044. [Google Scholar] [CrossRef]
- Manyala, J.O.; Ojuok, J.E. Survival of the Lake Victoria Rastrineobola argentea in a rapidly changing environment: Biotic and abiotic interactions. Aquat. Ecosyst. Health Manag. 2007, 10, 407–415. [Google Scholar] [CrossRef]
- Miller, M.J.; Capriles, J.M.; Hastorf, C.A. The fish of Lake Titicaca: Implications for archaeology and changing ecology through stable isotope analysis. J. Archaeol. Sci. 2010, 37, 317–327. [Google Scholar] [CrossRef]
- Njiru, M.; Mkumbo, O.C.; van der Knaap, M. Some possible factors leading to decline in fish species in Lake Victoria. Aquat. Ecosyst. Health Manag. 2010, 13, 3–10. [Google Scholar] [CrossRef]
- Yue, H.; Guo-Xiang, L.; Guo-Feng, P. Effect of artificial macrocosms on water characteristics and benthic diatom communities in Donghu Lake, China. J. Freshw. Ecol. 2016, 31, 533–542. [Google Scholar] [CrossRef] [Green Version]
- Koutrakis, E.T.; Kamidis, N.I.; Leonardos, I.D. Age, growth and mortality of a semi-isolated lagoon population of sand smelt, Atherina boyeri (Risso, 1810) (Pisces: Atherinidae) in an estuarine system of northern Greece. J. Appl. Ichthyol. 2004, 20, 382–388. [Google Scholar] [CrossRef]
- Appelberg, M.; Berger, H.M.; Hesthagen, T.; Kleiven, E.; Kurkilahti, M.; Raitaniemi, J.; Rask, M. Development and intercalibration of methods in Nordic freshwater fish monitoring. Water Air Soil Pollut. 1995, 85, 401–406. [Google Scholar] [CrossRef]
- CEN; European Committee for Standardization. Water Quality-Sampling of Fish with Multi-Mesh Gillnets; 2005; pp. 3–26. Available online: https://infostore.saiglobal.com/preview/is/en/2005/i.s.en14757-2005.pdf?sku=675315Bates (accessed on 17 November 2021).
- Hirai, N.; Tagawa, M.; Kaneko, T.; Seikai, T.; Tanaka, M. Distributional changes in branchial chloride cells during freshwater adaptation in Japanese sea bass Lateolabrax japonicus. Zool. Sci. 1999, 16, 43–49. [Google Scholar] [CrossRef] [Green Version]
- Pan, F.; Zarate, J.M.; Tremblay, G.C.; Bradley, T.M. Cloning and characterization of salmon hsp90 cDNA: Upregulation by thermal and hyperosmotic stress. J. Exp. Zool. 2000, 287, 199–212. [Google Scholar] [CrossRef]
- Azizi, S.; Kochanian, P.; Peyghan, R.; Khansari, A.; Bastami, K.D. Chloride cell morphometrics of common carp, Cyprinus carpio, in response to different salinities. Comp. Clin. Path. 2011, 20, 363–367. [Google Scholar] [CrossRef]
- Berillis, P.; Mente, E.; Nikouli, E.; Makridis, P.; Grundvig, H.; Bergheim, A.; Gausen, M. Improving aeration for efficient oxygenation in sea bass sea cages. Blood, brain and gill histology. Open Life Sci. 2016, 11, 270–279. [Google Scholar] [CrossRef] [Green Version]
- Dias, P.; Gupta, A.; Manna, S.K. Heat shock protein 70 expression in different tissues of Cirrhinus mrigala (Ham) following heat stress. Aquac. Res. 2005, 36, 525–529. [Google Scholar] [CrossRef]
- Deng, D.F.; Wang, C.; Lee, S.; Bai, S.; Hung, S.S.O. Feeding rates affects heat shock protein levels in liver of larval white sturgeon (Acipenser transmontanus). Aquaculture 2009, 287, 223–226. [Google Scholar] [CrossRef]
- Antonopoulou, E.; Kentepozidou, E.; Roufidou, C.; Despoti, S.; Feidantsis, K.; Chatzifotis, S. Starvation and re-feeding affect the expression of Hsp, MAPK and antioxidative enzymes of European sea bass (Dicentrarchus labrax). Comp. Biochem. Physiol. A 2013, 165, 79–88. [Google Scholar] [CrossRef]
