Abstract
Roentgen stereophotogrammetric analysis (RSA) is the gold standard to detect in vivo material wear of the bearing couples in hip arthroplasty. Some surgical planning tools offer the opportunity to detect wear by using standard a.p. radiographs (2Dwear), whilst RSA (3Dwear) needs a special radiological setup. The aims of this study are to prove the interchangeable applicability of a 2Dwear approach next to RSA and to assess the influence of different pelvic positions on measurement outcomes. An implant-bone model was used to mimic three different wear scenarios in seven pelvic-femur alignment positions. RSA and a.p. radiographs of the reference and a follow-up (simulated wear) pose were acquired. Accuracy and precision were worse for the 2Dwear approach (0.206 mm; 0.159 mm) in comparison to the 3Dwear approach (0.043 mm; 0.017 mm). Changing the pelvic position significantly influenced the 2Dwear results (4 of 7, p < 0.05), whilst 3Dwear results showed almost no change. The 3Dwear is superior to the 2Dwear approach, as it is less susceptible to changes in pelvic position. However, the results suggest that a 2Dwear approach may be an alternative method if the wear present is in the range of 100–500 µm and a.p. radiographs are available with the pelvis projected in a neutral position.
1. Introduction
The success of total hip arthroplasty (THA) depends on good interaction between three factors: (i) the surgeon/surgical technique; (ii) the implant and (iii) the patient [1]. THA replaces the bio-tribological system of the patient’s native hip joint. The soft human cartilage of the femoral head and the acetabulum is replaced by some kind of harder material, such as ultra-high molecular weight polyethylene (UHMWPE), cobalt chrome molybdenum alloy or ceramic, which now represents the new “artificial” bearing situation for the patient. The materials used in the THA are subjected to mechanical stress, especially in the area of the bearing couple [2,3]. Each material replacing something within the native human joints is, without exception, susceptible to material wear. Out of a technical perspective, it could be stated that if two materials articulate against each other under enormous stresses, tribological wear results [3]. The applied material, ball head size, or a combination of both within the “artificial” bearing influences the clinical outcome and long-term survival rate [4,5,6]. However, THA failure is a multifactorial problem. Registries identify aseptic loosening as one of the five main reasons for revision surgery of primary THA [6,7]. Aseptic loosening also has a multifactorial etiology, and its mechanism is not explained by a single theory [8]. One cause of implant loosening is the combination of tribological and biological processes [9]. A major factor leading to aseptic implant loosening is the destruction of the periprosthetic bone. Wear particles are incorporated by macrophages, stimulating osteoclasts and degrading periprosthetic bone. The relative movements of two materials against each other under high compressive forces always lead to tribological abrasion. The material properties of the sliding partners, as well as their quality, determine the degree of wear and the shape of the wear products (so-called particles), which, in each case, determine the concrete biological behaviour in type and extent [3].
Wear detection of artificial joints can be performed within an experimental in vitro or a clinical in vivo setting. Tribological testing of THA bearing couples is essential for the evaluation of wear properties and the resulting debris. This is an important part of the preclinical approval of new medical materials or devices. However, experimental testing is associated with limitations, while the “real world” for the biological behaviour within the human body is not one-to-one exchangeable onto a testing bench. To validate tribological material behaviour under “real world” conditions, an in vivo detection of wear is necessary and required. There is a high priority and relevance for clinical acetabular cup wear measurements to assess common or new types of polymers that implant manufacturers introduce [10].
To detect in vivo wear of THA, several radiographic techniques are available [11], including conventional standard a.p. radiographs of the hip joint, special radiographs using the Roentgen stereophotogrammetric analysis (RSA) method [12], computer tomography [13], and magnetic resonance imaging [14]. These mentioned imaging techniques can be divided into two-dimensional wear detection methods, including standard a.p. radiographs (2Dwear), and three-dimensional methods (3Dwear), including multi-plane radiographs (RSA) within a specialized radiological setup or a multilayer stack of radiographs (CT, MRI) of the artificial hip. However, modern 2Dwear methods are developed and used to detect standard UHMWPE cups with a wear rate between 0.1 mm and 0.2 mm/year [10]. Teeter et al. [15] reported 13 year results and found a wear rate of 0.08 ± 0.03 mm/year for a conventional polyethylene and of 0.04 ± 0.02 mm/year for a crosslinked polyethylene. Wear was measured using RSA as a 3Dwear method. Within a 7-year follow-up clinical trial, the in vivo total wear data for vitamin E-diffused highly crosslinked polyethylene was reported to be 0.03 mm (SD 0.25), which was lower in comparison to a moderately crosslinked polyethylene of 0.04 mm (SD 0.29) [12]. Consequently, this means that the radiological methods mentioned above must have a sufficiently high resolution to measure beyond these values. With regard to the aforementioned dimensions of PE wear to be determined, it becomes clear in which resolution range the applied measuring methods must be able to work. It should be mentioned that the biological reaction to wear particle size and their quantity with different PE configurations is not the subject of this paper.
