Modified Infinite-Time State-Dependent Riccati Equation Method for Nonlinear Affine Systems: Quadrotor Control
Abstract
1. Introduction
2. SDRE Method
3. Modified SDRE Method
4. Stability Analysis
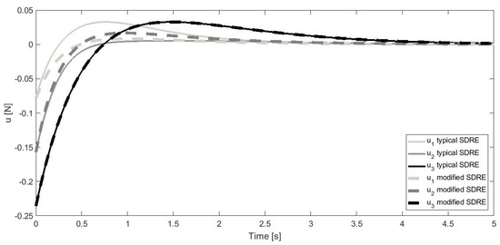
5. Numerical Simulation
6. Conclusions
Author Contributions
Funding
Institutional Review Board Statement
Informed Consent Statement
Data Availability Statement
Acknowledgments
Conflicts of Interest
References
- Cloutier, J.R. State-dependent Riccati equation techniques: An overview. In Proceedings of the 1997 American Control Conference (Cat. No. 97CH36041), Albuquerque, NM, USA, 6 June 1997; Volume 2, pp. 932–936. [Google Scholar]
- Cohen, M.R.; Abdulrahim, K.; Forbes, J.R. Finite-Horizon LQR Control of Quadrotors on SE_2(3). IEEE Robot. Autom. Lett. 2020, 5, 5748–5755. [Google Scholar] [CrossRef]
- Okyere, E.; Bousbaine, A.; Poyi, G.T.; Joseph, A.K.; Andrade, J.M. LQR controller design for quad-rotor helicopters. J. Eng. 2019, 2019, 4003–4007. [Google Scholar] [CrossRef]
- Gros, S.; Quirynen, R.; Diehl, M. Aircraft control based on fast non-linear MPC & multiple-shooting. In Proceedings of the 2012 IEEE 51st IEEE Conference on Decision and Control (CDC), Maui, HI, USA, 10–13 December 2012; pp. 1142–1147. [Google Scholar]
- Richter, S.; Jones, C.N.; Morari, M. Real-time input-constrained MPC using fast gradient methods. In Proceedings of the 48h IEEE Conference on Decision and Control (CDC) Held Jointly with 2009 28th Chinese Control Conference, Shanghai, China, 15–18 December 2009; pp. 7387–7393. [Google Scholar]
- Fnadi, M.; Alexandre dit Sandretto, J. Experimental Validation of a Guaranteed Nonlinear Model Predictive Control. Algorithms 2021, 14, 248. [Google Scholar] [CrossRef]
- Lin, L.G. Nonlinear Control Systems: A ‘State-Dependent (Differential) Riccati Equation’ Approach. Ph.D. Thesis, Faculty of Engineering Science, KU Lueven and NCTU, Leuven, Belgium, 2014. [Google Scholar]
- Fnadi, M.; Du, W.; Plumet, F.; Benamar, F. Constrained Model Predictive Control for dynamic path tracking of a bi-steerable rover on slippery grounds. Control Eng. Pract. 2021, 107, 104693. [Google Scholar] [CrossRef]
- Mracek, C.P.; Cloutier, J.R. Control designs for the nonlinear benchmark problem via the state-dependent Riccati equation method. Int. J. Robust Nonlinear Control 1998, 8, 401–433. [Google Scholar] [CrossRef]
- Çimen, T. State-dependent Riccati equation (SDRE) control: A survey. IFAC Proc. Vol. 2008, 41, 3761–3775. [Google Scholar] [CrossRef]
- Kaczorek, T. Minimum energy control of positive continuous- time linear systems with bounded inputs. Int. J. Appl. Math. Comput. Sci. 2013, 23, 725–730. [Google Scholar] [CrossRef][Green Version]
- Bernat, J.; Stepien, S.J.; Stranz, A.; Superczynska, P. Infinite-time linear–quadratic optimal control of the BLDC motor exploiting a nonlinear finite element model. COMPEL- Int. J. Comput. Math. Electr. Electron. Eng. 2017, 36, 633–648. [Google Scholar] [CrossRef]
- Stansbery, D.T.; Cloutier, J.R. Position and attitude control of a spacecraft using the state-dependent Riccati equation technique. In Proceedings of the 2000 American Control Conference, ACC (IEEE Cat. No. 00CH36334), Chicago, IL, USA, 28–30 June 2000; Volume 3, pp. 1867–1871. [Google Scholar]
- Razzaghi, P.; Al Khatib, E.; Bakhtiari, S. Sliding mode and SDRE control laws on a tethered satellite system to de-orbit space debris. Adv. Space Res. 2019, 64, 18–27. [Google Scholar] [CrossRef]