- Lê, S.; Josse, J.; Husson, F. FactoMineR: A Package for Multivariate Analysis. J. Stat. Softw. 2008, 25, 1–18. [Google Scholar] [CrossRef] [Green Version]
- Livingstone, D.M.; Lotter, A.F. The relationship between air and water temperatures in lakes of the Swiss Plateau: A case study with pal\sgmaelig; olimnological implications. J. Paleolimnol. 1998, 19, 181–198. [Google Scholar] [CrossRef]
- Mohseni, O.; Stefan, H.G. Stream temperature/air temperature relationship: A physical interpretation. J. Hydrol. 1999, 218, 128–141. [Google Scholar] [CrossRef]
- Jackson, M.C.; Loewen, C.J.; Vinebrooke, R.D.; Chimimba, C.T. Net effects of multiple stressors in freshwater ecosystems: A meta-analysis. Glob. Chang. Biol. 2016, 22, 180–189. [Google Scholar] [CrossRef]
- Koutrakis, E.T. Biology and Population Dynamics of Grey Mullets (Pisces: Mugilidae) in the Lake Vistonis and the Lagoon of Porto–Lagos. Ph.D. Dissertation, Aristotle University of Thessaloniki, Thessaloniki, Greece, 1994. [Google Scholar]
- Schallenberg, M.; Hall, C.J.; Burns, C.W. Climate Change Alters Zooplankton Community Structure and Biodiversity in Coastal Wetlands; Report of Freshwater Ecology Group; University of Otago: Hamilton, New Zealand, 2001. [Google Scholar]
- Directive 2006/44/EC of 6 September 2006, on the quality of fresh waters needing protection or improvement in order to support fish life. Off. J. Eur. Union L 2006, 264, 20–31.
- Skoulikidis, N.T.; Bertahas, I.; Koussouris, T. The environmental state of freshwater resources in Greece (rivers and lakes). Environ. Geol. 1998, 36, 1–17. [Google Scholar] [CrossRef]
- Sodhi, N.S.; Brook, B.W.; Bradshaw, C.J. Causes and consequences of species extinctions. Princet. Guide Ecol. 2009, 1, 514–520. [Google Scholar]
- Kültz, D. Osmotic regulation of DNA activity and the cell cycle. In Environmental Stressors and Gene Responses; Storey, K.B., Storey, J.M., Eds.; Elsevier: Amsterdam, The Netherlands, 2000; pp. 157–180. [Google Scholar]
- Kültz, D.; Somero, G.N. Differences in protein patterns of gill epithelial cells of the fish Gillichthys mirabilis after osmotic and thermal acclimation. J. Comp. Physiol. B 1996, 166, 88–100. [Google Scholar] [CrossRef] [PubMed]
- Deane, E.E.; Kelly, S.P.; Luk, J.C.Y.; Woo, N.Y.S. Chronic salinity adaptation modulates hepatic heat shock protein and insulin-like growth factor I expression in black sea bream. Mar. Biotechnol. 2002, 4, 193–205. [Google Scholar] [CrossRef]
- Protas, M.; Conrad, M.; Gross, J.B.; Tabin, C.; Borowsky, R. Regressive evolution in the Mexican cave tetra, Astyanax mexicanus. Curr. Biol. 2007, 17, 452–454. [Google Scholar] [CrossRef] [Green Version]
- Grosell, M.; Nielsen, C.; Bianchini, A. Sodium turnover rate determines sensitivity to acute copper and silver exposure in freshwater animals. Comp. Biochem. Physiol. C 2002, 133, 287–303. [Google Scholar] [CrossRef]
- Monserrat, J.M.; Martínez, P.E.; Geracitano, L.A.; Amado, L.L.; Martins, C.M.; Pinho, G.L.L.; Chaves, I.S.; Ferreira-Cravo, M.; Ventura-Lima, J.; Bianchini, A. Pollution biomarkers in estuarine animals: Critical review and new perspectives. Comp. Biochem. Physiol. C 2007, 146, 221–234. [Google Scholar] [CrossRef]
- Saglam, D.; Atli, G.; Dogan, Z.; Baysoy, E.; Gurler, C.; Eroglu, A.; Canli, M. Response of the antioxidant system of freshwater fish (Oreochromis niloticus) exposed to metals (Cd, Cu) in differing hardness. Turkish J. Fish. Aquat. Sci. 2014, 14. [Google Scholar] [CrossRef]