2Dwear measurements based on conventional a.p. radiographs of the hip prosthesis are common in clinical routines since these radiographs are available at any hospital without the need for additional specialized equipment. However, these approaches yield only a 2D characterisation of the present wear and demonstrate less sensitivity to radiographic projection differences [16]. According to the sensitivity and the resulting radiographic projection differences, Collier et al. [17] reported that the accuracy of wear results varied with acetabular component angulations. It could be stated, thus, that the greater the change of acetabular component angulations within the images, the larger the magnitude of wear measured. A general problem and limitation within a 2Dwear approach is the detection of wear which occurs out of the image plane of the a.p. radiographs [18].
Ilchman et al. [19] compared clinical hip wear data in 13 patients with THA 3 years after surgery using 4 different radiological methods: (i) RSA, (ii) the Scheier–Sandel method, (iii) the Charnley–Duo method and (iv) “Ein-Bild-Roentgenanalyse (EBRA)”. Mean (SD) measurement error for EBRA was, in the worst case, 0.11 mm (±0.12 mm). After excluding radiographs with the presence of a pelvic tilt (rotation around the horizontal axis), the error decreased to 0.08 mm (±0.11 mm). In comparison to RSA, the mean difference of the Scheier–Sandel method was reported in a worst case to be 0.l7 mm (SD 0.21 mm) and a best case to be 0.14 mm (SD 0.25 mm). For the Charnley–Duo method, the mean difference was 0.27 mm (SD 0.27 mm). The EBRA method was found to be the most accurate compared to the gold standard RSA, and the Scheier–Sandel method was not recommended for wear analysis. However, Ilchman et al. [19] recommended the Charnley–Duo method, because this method demonstrated good correlation in relation to the RSA approach as the gold standard. Within a related paper, Ilchman [20] identified a pelvic tilt as the main error influencing measured wear results.
Langlois et al. [21] validated the computerized semiautomatic edge detection method for cemented PE components (Hip Analysis Suite, version 8.0.1.4.3; UCTech the University of Chicago) within an experimental setting. Accuracy and precision were reported to be 0.060 ± 0.021 mm (mean ± SD) and 0.207 ± 0.099 mm, respectively. In comparison to validation values of the RSA approach [22], the accuracy was comparable to, and precision was inferior to, RSA.
Derbyshire and Barkatali [10] reported achieving a similar accuracy to RSA by using a customized 2Dwear measurement tool. Bias, defined as the mean (SD) error of the simulated head penetration measurements, was about −0.002 mm (±0.028 mm), and precision was 0.055 mm for this 2D approach.
RSA is a 3Dwear approach which presents an accurate measurement tool for the in vivo assessment of polyethylene wear in THA [13] and is regarded as the gold standard [16,23]. An associated disadvantage of the RSA approach is its complexity in the acquisition of RSA image pairs. In addition, a second X-ray source, as well as a calibration box, is required during image acquisition. Furthermore, special analysis software must be purchased. However, besides the mentioned additional roentgen equipment, additional X-ray images are also required, as the standard a.p. radiographs cannot be used for wear detection using the RSA approach. These additional X-ray images mean an additional radiation exposure for the patient, which is challenging in the context of radiation hygiene for the patient.
Von Schewelov et al. [24] reported that it was difficult to determine small amounts of wear in vivo if the RSA method was not used. The accuracy of RSA, irrespective of the prosthetic component studied or the direction of wear, was reported to be about 0.4; mean error was reported to be 0.010 mm. These were compared to two 2D approaches, which demonstrated an accuracy of 1.3 for each and a mean error of 0.19 mm (Charnley–Duo method) and 0.13 mm (Imagika). However, the authors reported the effect of image quality as well and applied RSA technology. The results indicated that a digital RSA analysis decreased the mean measurement error from 0.011 to 0.004 mm. The authors therefore hypothesized that using a digital RSA measurement setup would probably culminate in better results [24].
Preoperative planning software enables, in addition to the preoperative planning of total joint arthroplasty, the measurement of THA wear using standard a.p. radiographs of the pelvic region. Wear measurement using these kinds of radiographs is conducted for two reasons. Firstly, wear along the x-axis and y-axis on the coronal plane is extensively considered to be the site of occurrence of the most wear [25]. Secondly, lateral radiographs are of low quality and do not meet the requirements for wear measurement [26].
The main question, therefore, is whether a simple measurement method, such as the mentioned 2Dwear method used in the manuscript, which is integrated within commercially available preoperative planning software can determine the in vivo wear of THA bearing couples in a manner that is equivalent to the gold standard. The current gold standard measurement method could be associated with some challenges; likewise, its complexity in the acquisition of RSA image pairs has been mentioned above. Therefore, if a clinic has an in vivo wear measuring tool available, e.g., already integrated in a software solution for preoperative planning, the assessment of its accuracy is essential before its clinical application. To the authors’ knowledge, to date, there have not been many studies comparing 2Dwear with 3Dwear methods to detect acetabular cup insert wear. There is no data available within literature which validates the investigated 2Dwear approach. Testing the interchangeability of a 2Dwear method next to the gold standard RSA is rarely described in the literature; the potential influence of the pelvic orientation onto wear measurement outcomes is also rarely described in the literature. Therefore, pelvic positioning could be added as an influencing factor within this investigation.