- Weickgenannt, M.; Zimmert, N.; Klumpp, S.; Sawodny, O. Application of SDRE control to servopneumatic drives. In Proceedings of the 2010 IEEE International Conference on Control Applications, Yokohama, Japan, 8–10 September 2010; pp. 1725–1730. [Google Scholar]
- Jing-Liang, S.; Chun-Sheng, L.; Ke, L.; Hao-Ming, S. Optimal robust control for attitude of quad-rotor aircraft based on sdre. In Proceedings of the 2015 34th Chinese Control Conference (CCC), Hangzhou, China, 28–30 July 2015; pp. 2333–2337. [Google Scholar]
- Guo, R.; Wu, A.; Lang, Z.; Zhang, X. A nonlinear attitude control method for an unmanned helicopter. In Proceedings of the 2010 2nd International Asia Conference on Informatics in Control, Automation and Robotics (CAR 2010), Wuhan, China, 6–7 March 2010; Volume 1, pp. 166–169. [Google Scholar]
- Guo, R.; Chen, J. Sdre attitude control with global asymptotic stability for an unmanned helicopter. In Proceedings of the 2011 International Conference on Transportation, Mechanical, and Electrical Engineering (TMEE), Changchun, China, 16–18 December 2011; pp. 1044–1049. [Google Scholar]
- dos Santos, G.P.; Balthazar, J.M.; Janzen, F.C.; Rocha, R.T.; Nabarrete, A.; Tusset, A.M. Nonlinear dynamics and SDRE control applied to a high-performance aircraft in a longitudinal flight considering atmospheric turbulence in flight. J. Sound Vib. 2018, 436, 273–285. [Google Scholar] [CrossRef]
- Chipofya, M.; Lee, D.J. Position and altitude control of a quadcopter using state-dependent Riccati equation (SDRE) control. In Proceedings of the 2017 17th International Conference on Control, Automation and Systems (ICCAS), Jeju, Korea, 18–21 October 2017; pp. 1242–1244. [Google Scholar]
- Shihabudheen, K.; Thankachan, J.; Vasista, C. SDRE control of flexible beam manipulator. In Proceedings of the 2015 International Conference on Soft Computing Techniques and Implementations (ICSCTI), Faridabad, India, 8–10 October 2015; pp. 148–154. [Google Scholar]
- Nekoo, S.R. Nonlinear closed loop optimal control: A modified state-dependent Riccati equation. ISA Trans. 2013, 52, 285–290. [Google Scholar] [CrossRef] [PubMed]
- Roudkenary, K.A.; Khaloozadeh, H.; Sedigh, A.K. SDRE control of non-affine systems. In Proceedings of the 2016 4th International Conference on Control, Instrumentation, and Automation (ICCIA), Qazvin, Iran, 27–28 January 2016; pp. 239–244. [Google Scholar]
- Itik, M.; Salamci, M.U.; Banks, S.P. SDRE optimal control of drug administration in cancer treatment. Turk. J. Electr. Eng. Comput. Sci. 2010, 18, 715–730. [Google Scholar]
- Banks, H.; Lewis, B.; Tran, H.T. Nonlinear feedback controllers and compensators: A state-dependent Riccati equation approach. Comput. Optim. Appl. 2007, 37, 177–218. [Google Scholar] [CrossRef]
- Voos, H. Nonlinear state-dependent Riccati equation control of a quadrotor UAV. In Proceedings of the 2006 IEEE Conference on Computer Aided Control System Design, 2006 IEEE International Conference on Control Applications, 2006 IEEE International Symposium on Intelligent Control, Munich, Germany, 4–6 October 2006; pp. 2547–2552. [Google Scholar]
- Barata, J.C.A.; Hussein, M.S. The Moore–Penrose pseudoinverse: A tutorial review of the theory. Braz. J. Phys. 2012, 42, 146–165. [Google Scholar] [CrossRef]
- Knobloch, H.W.; Kwakernaak, H. Lineare Kontrolltheorie; Springer: Berlin/Heidelberg, Germany, 2013. [Google Scholar]
- Kwakernaak, H.; Sivan, R. Linear Optimal Control Systems; Wiley: New York, NY, USA, 1972; Volume 1. [Google Scholar]
- Anderson, B.D.; Moore, J.B. Optimal Control: Linear Quadratic Methods; Courier Corporation: Tokyo, Japan, 2007. [Google Scholar]
- Wernli, A.; Cook, G. Suboptimal control for the nonlinear quadratic regulator problem. Automatica 1975, 11, 75–84. [Google Scholar] [CrossRef]
