Effect of Vacuum Impregnation with Sucrose and Plant Growth Hormones to Mitigate the Chilling Injury in Spinach Leaves
Abstract
1. Introduction
2. Materials and Methods
2.1. Plant Material
2.2. Impregnating Solutions
2.3. Vacuum Impregnation
2.4. Sample Preparation
2.4.1. Proline
2.4.2. Chlorophyll
2.4.3. Weight Loss
2.4.4. Total Soluble Solids
2.4.5. Titratable Acidity
2.4.6. Color
2.4.7. Overall Visual Quality
2.4.8. Sensory Evaluation
2.5. Statistical Analysis
3. Results
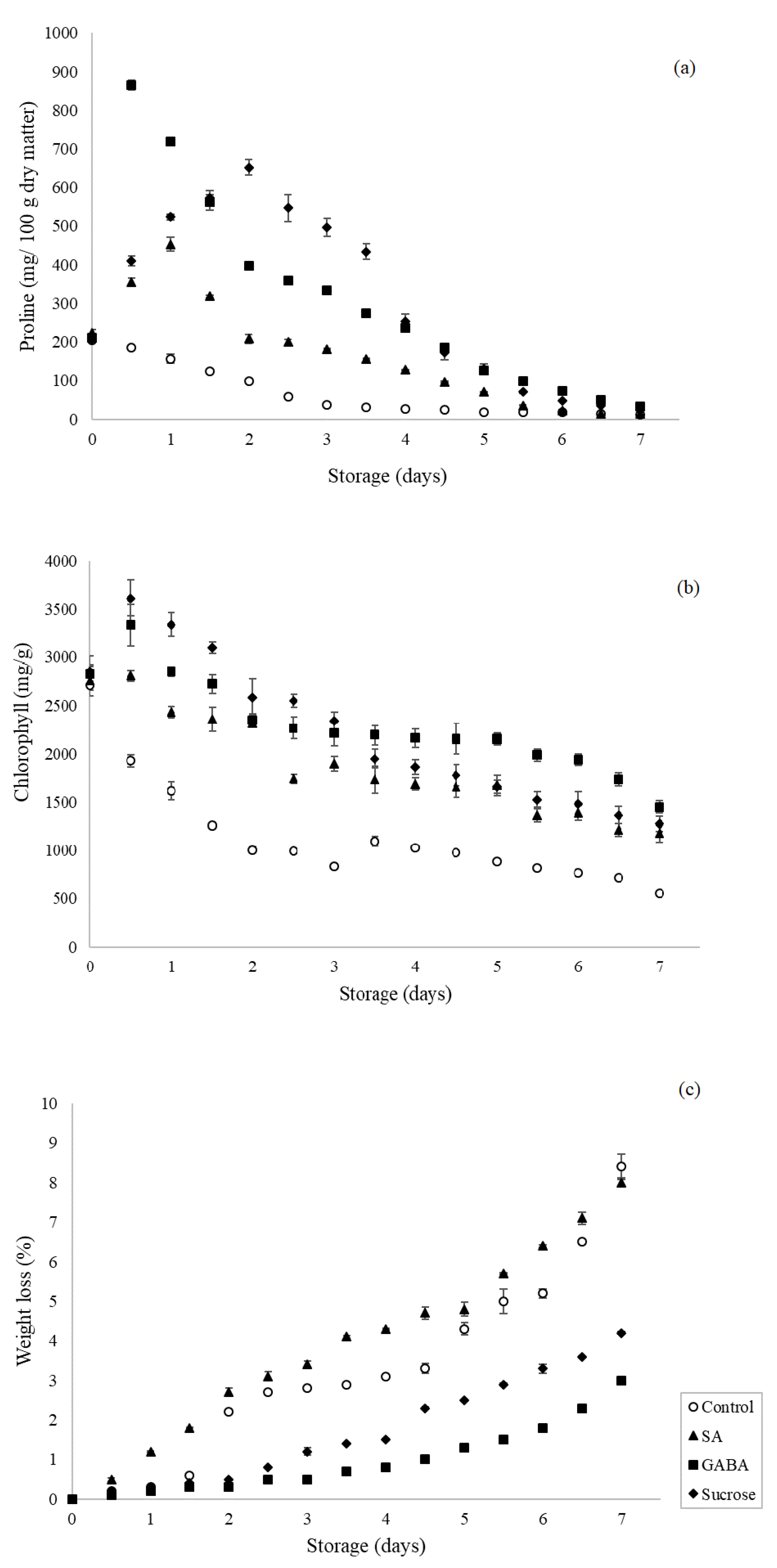
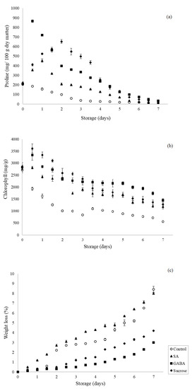
3.1. Long Term Metabolic Response: Effects of Different Impregnating Solutions on Proline Content of Spinach Leaves
3.2. Long Term Metabolic Response: Effects of Different Iimpregnating Solutions on Chlorophyll Degradation in Spinach Leaves
3.3. Physicochemical Changes: Weight Loss
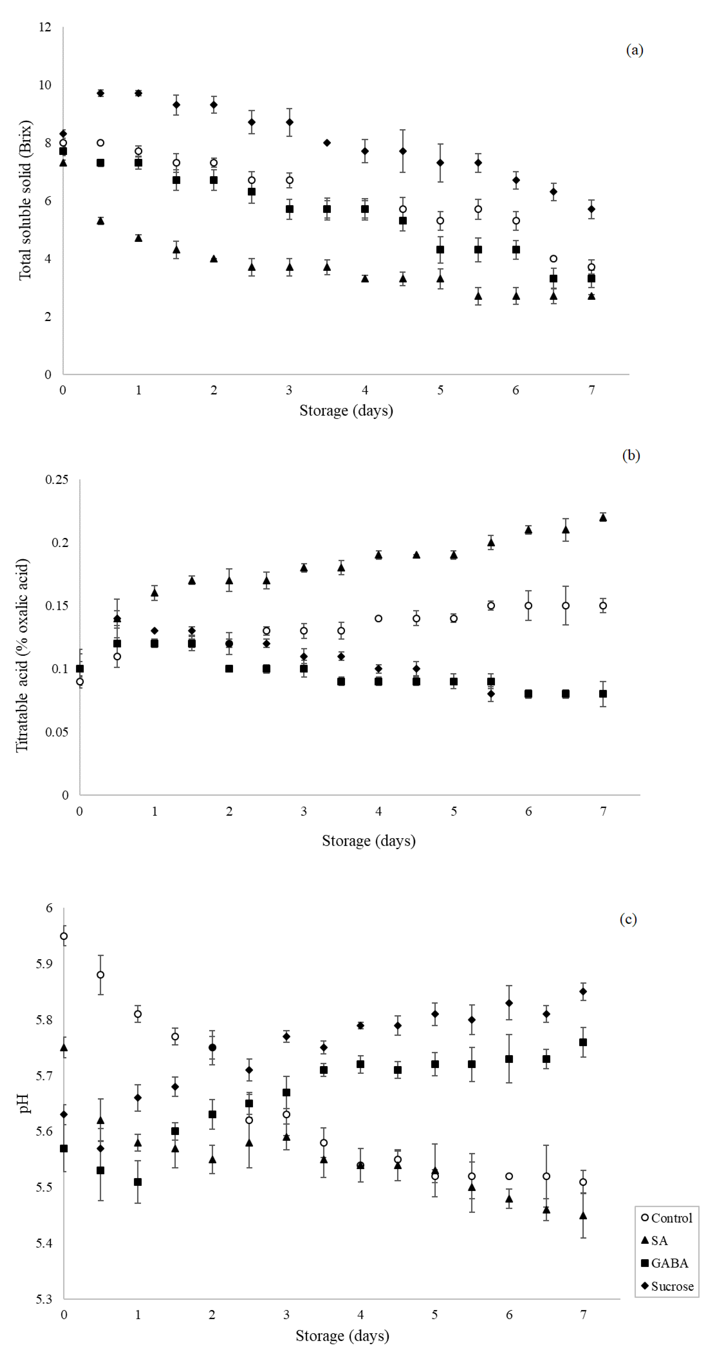
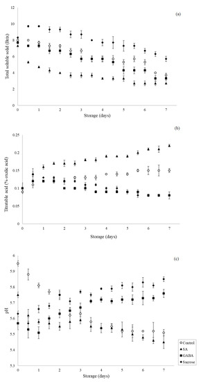
3.4. Physicochemical Changes: Total Soluble Solid
3.5. Physicochemical Changes: Titratable Acidity
3.6. Physicochemical Changes: pH Value
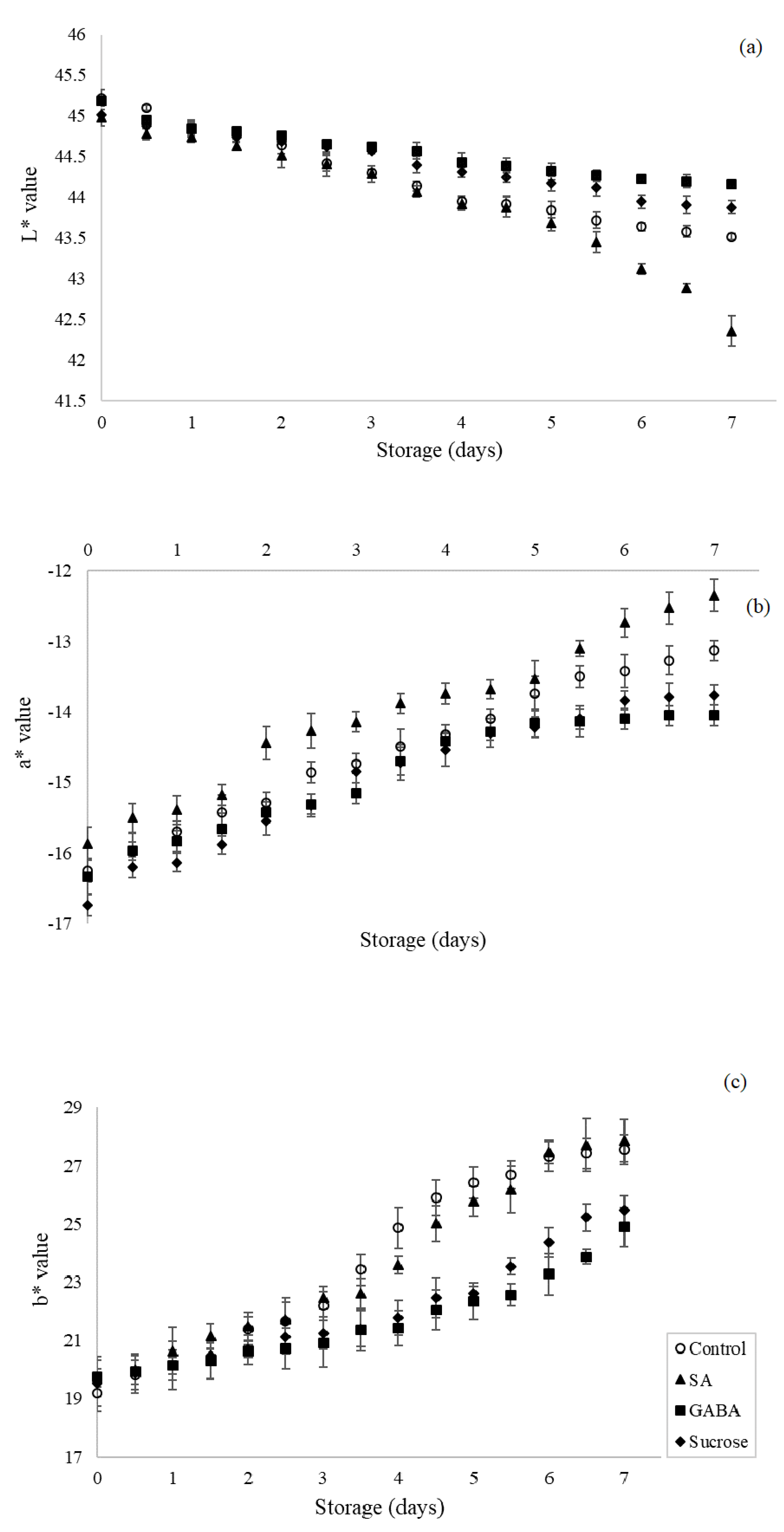
3.7. Physicochemical Changes: Colour
3.8. Overall Visual Quality
3.9. Sensory Evaluation
4. Discussion
4.1. Effect of VI on Proline Content of Spinach Leaves
4.2. Effect of VI on Chlorophyll Content of Spinach Leaves
4.3. Effect of VI on Physicochemical Changes of Spinach Leaves: Weight Loss, Total Soluble Solids, Titratable Acidity and pH
4.4. Sensory Evaluation
5. Conclusions
- All of these substances are able to increase the proline content in spinach leaves with increment of 240%, 153% and 103% in GABA, SA and sucrose impregnated leaves respectively. At the same time, these substances are proven to mitigate the chilling injury in spinach leaves based on the results from sensory evaluation which all of the impregnated leaves score better result as compared to non-impregnated leaves.