The aims of this experimental study are:
- (1)
- to evaluate the interchangeability of 2Dwear next to the gold standard 3Dwear method by comparing the accuracy and reproducibility of both methods;
- (2)
- to determine further the extent to which the two different methods are influenced by changing pelvic orientation.
The authors hypothesize that the 3Dwear detection method would show higher precision and accuracy than the 2Dwear detection method and be insensitive to pelvic misalignment.
2. Materials and Methods
The measurement protocol required a measurement setup that was capable of imaging an implant-bone model with two radiographic wear detection methods in parallel. The same implant-bone model setting was presented within the resulting radiographs. Out of these RSA and a.p. radiographs, the linear wear was detected by both methods.
2.1. Measurement Setup
A classical radiological setup using ceiling-fixed roentgen tubes (Multix RD 82477-01 Vertix ACS, Siemens, Berlin, Germany) to acquire standard a.p. pelvic radiographs was used (Figure 1a). While changing the classical radiological setup to a uniplanar RSA setup, the implant-bone model positions on the roentgen table were unchanged (Figure 1b). The uniplanar RSA setup consisted of a ceiling-fixed (Multix RD 82477-01 Vertix ACS, Siemens, Berlin, Germany) and a mobile roentgen tube (Mobilett Plus, Siemens, Berlin, Germany), which were arranged relative to a calibration box (Umea Cage 43, RSA BioMedical Developments AB, Umea, Sweden). The implant-bone model was located within the intersection of the two X-ray beams. The two X-ray tubes were triggered manually for simultaneous generation of RSA radiographs (Figure 1c).
Figure 1.
Radiological setup. (a) Classical set up to generate an a.p. radiograph of the pelvis. The implant-bone model is located in the middle of the central X-ray beam. (b) When X-ray tubea.p. shifts to the X-ray tubeRSA-right position, the classical radiological setup is converted to (c) a uniplanar RSA setup. Both roentgen tubes are arranged at an angle of 20 deg to the vertical above the calibration box. The implant-bone model is located at the intersection of both X-ray beams.
2.2. Implant-Bone Model
The implant-bone model should make it possible to simulate a sequential linear penetration of the femoral ball head into the acetabular cup insert. This penetration is used to simulate polyethylene (PE) wear.
A synthetic femoral and pelvic model (Sawbone Foam Cortical Shell, Pacific Research Laboratories Inc., Vashon, WA, USA) presented the basic elements of the implant-bone-model (Figure 2). Within the synthetic femoral bone model, an uncemented stem component (VECTOR-TITAN, Peter Brehm, Weisendorf, Germany) was inserted according to all rules of a surgical THA procedure. Onto the taper of the femoral stem component, a 32 mm cobalt-chromium ball head was connected. The ball head was positioned as the reference position in the center of an uncemented, 58 mm titanium acetabular cup without PE insert (PHÖNIX-TITAN, Peter Brehm, Weisendorf, Germany), which was implanted into the acetabulum of the synthetic pelvic bone. The femoral bone model was rigidly fixed to 3D micrometer screw equipment (Mitutoyo, Kanagawa, Japan), which enabled a movement of the femoral stem-head junction around three degrees of freedom along medio-lateral, cranio-caudal, and anterior-posterior axes relative to the global coordinate system cup. This free mobility was possible because only the metallic cup component was used without a PE insert inside.
Figure 2.
A schematic drawing of the implant-bone model with a femoral and pelvic element in (a) the reference position and (b) the follow-up position. The femoral part of the implant-bone model was moved according to the measurement protocol by the three screws (see Section 2.3). The alignment of the implant-bone model, as well as the wear simulation and pelvic positions, were performed according to the global coordinate system: medio-lateral axis (x-axis), cranio-caudal axis (y-axis), and anterior-posterior (z-axis).
Additionally, the pelvic element of the implant-bone-model could be relatively aligned to the femoral stem-ball head junction. In summary, the pelvis could be positioned in seven different positions.
2.3. Measurement Protocol
In accordance with the study protocol of Stilling et al. [27], 3 different wear settings were predefined, all of which could be mimicked by the implant-bone-model: low wear (0.01 to 0.05 mm), medium wear (0.1 to 0.5 mm), and high wear (1 to 5 mm). For each individual wear setting, a 3D wear vector could be simulated, which was defined as a set point value, representing the calculated true vector length by use of Pythagoras’ theorem.