- Cloutier, J.R.; D’Souza, C.N.; Mracek, C.P. Nonlinear regulation and nonlinear H∞ control via the state-dependent Riccati equation technique: Part 1, theory. In Proceedings of the First International Conference on Nonlinear Problems in Aviation and Aerospace, Daytona Beach, FL, USA, 9–11 May 1996; Embry-Riddle Aeronautical Univ. Press: Daytona Beach, FL, USA, 1996; pp. 117–130. [Google Scholar]
- Cloutier, J.R.; Stansbery, D.T.; Sznaier, M. On the recoverability of nonlinear state feedback laws by extended linearization control techniques. In Proceedings of the 1999 American Control Conference (Cat. No. 99CH36251), San Diego, CA, USA, 2–4 June 1999; Volume 3, pp. 1515–1519. [Google Scholar]
- Liang, Y.W.; Lin, L.G. Analysis of SDC matrices for successfully implementing the SDRE scheme. Automatica 2013, 49, 3120–3124. [Google Scholar] [CrossRef]
- Meyer, C.D., Jr. Generalized inversion of modified matrices. SIAM J. Appl. Math. 1973, 24, 315–323. [Google Scholar] [CrossRef]
- Kaczorek, T.; Dzieliński, A.; Dabrowski, W.; Łopatka, R. Podstawy Teorii Sterowania; Wydawnictwo WNT: Warsaw, Poland, 2014. [Google Scholar]
- Erdem, E.; Alleyne, A.G. Globally stabilizing second order nonlinear systems by SDRE control. In Proceedings of the 1999 American Control Conference (Cat. No. 99CH36251), San Diego, CA, USA, 2–4 June 1999; Volume 4, pp. 2501–2505. [Google Scholar]
- Brauer, F.; Nohel, J.A. The Qualitative Theory of Ordinary Differential Equations: An Introduction; Courier Corporation: Tokyo, Japan, 2012. [Google Scholar]
- Heydari, A.; Balakrishnan, S. Closed-form solution to finite-horizon suboptimal control of nonlinear systems. Int. J. Robust Nonlinear Control 2015, 25, 2687–2704. [Google Scholar] [CrossRef]
- Zhao, W.; Go, T.H. Quadcopter formation flight control combining MPC and robust feedback linearization. J. Frankl. Inst. 2014, 351, 1335–1355. [Google Scholar] [CrossRef]




| Parameter | Value | Unit |
|---|---|---|
| g | 9.81 | |
| m | 0.5 | kg |
| l | 0.3 | m |
| 0.0081 | kgm | |
| 0.0081 | kgm | |
| 0.0162 | kgm | |
| 0.01 | N |
| Comparison of Simulation Time | |
|---|---|
| classical SDRE | |
| 11.276407 s | |
| 11.978995 s | |
| 11.224440 s | |
| modified SDRE | |
| 2.893052 s | |
| 2.433471 s | |
| 2.590412 s | |
Publisher’s Note: MDPI stays neutral with regard to jurisdictional claims in published maps and institutional affiliations. |
© 2021 by the authors. Licensee MDPI, Basel, Switzerland. This article is an open access article distributed under the terms and conditions of the Creative Commons Attribution (CC BY) license (https://creativecommons.org/licenses/by/4.0/).
Share and Cite
Stępień, S.; Superczyńska, P. Modified Infinite-Time State-Dependent Riccati Equation Method for Nonlinear Affine Systems: Quadrotor Control. Appl. Sci. 2021, 11, 10714. https://doi.org/10.3390/app112210714
Stępień S, Superczyńska P. Modified Infinite-Time State-Dependent Riccati Equation Method for Nonlinear Affine Systems: Quadrotor Control. Applied Sciences. 2021; 11(22):10714. https://doi.org/10.3390/app112210714
Chicago/Turabian StyleStępień, Sławomir, and Paulina Superczyńska. 2021. "Modified Infinite-Time State-Dependent Riccati Equation Method for Nonlinear Affine Systems: Quadrotor Control" Applied Sciences 11, no. 22: 10714. https://doi.org/10.3390/app112210714
APA StyleStępień, S., & Superczyńska, P. (2021). Modified Infinite-Time State-Dependent Riccati Equation Method for Nonlinear Affine Systems: Quadrotor Control. Applied Sciences, 11(22), 10714. https://doi.org/10.3390/app112210714