- RohnerNJarosz, D.F.; Kowalko, J.E.; Yoshizawa, M.; Jeffery, W.R.; Borowsky, R.L.; Lindquist, S.; Tabin, C.J. Cryptic variation in morphological evolution: HSP90 as a capacitor for loss of eyes in cavefish. Science 2013, 342, 1372–1375. [Google Scholar] [CrossRef] [Green Version]
- Somero, G.N. Temperature relationships from molecules to biogeography. Hopkins Marine Station, Stanford University, Pacific Grove, California. In Handbook of Physiology, Vol. II, Section 13: Comparative Physiology; Oxford University Press: Oxford, UK, 1997; Chapter 19; pp. 1392–1444. [Google Scholar]
- Pörtner, H.O.; Knust, R. Climate change affects marine fishes through the Oxygen Limitation of Thermal Tolerance. Science 2007, 315, 95–97. [Google Scholar] [CrossRef] [PubMed] [Green Version]
- Kassahn, K.S.; Crozier, R.S.; Pörtner, H.O.; Caley, M.J. Animal performance and stress responses and tolerance limits at different levels of biological organisation. Biol. Rev. 2009, 84, 277–292. [Google Scholar] [CrossRef]
- Pörtner, H.O.; Peck, M.A. Climate change effects on fishes and fisheries: Towards a cause-and-effect understanding. J. Fish Biol. 2010, 77, 1745–1779. [Google Scholar] [CrossRef] [PubMed]
- Ju, Z.; Dunham, R.A.; Liu, Z. Differential gene expression in the brain of channel catfish (Ictalurus punctatus) in response to cold acclimation. Mol. Genet. Genom. 2002, 268, 87–95. [Google Scholar] [CrossRef]
- Ali, K.S.; Dorgai, L.; Abraham, M.; Hermesz, E. Tissue- and stressor-specific differential expression of two hsc70 genes in carp. Biochem. Biophys. Res. Commun. 2003, 307, 503–509. [Google Scholar] [CrossRef]
- Place, S.P.; Zippay, M.L.; Hofmann, G.E. Constitutive roles for inducible genes: Evidence for the alteration in expression of the inducible hsp70 gene in Antarctic notothenioid fishes. Am. J. Physiol. 2004, 287, R429–R436. [Google Scholar] [CrossRef] [Green Version]
- Place, S.P.; Hofmann, G.E. Comparison of Hsc70 orthologs from polar and temperate notothenioid fishes: Differences in prevention of aggregation and refolding of denatured proteins. Am. J. Physiol. 2005, 288, R1195–R1202. [Google Scholar] [CrossRef] [PubMed]
- Feidantsis, K.; Antonopoulou, E.; Lazou, A.; Pörtner, H.O.; Michaelidis, B. Seasonal variations of cellular stress response of the gilthead sea bream (Sparus aurata). J. Comp. Physiol. B 2013, 183, 625–639. [Google Scholar] [CrossRef] [PubMed]
- Currie, S.; Moyes, C.D.; Tufts, B. The effects of heat shock and acclimation temperature on hsp 70 and hsp30 mRNA expression in rainbow trout: In vivo and in vitro comparisons. J. Fish Biol. 2000, 56, 398–408. [Google Scholar] [CrossRef]
- Sherry, J.P. The role of biomarkers in the health assessment of aquatic ecosystems. Aquat. Ecosyst. Health Manag. 2003, 6, 423–440. [Google Scholar] [CrossRef]
- Lewis, T.S.; Shapiro, P.S.; Ahn, N.G. Signal Transduction through MAP kinase cascades. Adv. Cancer Res. 1998, 74, 49–139. [Google Scholar] [CrossRef]
- Kyriakis, J.M.; Avruch, J. Mammalian mitogen activated protein kinase signal transduction pathways activated by stress and inflammation. Physiol. Rev. 2001, 81, 807–869. [Google Scholar] [CrossRef] [Green Version]
- Froese, R.; Pauly, D. (Eds.) FishBase. World Wide Web Electronic Publication 2016. Version (01/2016). Available online: www.fishbase.org (accessed on 22 May 2021).