According to the wear setting (low, medium, high), the micrometer screws increased sequentially along medio-lateral, cranio-caudal, and anterior-posterior axes of 0.01 mm, 0.1 mm, and 1 mm, respectively.
In addition to a neutral pelvic position (Figure 3a), the pelvic model element could be aligned in six other positions: pelvic tilt (Figure 3b), pelvic obliquity (Figure 3c), and pelvic rotation (Figure 3d). A reference and follow-up radiographs—the RSA image pair and classical a.p.—were taken before (as reference) and after (follow up) the performed measurement protocol. All the iterative simulations for the wear and pelvic position protocol were repeated five times.
Figure 3.
Pelvic model element and its alignment options. (a) Local coordinate system based on an anatomical axis of the pelvic model element. (b) Anterior/posterior inclination up to ±5 deg of so-called pelvic tilt, presenting a motion within the sagittal plane, representing rotation around the medio-lateral axis. (c) Lateral inclination up to ±5 deg of so-called pelvic obliquity, presenting a motion within the frontal plane and rotation around the anterior-posterior axis. (d) Pelvic rotation up to ±5 deg, presenting a motion within the transverse plane and rotation around the cranio-caudal axis.
2.4. Data Analysis
The resulting radiographs of the implant-bone model setting from the three wear simulation protocols and seven pelvic orientations were analysed by 2Dwear and 3Dwear approaches.
For the 2Dwear method, wear analysis was performed using plain radiographs and the wear analysis tool of a standard digital surgical planning software (mediCAD Classic, version 5.1, mediCAD Hectec GmbH, Landshut, Germany). Wear detection could be performed with two or more follow-up radiographic images. According to the instructions for use provided by the manufacturer, the wear procedure was only applicable for acetabular cups with a spherical outer contour and a bearing couple PE inlay with a ceramic or metal ball head. Radiographs required the presence of a calibration sphere within the radiographs (original mediCAD calibration sphere, diameter: 25 mm; tolerance: ±0.1 mm). To enable THA wear detection within two scaled X-ray images, a correctly drawn reference line, detected ball head centres, and acetabular cup centres were required. The reference line was located and defined by the Köhler’s “tear drop” or by the tangent of the os ischii. The centre of the femoral ball head was defined by the centre point of a circle over three detected points on the circumference of the femoral ball head. This procedure was done manually by the clinician or technician performing the analysis. The same procedure was carried out for the acetabular cup component: with three points on the cup rim, the resulting centre point of the circle was created by the software.
For the 3Dwear method, wear analysis was performed using RSA image pairs and a model-based RSA approach using elementary geometrical shape (EGS) models to calculate wear (MBRSA v.4.1, RSAcore, LMUC, Leiden, The Netherlands). EGS model spheres and hemispheres were used to represent the femoral ball head and the acetabular cup component. Scaling of these EGS models was performed according to the known diameter of both components. Counter-detection for the ball head and cup was performed at the region of interest within the left and right RSA image pair. Pose estimation algorithms matched the detected contour within the RSA image pair (actual contour) to the virtual contour of the EGS models, until the three-dimensional pose and orientation of the models within the RSA image pair were matched. Relative wear, presenting the displacement of the centre of the ball head model with respect to the cup model, was calculated in consecutive examinations relative to the reference (baseline) examination.
The wear results obtained from 2Dwear and 3Dwear approaches were compared to set-point wear values.
2.5. Statistics
The statistical analysis was performed using the statistical software package SPSS for Windows (Version 23, SPSS Inc., Chicago, IL, USA). In order to compare the two methods, precision and accuracy were evaluated. Precision was indicated as the standard deviation (SD) of the repeated measurements. Accuracy was defined as the bias, which was described as the average difference between the measured and true values. Box plots to visualize data distribution or outliers were plotted, as well as Bland–Altman plots [28] to assess the interchangeable applicability of the 2Dwear next to the golden standard 3Dwear method. Within these scatter plots, the calculated differences for detected wear by both methods were plotted against their average value. The limit of agreement (LoA) was set to mean ± 1.96 standard deviations of the measured differences, representing approximately 95% of all measured values. The influence of pelvic position was statistically proven using a paired t-test or Wilcoxon matched-pair signed-rank test, which was applied between each paired wear position depending on whether the difference between the two positions conformed to a normal distribution. The level of significance was adjusted to p < 0.05.
3. Results
Precision and accuracy values of the 3Dwear approach were all within the range of a hundredth of a millimeter. Values were below 0.054 mm (precision) and 0.025 mm (accuracy), respectively, for the three wear protocols. In comparison to 2Dwear methodology, these values were all within the range of a tenth of a millimeter, below 0.304 mm and 0.263 mm, respectively.
Overall precision was 0.206 mm for the 2Dwear and 0.043 mm for the 3Dwear approach (Table 1). For overall accuracy, an identical trend was observable. With an accuracy value of 0.159 mm, the 2Dwear approach was worse in comparison with the 3Dwear methodology, with an accuracy value of 0.017 mm (Table 2). Only within the medium wear group, the accuracy of the 2Dwear approach was 0.069 mm below 0.1 mm, and for detectable wear in this range, close to the 3Dwear value of 0.011 mm.