- The impregnation of these substances is also able to improve the chlorophyll content, subsequently lowering the chlorophyll degradation in all impregnated leaves as compared to the non-impregnated leaves. Thus, minimizing the chlorophyll degradation has delayed the yellowing of the spinach leaves.
- Spinach leaves impregnated with GABA and sucrose recorded lower percentage of weight loss which indicates that GABA and sucrose are able to maintain its textural integrity by preventing loss of water from transpiration and respiration in spinach throughout 7 days of storage time.
- The changes in pH value for all three impregnated leaves were not significantly different as compared to the non-impregnated leaves.
- The organoleptic evaluation revealed that all compounds used are able to reduce the chilling injury in spinach leaves, with GABA being the most effective followed by sucrose and SA.
Author Contributions
Funding
Institutional Review Board Statement
Informed Consent Statement
Acknowledgments
Conflicts of Interest
References
- Pla, M.F.D.E.; Flores, S.; Genevois, C.E. Innovative strategies and nutritional perspectives for fortifying pumpkin tissue and other vegetable matrices with iron. Food Sci. Hum. Wellness 2020, 9, 103–111. [Google Scholar] [CrossRef]
- Mao, J.; Zhang, L.; Chen, F.; Lai, S.; Yang, B.; Yang, H. Effect of Vacuum Impregnation Combined with Calcium Lactate on the Firmness and Polysaccharide Morphology of Kyoho Grapes (Vitis vinifera x V. labrusca). Food Bioprocess Technol. 2016, 10, 699–709. [Google Scholar] [CrossRef]
- Cozzolino, R.; Martignetti, A.; Cefola, M.; Pace, B.; Capotorto, I.; De Giulio, B.; Montemurro, N.; Pellicano, M. Volatile metabolites, quality and sensory parameters of “Ferrovia” sweet cherry cold stored in air or packed in high CO2 modified atmospheres. Food Chem. 2019, 286, 659–668. [Google Scholar] [CrossRef]