- Sollid, J.; De Angelis, P.; Gundersen, K.; Nilsson, G.E. Hypoxia induces adaptive and reversible gross morphological changes in crucian carp gills. J. Exp. Biol. 2003, 206, 3667–3673. [Google Scholar] [CrossRef] [Green Version]
- Sollid, J.; Weber, R.E.; Nilsson, G.E. Temperature alters the respiratory surface area of crucian carp (Carassius carassius) and goldfish (Carassius auratus). J. Exp. Biol. 2005, 208, 1109–1116. [Google Scholar] [CrossRef] [Green Version]
- Herrera, M.; Aragao, C.; Hachero, I.; Ruiz-Jarabo, I.; Vargas-Chacoff, L.; Miguel Mancera, J.; Conceicao, L.E.C. Physiological shortterm response to sudden salinity change in the Senegalese sole (Solea senegalensis). Fish Physiol. Biochem. 2012, 38, 1741–1751. [Google Scholar] [CrossRef]
- McCormick, S.D. Methods for nonlethal gill biopsy and measurement of Na+, K+-ATPase activity. Can. J. Fish. Aquat. Sci. 1993, 50, 656–658. [Google Scholar] [CrossRef]
- Weng, C.F.; Chiang, C.C.; Gong, H.Y.; Chen, M.H.C.; Lin, C.J.F.; Huang, W.T.; Cheng, C.Y.; Hwang, P.P.; Wu, J.L. Acute changes in gill Na+-K+-ATPase and creatine kinase in response to salinity changes in the euryhaline teleost, tilapia (Oreochromis mossambicus). Physiol. Biochem. Zool. 2002, 75, 29–36. [Google Scholar] [CrossRef] [PubMed] [Green Version]
- Pörtner, H.O.; Lucassen, M.; Storch, D. Metabolic biochemistry: Its role in thermal tolerance and in the capacities and in the capacities of physiological and ecological function. Fish Physiol. 2005, 22, 79–118. [Google Scholar] [CrossRef]








| Histological Lesion | OCT | NOV | DEC | FEB | MAR | APR | JUN | JUL | AUG | SEP |
|---|---|---|---|---|---|---|---|---|---|---|
| Epithelium detachment (edema) at the secondary lamella | +(3) | - | +(4) | +(2) | +(3) | +(3) | +(2) | - | +(2) | +(4) |
| Hyperplasia of the primary lamella | +(3) | - | +(3) | +(2) | +(4) | +(2) | +(2) | +(1) | +(1) | +(3) |
| Hyperemia (aneurysm) of the secondary lamella | +(2) | - | - | - | - | +(2) | +(1) | +(1) | - | - |
| Hyperplasia of the edge of the secondary lamella | - | - | - | - | - | - | - | - | - | - |
| Hypoplasia (small size) of the secondary lamella | - | - | - | - | - | - | - | +(1) | - | - |
| Hyperplasia of the secondary lamella | - | - | - | +(2) | +(3) | - | - | +(1) | - | - |
Publisher’s Note: MDPI stays neutral with regard to jurisdictional claims in published maps and institutional affiliations. |
© 2021 by the authors. Licensee MDPI, Basel, Switzerland. This article is an open access article distributed under the terms and conditions of the Creative Commons Attribution (CC BY) license (https://creativecommons.org/licenses/by/4.0/).
Share and Cite
Tsakoumis, E.; Tsoulia, T.; Feidantsis, K.; Mouchlianitis, F.A.; Berillis, P.; Bobori, D.; Antonopoulou, E. Cellular Stress Responses of the Endemic Freshwater Fish Species Alburnus vistonicus Freyhof & Kottelat, 2007 in a Constantly Changing Environment. Appl. Sci. 2021, 11, 11021. https://doi.org/10.3390/app112211021
Tsakoumis E, Tsoulia T, Feidantsis K, Mouchlianitis FA, Berillis P, Bobori D, Antonopoulou E. Cellular Stress Responses of the Endemic Freshwater Fish Species Alburnus vistonicus Freyhof & Kottelat, 2007 in a Constantly Changing Environment. Applied Sciences. 2021; 11(22):11021. https://doi.org/10.3390/app112211021
Chicago/Turabian StyleTsakoumis, Emmanouil, Thomais Tsoulia, Konstantinos Feidantsis, Foivos Alexandros Mouchlianitis, Panagiotis Berillis, Dimitra Bobori, and Efthimia Antonopoulou. 2021. "Cellular Stress Responses of the Endemic Freshwater Fish Species Alburnus vistonicus Freyhof & Kottelat, 2007 in a Constantly Changing Environment" Applied Sciences 11, no. 22: 11021. https://doi.org/10.3390/app112211021
APA StyleTsakoumis, E., Tsoulia, T., Feidantsis, K., Mouchlianitis, F. A., Berillis, P., Bobori, D., & Antonopoulou, E. (2021). Cellular Stress Responses of the Endemic Freshwater Fish Species Alburnus vistonicus Freyhof & Kottelat, 2007 in a Constantly Changing Environment. Applied Sciences, 11(22), 11021. https://doi.org/10.3390/app112211021