Table 1.
Precision (SD) of overall and individual wear groups in 2Dwear and 3Dwear.
Table 2.
Accuracy (bias) of overall and individual wear groups in 2Dwear and 3Dwear.
The wear results of the 3Dwear approach did not change significantly with a change in pelvic position (Figure 4). Significant changes in wear results could be identified only for the pelvic lateral tilted left 5 deg position relative to the pelvic neutral position (p < 0.05). The 2Dwear p values illustrated a contrary picture to the findings for 3Dwear. With the exception of the pelvic lateral tilted left 5 deg position and the pelvic rotated left 5 deg position, the remaining four pelvic positions showed significantly different wear results (p < 0.05) relative to the pelvic neutral position.
Figure 4.
Box plot between 2Dwear and 3Dwear (the x-axis reveals different wear positions, and the y-axis reveals the difference between the measurement value and true value. The blue and brown boxes illustrate 2Dwear and 3Dwear, respectively. Stars (*): p < 0.05).
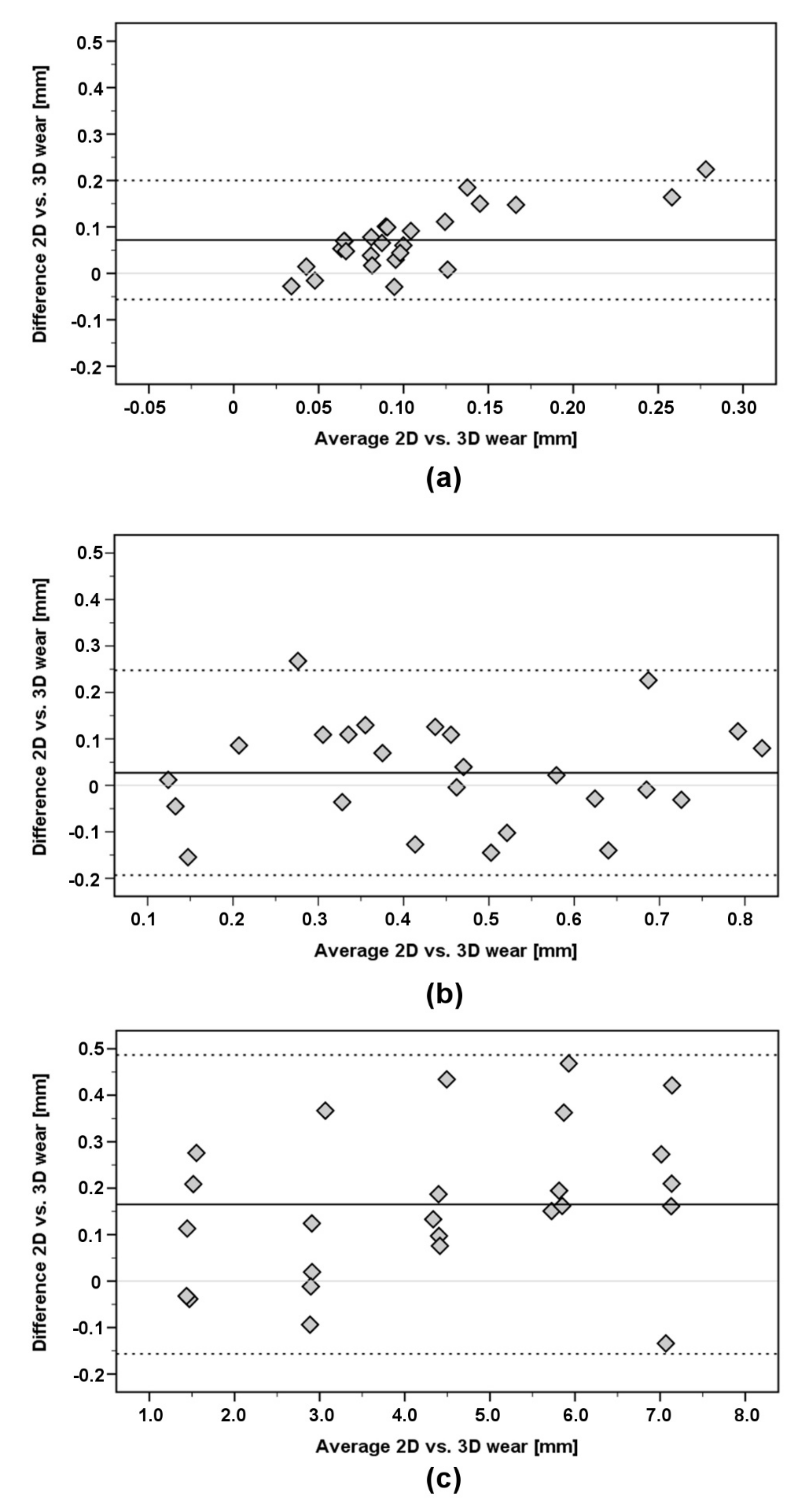
The assessment for interchangeable applicability of the 2Dwear next to the 3Dwear wear approach within the neutral pelvic position scenario indicated the largest range of the LoA for high wear group. LoA ranged from a minimum of −0.16 up to 0.49 mm (mean difference: 0.16 mm), as well as from a minimum of −0.06 up to 0.20 mm (mean difference: 0.07 mm) for the low wear group, respectively (Figure 5). For different pelvic orientations, the largest LoA was observed in the high wear group, with values ranging from −1.06 to 1.36 mm (mean difference: 0.15 mm) within the pelvic lateral tilted right 5 deg position (Table 3). The lowest LoA existed in the medium wear group and was from −0.24 to 0.25 mm (mean difference: 0.00 mm) within the pelvic rotated left 5 deg position. In general, LoAs were increased for changed pelvic positions relative to the neutral position within all the wear groups.