- Li, Y.; Zhang, L.; Chen, F.; Lai, S.; Yang, H. Effects of Vacuum Impregnation with Calcium Ascorbate and Disodium Stannous Citrate on Chinese Red Bayberry. Food Bioprocess Technol. 2018, 11, 1300–1316. [Google Scholar] [CrossRef]
- Dou, Z.; Toth, J.D. Global primary data on consumer food waste: Rate and characteristics—A review. Resour. Conserv. Recycl. 2021, 168, 105332. [Google Scholar] [CrossRef]
- Zhang, W.; Jiang, H.; Cao, J.; Jiang, W. Advances in biochemical mechanisms and control technologies to treat chilling injury in postharvest fruits and vegetables. Trends Food Sci. Technol. 2021, 113, 355–365. [Google Scholar] [CrossRef]
- Hernández, J.A.; Diaz-Vivancos, P.; Barba-Espín, G.; Clemente-Moreno, M.J. On the Role of Salicylic Acid in Plant Responses to Environmental Stresses. In Salicylic Acid: A Multifaceted Hormone; Springer: Berlin/Heidelberg, Germany, 2017; pp. 17–34. [Google Scholar]
- Koo, Y.M.; Heo, A.Y.; Choi, H.W. Salicylic Acid as a Safe Plant Protector and Growth Regulator. Plant Pathol. J. 2020, 36, 1–10. [Google Scholar] [CrossRef]
- Kim, Y.; Kim, S.; Shim, I.-S. Exogenous salicylic acid alleviates salt-stress damage in cucumber under moderate nitrogen conditions by controlling endogenous salicylic acid levels. Hortic. Environ. Biotechnol. 2017, 58, 247–253. [Google Scholar] [CrossRef]
- Khademi, O.; Ashtari, M.; Razavi, F. Effects of salicylic acid and ultrasound treatments on chilling injury control and quality preservation in banana fruit during cold storage. Sci. Hortic. 2019, 249, 334–339. [Google Scholar] [CrossRef]
- Rasouli, M.; Saba, M.K.; Ramezanian, A. Inhibitory effect of salicylic acid and Aloe vera gel edible coating on microbial load and chilling injury of orange fruit. Sci. Hortic. 2019, 247, 27–34. [Google Scholar] [CrossRef]
- Chen, L.; Zhao, X.; Wu, J.; He, Y.; Yang, H. Metabolic analysis of salicylic acid-induced chilling tolerance of banana using NMR. Food Res. Int. 2020, 128, 108796. [Google Scholar] [CrossRef]
- Ramos-Ruiz, R.; Martinez, F.; Knauf-Beiter, G. The effects of GABA in plants. Cogent Food Agric. 2019, 5, 1–12. [Google Scholar] [CrossRef]
- Podlešáková, K.; Ugena, L.; Spíchal, L.; Doležal, K.; De Diego, N. Phytohormones and polyamines regulate plant stress responses by altering GABA pathway. New Biotechnol. 2019, 48, 53–65. [Google Scholar] [CrossRef] [PubMed]
- Scholz, S.; Malabarba, J.; Reichelt, M.; Heyer, M.; Ludewig, F.; Mithöfer, A. Evidence for GABA-Induced Systemic GABA Accumulation in Arabidopsis upon Wounding. Front. Plant Sci. 2017, 8, 388. [Google Scholar] [CrossRef] [PubMed]
- Palma, F.; Carvajal, F.; Jiménez-Muñoz, R.; Pulido, A.; Jamilena, M.; Garrido, D. Exogenous γ-aminobutyric acid treatment improves the cold tolerance of zucchini fruit during postharvest storage. Plant Physiol. Biochem. 2019, 136, 188–195. [Google Scholar] [CrossRef]
- Yong, B.; Xie, H.; Li, Z.; Li, Y.-P.; Zhang, Y.; Nie, G.; Zhang, X.-Q.; Ma, X.; Huang, L.-K.; Yan, Y.-H.; et al. Exogenous Application of GABA Improves PEG-Induced Drought Tolerance Positively Associated with GABA-Shunt, Polyamines, and Proline Metabolism in White Clover. Front. Physiol. 2017, 8, 1–15. [Google Scholar] [CrossRef]
- Rabiei, V.; Kakavand, F.; Zaare-Nahandi, F.; Razavi, F.; Aghdam, M.S. Nitric oxide and γ-aminobutyric acid treatments delay senescence of cornelian cherry fruits during postharvest cold storage by enhancing antioxidant system activity. Sci. Hortic. 2019, 243, 268–273. [Google Scholar] [CrossRef]
- Ge, Y.; Duan, B.; Li, C.; Tang, Q.; Li, X.; Wei, M.; Chen, Y.; Li, J. γ-Aminobutyric acid delays senescence of blueberry fruit by regulation of reactive oxygen species metabolism and phenylpropanoid pathway. Sci. Hortic. 2018, 240, 303–309. [Google Scholar] [CrossRef]
- Zhou, J.; Min, D.; Li, Z.; Fu, X.; Zhao, X.; Wang, J.; Zhang, X.; Li, F.; Li, X. Effects of chilling acclimation and methyl jasmonate on sugar metabolism in tomato fruits during cold storage. Sci. Hortic. 2021, 289, 110495. [Google Scholar] [CrossRef]