Figure 5.
Bland–Altman [28] scatter plots in the pelvic neutral position between 2Dwear and 3Dwear for (a) the low wear group (b) the medium wear group and (c) the high wear group. Each data point of the plots presents the computed differences between the 2Dwear and 3Dwear approach (ordinate), which is plotted versus the mean difference (abscissa) of both methods, respectively. LoA is visualized by the horizontal lines, representing the mean value of calculated differences, and the two dashed lines (mean ± 1.96 SD) represent bounding criteria.
Table 3.
Mean value with upper and lower LoA for six changed pelvic positions.
4. Discussion
In vivo wear of THA could be detected by 2D and 3D measurement techniques. Within this experimental study, a 2Dwear approach was compared to the gold standard 3Dwear methodology, the RSA method. The results indicated superior accuracy (0.017 mm) and precision (0.043 mm) of the 3Dwear method in comparison to the 2Dwear approach (Table 1 and Table 2). No significant effect of mal-aligned pelvic positions on the 3Dwear measurement outcome existed. These results of the 2D and 3D measurement techniques could be confirmed already by Ilchman et al. [20] and the results of Stilling et al. [27].
Ilchman et al. [20] detected in vivo wear by four different methods: (i) RSA, (ii) the Scheier–Sandel method, (iii) the Charnley–Duo method, and (iv) EBRA. The 2D EBRA approach was observed to be the most accurate 2Dwear approach in comparison to the gold standard (RSA). After excluding radiographs with the presence of a pelvic tilt (rotation around the horizontal axis), the measurement error was 0.08 ± 0.11 mm (mean ± SD), which was superior to the investigated 2Dwear approach of this study, but inferior to the RSA result.
Stilling et al. [27] reported precision for RSA and a 2D method (Poly Wear 3D Pro 5.10, Draftware Developers Inc., Vevay, Indiana) as 2D wear measurements of 0.078 mm and 0.076 mm and for 3D wear measures of 0.189 mm and 0.244 mm, respectively. In comparison to the outcome of this study, the 3Dwear (as the RSA method using EGS models) was within 0.043 mm of the prior results of Stilling et al. [27], but the 2D approach (Poly-Wear) performed better than the applied 2Dwear method (mediCAD) in this study, with 0.206 mm (Table 1). However, for reported accuracy, the results of Stilling et al. [27] for 2D measures of 0.055 mm (RSA) and 0.335 mm (Poly-Wear) and 3D measures of 0.2 mm and 0.3 mm respectively, were worse in comparison to the investigated 3Dwear and 2Dwear approach of this study, with 0.017 mm and 0.159 mm, respectively (Table 2).
In contrast, clinical validation of 12 patients undergoing total hip replacement surgery by the same wear measurement tools showed similar repeatability of PolyWare and RSA with a LoA of ± 0.22 mm and ± 0.23 mm, respectively, and good concurrent validity between them with limits of agreement of ± 0.55 mm [29]. LoA of this experimental study range in a worst case (high wear protocol) from −0.16 up to 0.49 mm (mean difference: 0.16 mm) to a best case (low wear protocol) from −0.06 up to 0.20 mm (mean difference: 0.07 SD) (Figure 5). There seemed to be a discrepancy in accuracy between clinical and experimental images.
Based on the results of this investigation and the available literature, the 2Dwear detection technique could be used to some degree as a substitute for the 3D technique to investigate in vivo wear. Langlois et al. [21] reported for Martell’s Hip Analysis Suite software (version 8.0.1.4.3; UCTech the University of Chicago) accuracy and precision as mean ± SD to be 0.060 ± 0.021 mm and 0.207 ± 0.099 mm, respectively. A mean bias of 0.089 mm and reproducibility of 0.106 mm existed for this 2D approach. The bias of this investigation is a quarter less of the value for the 3Dwear approach. 2Dwear bias is, for the medium wear protocol, approximate to the results of Langlois et al. [21] for high and low wear protocols of inferior accuracy.
Derbyshire & Barkatali [10] reported for their customized software (programmed in C++ language) a mean error of −0.002 mm. The precision was 0.055 mm and the performed comparison tests with the RSA method showed similar accuracy. Hui et al. [30] investigated the outcome of two in vivo methods (PolyWare and Martell Hip Analysis Suite) with the direct wear measurement of the articulating surface of the retrieved polyethylene liners. Wear was detected by a coordinate measuring machine. Results suggested that both 2D methods accounted for the majority of 3D ex vivo results. Martell et al. [18] analysed radiographs of 140 patients using both 3D and 2D techniques and showed that 3D analysis detected 10% more wear, but its repeatability was four times worse than 2D. The decrease in repeatability was explained by the authors by poor quality of the lateral radiographs.
Taking into account that 2Dwear methods were used originally to measure wear rates less than 0.2 mm/year for UHMWPE cup inserts [10] and that a decreased rate with vitamin E-diffused or crosslinked polyethylene to 0.04 mm or less [12,15] is possible, the gold standard RSA is certainly to be given preference in the clinical measurement of wear in vivo.
In clinical practice, anteroposterior pelvic radiographs are standard to monitor the performance of THA. This radiological image material has the advantage that it can be widely applied at any follow-up point in place of RSA. However, the pelvis is often not in a neutral position at the time of X-ray generation due to patient or radiology technician factors. Patient factors are usually due to lumbar spine disease or hip pain. The technician factor is usually a lack of compliance with standard specifications or quality control for radiographs. This affects the projection of the implant component within the X-ray, resulting in errors in wear measurements for the applied 2Dwear technique. It must be taken into account that wear measurements of the investigated 2Dwear or 3Dwear approach could be influenced by subjective error by the clinician or technician performing the analysis. A possible error source could be point detection defining the centre point of the ball head via a circle over three detected points within the 2Dwear approach. Similarly, within the 3Dwear method, a user interaction is also necessary and may result in a subjective error. However, many of the points needed to be defined and produced by the application of edge detection algorithms, for which thresholds are determined by the user. In the context of point detection in the 2Dwear approach, the detection of the points is manual in nature. Accordingly, a user interaction is also present here, which can cause higher subjective errors. The difference compared to the gold standard RSA method is that within the 2Dwear, no points are specified by image processing algorithms. However, intra- and interrater reliability was not investigated within this study.
Please take into account that the investigated approaches are only applicable for hard-soft bearings. According to standard analysis protocols for both technologies, the contours of the ball head, which are within the X-ray located inside the acetabular insert, must be detectable. For hard-hard bearings, this yields poor image quality, which makes it difficult to detect the exact outline of the ball head. However, this visibility problem represents a problem for the RSA method as well [27,31]. In summary, these facts limit the application of the investigated 2Dwear method to a fraction of the existing THA systems and bearing couples in the “real world”.
5. Conclusions
Based on the results of this investigation, it can be concluded that a 3Dwear method presents the best methodological approach to detect linear wear of THA in vivo. The accuracy and precision of the 3Dwear method are superior to the 2Dwear approach. When using a 3Dwear approach, pelvic positioning will not affect the measurement outcome. Associated disadvantages of such specialized 3Dwear methods, such as RSA, are as follows:
- The acquisition of additional RSA radiographs compared to standard a.p. X-rays is required, resulting in additional radiation exposure for patients;
- Additional necessary equipment is required for RSA, such as a calibration box or a second X-ray tube;
- No wear for hard-hard bearings is detectable.
However, the investigated 2Dwear method can be an alternative approach if several conditions are met. Especially in the medium wear group (simulated wear between 0.1 mm to 0.5 mm), this approach presents an alternative to 3Dwear. Due to the influence of pelvic position factors, 2Dwear is more susceptible to poorly aligned positions of the pelvis. Therefore, the pelvis should be kept in a standard neutral position during image capturing so that 2Dwear can obtain accurate results. A significant advantage is that this approach enables wear detection using standard a.p. radiographs of the treated hip joint, meaning no additional radiation exposure for patients.
Author Contributions
Conceptualization, J.W., R.F. and F.S.; formal analysis, J.W.; investigation, J.W.; resources, R.F.; data curation, J.W.; writing—original draft preparation, J.W., D.T., R.F. and F.S.; writing—review and editing, J.W., D.T., R.F. and F.S.; visualization, J.W. and F.S.; supervision, R.F. and F.S.; project administration, F.S. All authors have read and agreed to the published version of the manuscript.
Funding
A fellowship (J.W.) was supported by China Scholarship Council.
Institutional Review Board Statement
Not applicable.
Informed Consent Statement
Not applicable.
Data Availability Statement
Not applicable.
Acknowledgments
This work was supported by a fellowship (J.W.) from the China Scholarship Council.