- Park, M. Sucrose delays senescence and preserves functional compounds in Asparagus officinalis L. Biochem. Biophys. Res. Commun. 2016, 480, 241–247. [Google Scholar] [CrossRef] [PubMed]
- Xu, F.; Tang, Y.; Dong, S.; Shao, X.; Wang, H.; Zheng, Y.; Yang, Z. Reducing yellowing and enhancing antioxidant capacity of broccoli in storage by sucrose treatment. Postharvest Biol. Technol. 2016, 112, 39–45. [Google Scholar] [CrossRef]
- Yusof, N.L.; Rasmusson, A.G.; Galindo, F.G. Reduction of the Nitrate Content in Baby Spinach Leaves by Vacuum Impregnation with Sucrose. Food Bioprocess Technol. 2016, 9, 1358–1366. [Google Scholar] [CrossRef]
- Panarese, V.; Dejmek, P.; Rocculi, P.; Galindo, F.G. Microscopic studies providing insight into the mechanisms of mass transfer in vacuum impregnation. Innov. Food Sci. Emerg. Technol. 2013, 18, 169–176. [Google Scholar] [CrossRef]
- Li, P.; Zheng, X.; Liu, Y.; Zhu, Y. Pre-storage application of oxalic acid alleviates chilling injury in mango fruit by modulating proline metabolism and energy status under chilling stress. Food Chem. 2014, 142, 72–78. [Google Scholar] [CrossRef] [PubMed]
- Sumanta, N.; Haque, C.I.; Nishika, J.; Suprakash, R. Spectrophotometric Analysis of Chlorophylls and Carotenoids from Commonly Grown Fern Species by Using Various Extracting Solvents. Res. J. Chem. Sci. 2014, 4, 63–69. [Google Scholar]
- Gogo, E.O.; Opiyo, A.; Hassenberg, K.; Ulrichs, C.; Huyskens-Keil, S. Postharvest UV-C treatment for extending shelf life and improving nutritional quality of African indigenous leafy vegetables. Postharvest Biol. Technol. 2017, 129, 107–117. [Google Scholar] [CrossRef]
- Ejaz, S.; Jezik, K.M.; Stumpf, W.; Gosch, C.; Halbwirth, H.; Stich, K. Amelioration of an open soilless cultivation system for microgardening spinach (Spinacia oleracea L.). Zemdirb. Agric. 2015, 102, 201–208. [Google Scholar] [CrossRef][Green Version]
- Shan, T.; Jin, P.; Zhang, Y.; Huang, Y.; Wang, X.; Zheng, Y. Exogenous glycine betaine treatment enhances chilling tolerance of peach fruit during cold storage. Postharvest Biol. Technol. 2016, 114, 104–110. [Google Scholar] [CrossRef]
- Ashraf, M.; Foolad, M. Roles of glycine betaine and proline in improving plant abiotic stress resistance. Environ. Exp. Bot. 2007, 59, 206–216. [Google Scholar] [CrossRef]
- Luo, Z.; Chen, C.; Xie, J. Effect of salicylic acid treatment on alleviating postharvest chilling injury of ‘Qingnai’ plum fruit. Postharvest Biol. Technol. 2011, 62, 115–120. [Google Scholar] [CrossRef]
- Shang, H.; Cao, S.; Yang, Z.; Cai, Y.; Zheng, Y. Effect of Exogenous γ-Aminobutyric Acid Treatment on Proline Accumulation and Chilling Injury in Peach Fruit after Long-Term Cold Storage. J. Agric. Food Chem. 2011, 59, 1264–1268. [Google Scholar] [CrossRef] [PubMed]
- Cao, S.; Yang, Z.; Zheng, Y. Sugar metabolism in relation to chilling tolerance of loquat fruit. Food Chem. 2013, 136, 139–143. [Google Scholar] [CrossRef] [PubMed]
- Luo, Z.; Wu, X.; Xie, Y.; Chen, C. Alleviation of chilling injury and browning of postharvest bamboo shoot by salicylic acid treatment. Food Chem. 2012, 131, 456–461. [Google Scholar] [CrossRef]
- Yamauchi, N. Postharvest Chlorophyll Degradation and Oxidative Stress. In Abiotic Stress Biology in Horticultural Plants; Springer: Berlin/Heidelberg, Germany, 2014; pp. 101–113. [Google Scholar]
- Rezaie-Chiyaneh, E.; Seyyedi, S.M.; Ebrahimian, E.; Moghaddam, S.S.; Damalas, C.A. Exogenous application of gamma-aminobutyric acid (GABA) alleviates the effect of water deficit stress in black cumin ( Nigella sativa L.). Ind. Crop. Prod. 2018, 112, 741–748. [Google Scholar] [CrossRef]
- Huang, C.; Wang, D.; Sun, L.; Wei, L. Effects of exogenous salicylic acid on the physiological characteristics of Dendrobium officinale under chilling stress. Plant Growth Regul. 2016, 79, 199–208. [Google Scholar] [CrossRef]
- Zhang, Y.; Zhang, M.; Yang, H. Postharvest chitosan-g-salicylic acid application alleviates chilling injury and preserves cucumber fruit quality during cold storage. Food Chem. 2015, 174, 558–563. [Google Scholar] [CrossRef]
- Nordström, F.L.; Rasmuson, Å.C. Solubility and Melting Properties of Salicylic Acid. J. Chem. Eng. Data 2006, 51, 1668–1671. [Google Scholar] [CrossRef]
- Cavalcanti, A.L.; De Oliveira, K.; Xavier, A.F.C.; Pinto, D.S.C.; Vieira, F.F. Evaluation of total soluble solids content (TSSC) and endogenous pH in antimicrobials of pediatric use. Indian J. Dent. Res. 2013, 24, 498–501. [Google Scholar] [CrossRef]
- Taghipour, L.; Rahemi, M.; Assar, P. Determining the Physicochemical Changes and Time of Chilling Injury Incidence during Cold Storage of Pomegranate Fruit. J. Agric. Sci. 2015, 60, 465–476. [Google Scholar]





| Days | Leaves | Freshness (%) | Colour (%) | Texture (%) | Odour (%) | Overall Appearance (%) |
|---|---|---|---|---|---|---|
| 0 | Non-impregnated | 62.7 Ba | 71.7 Aa | 53 Aa | 69.3 Aa | 62.7 Aa |
| SA-impregnated | 64.7 Aa | 70.7 ABa | 53 Ac | 64.7 Bb | 63 Ab | |
| GABA-impregnated | 63.3 Ad | 70 Bd | 51.7 Be | 64.7 Bb | 62.3 Ad | |
| Sucrose-impregnated | 61.7 Bb | 71 Ab | 51.7 Bd | 64.7 Ba | 63.3 Ac | |
| 1 | Non-impregnated | 57.7 Db | 68 Bb | 54.3 Ca | 68 Aab | 61.7 Ca |
| SA-impregnated | 58.7 Cc | 69.7 Aab | 57.3 Bb | 65.3 Bb | 65.3 Ba | |
| GABA-impregnated | 63.7 Ad | 70 Ad | 66 Ad | 65.3 Bb | 70 Ab | |
| Sucrose-impregnated | 62 Bb | 70 Ac | 66.3 Ab | 65 Ba | 69.7 Aa | |
| 3 | Non-impregnated | 53.3 Dc | 65.7 Dc | 51 Db | 66 Bbc | 61.7 Da |
| SA-impregnated | 60 Cb | 69.3 Cb | 69.3 Ba | 67.3 Aa | 64.7 Ca | |
| GABA-impregnated | 64.7 Bc | 73.7 Ab | 68 Cc | 68.3 Aa | 71 Aa | |
| Sucrose-impregnated | 69.3 Aa | 72.7 Ba | 70 Aa | 65 Ba | 70 Ba | |
| 5 | Non-impregnated | 53 Dc | 66 Cc | 47 Bc | 66.7 Bc | 58 Db |
| SA-impregnated | 59.7 Cb | 70.3 Bab | 68.7 Aa | 68.3 Aa | 64.3 Ca | |
| GABA-impregnated | 68 Aa | 75.3 Aa | 70 Aa | 68.3 Aa | 71.3 Aa | |
| Sucrose-impregnated | 62 Bb | 66.7 Cd | 69.7 Aa | 62.3 Bb | 65.7 Bb | |
| 7 | Non-impregnated | 42 Dd | 58.3 Cd | 44.3 Cd | 64.3 Bd | 51 Dc |
| SA-impregnated | 53.3 Cd | 63 Bc | 57.7 Bb | 65.7 Bb | 56.7 Cc | |
| GABA-impregnated | 67 Ab | 71 Ac | 68.7 Ab | 68.3 Aa | 68.7 Ac | |
| Sucrose-impregnated | 57.7 Bc | 62 Be | 58.3 Bc | 62.7 Cb | 61 Bd |
Publisher’s Note: MDPI stays neutral with regard to jurisdictional claims in published maps and institutional affiliations. |
© 2021 by the authors. Licensee MDPI, Basel, Switzerland. This article is an open access article distributed under the terms and conditions of the Creative Commons Attribution (CC BY) license (https://creativecommons.org/licenses/by/4.0/).
Share and Cite
Karim, N.U.; Yusof, N.L. Effect of Vacuum Impregnation with Sucrose and Plant Growth Hormones to Mitigate the Chilling Injury in Spinach Leaves. Appl. Sci. 2021, 11, 10410. https://doi.org/10.3390/app112110410
Karim NU, Yusof NL. Effect of Vacuum Impregnation with Sucrose and Plant Growth Hormones to Mitigate the Chilling Injury in Spinach Leaves. Applied Sciences. 2021; 11(21):10410. https://doi.org/10.3390/app112110410
Chicago/Turabian StyleKarim, Nazatul Umira, and Noor Liyana Yusof. 2021. "Effect of Vacuum Impregnation with Sucrose and Plant Growth Hormones to Mitigate the Chilling Injury in Spinach Leaves" Applied Sciences 11, no. 21: 10410. https://doi.org/10.3390/app112110410
APA StyleKarim, N. U., & Yusof, N. L. (2021). Effect of Vacuum Impregnation with Sucrose and Plant Growth Hormones to Mitigate the Chilling Injury in Spinach Leaves. Applied Sciences, 11(21), 10410. https://doi.org/10.3390/app112110410