Conflicts of Interest
The authors declare no conflict of interest.
References
- Karachalios, T.; Komnos, G.; Koutalos, A. Total hip arthroplasty: Survival and modes of failure. EFORT Open Rev. 2018, 3, 232–239. [Google Scholar] [CrossRef]
- Bleß, H.H.; Kip, M. White Paper On Joint Replacement—Status of Hip and Knee Arthroplasty Care in Germany; Springer Nature: Heidelberg, Germany, 2018. [Google Scholar] [CrossRef]
- Kretzer, J.P.; Uhler, M.; Jager, S.; Bormann, T.; Sonntag, R.; Schonhoff, M.; Schroder, S. Tribology in hip arthroplasty: Benefits of different materials. Orthopade 2021, 50, 259–269. [Google Scholar] [CrossRef]
- Zagra, L.; Gallazzi, E. Bearing surfaces in primary total hip arthroplasty. EFORT Open Rev. 2018, 3, 217–224. [Google Scholar] [CrossRef] [PubMed]
- Tsikandylakis, G.; Mohaddes, M.; Cnudde, P.; Eskelinen, A.; Karrholm, J.; Rolfson, O. Head size in primary total hip arthroplasty. EFORT Open Rev. 2018, 3, 225–231. [Google Scholar] [CrossRef]
- (AOAJR), A.N.J.R. 2019 Annual Report—Hip, Knee & Shoulder Arthroplasty. 2019. [Google Scholar]
- Kärrholm, J.; Rogmark, C.; Nauclèr, E.; Vinblad, J.; Mohaddes, M.; Rolfson, O. Swedish Hip Arthroplasty Register—Annual Report 2018. 2019. [Google Scholar]
- Sundfeldt, M.; Carlsson, L.V.; Johansson, C.B.; Thomsen, P.; Gretzer, C. Aseptic loosening, not only a question of wear: A review of different theories. Acta Orthop. 2006, 77, 177–197. [Google Scholar] [CrossRef]
- Evans, J.T.; Evans, J.P.; Walker, R.W.; Blom, A.W.; Whitehouse, M.R.; Sayers, A. How long does a hip replacement last? A systematic review and meta-analysis of case series and national registry reports with more than 15 years of follow-up. Lancet 2019, 393, 647–654. [Google Scholar] [CrossRef] [Green Version]
- Derbyshire, B.; Barkatali, B. Validation of a new 2-D technique for radiographic wear measurement of cemented, highly cross-linked polyethylene acetabular cups. Med. Eng. Phys. 2017, 47, 159–166. [Google Scholar] [CrossRef] [PubMed]
- Rahman, L.; Cobb, J.; Muirhead-Allwood, S. Radiographic methods of wear analysis in total hip arthroplasty. J. Am. Acad. Orthop. Surg. 2012, 20, 735–743. [Google Scholar] [CrossRef] [PubMed]
- Galea, V.P.; Rojanasopondist, P.; Laursen, M.; Muratoglu, O.K.; Malchau, H.; Bragdon, C. Evaluation of vitamin E-diffused highly crosslinked polyethylene wear and porous titanium-coated shell stability: A seven-year randomized control trial using radiostereometric analysis. Bone Jt. J. 2019, 101-B, 760–767. [Google Scholar] [CrossRef] [Green Version]
- Goldvasser, D.; Hansen, V.J.; Noz, M.E.; Maguire, G.Q., Jr.; Zeleznik, M.P.; Olivecrona, H.; Bragdon, C.R.; Weidenhielm, L.; Malchau, H. In vivo and ex vivo measurement of polyethylene wear in total hip arthroplasty: Comparison of measurements using a CT algorithm, a coordinate-measuring machine, and a micrometer. Acta Orthop. 2014, 85, 271–275. [Google Scholar] [CrossRef] [Green Version]
- Koff, M.F.; Esposito, C.; Shah, P.; Miranda, M.; Baral, E.; Fields, K.; Bauer, T.; Padgett, D.E.; Wright, T.; Potter, H.G. MRI of THA Correlates With Implant Wear and Tissue Reactions: A Cross-sectional Study. Clin. Orthop. Relat. Res. 2019, 477, 159–174. [Google Scholar] [CrossRef]
- Teeter, M.G.; Yuan, X.; Somerville, L.E.; MacDonald, S.J.; McCalden, R.W.; Naudie, D.D. Thirteen-year wear rate comparison of highly crosslinked and conventional polyethylene in total hip arthroplasty: Long-term follow-up of a prospective randomized controlled trial. Can. J. Surg. 2017, 60, 212–216. [Google Scholar] [CrossRef] [Green Version]
- Stilling, M.; Soballe, K.; Andersen, N.T.; Larsen, K.; Rahbek, O. Analysis of polyethylene wear in plain radiographs. Acta Orthop. 2009, 80, 675–682. [Google Scholar] [CrossRef] [PubMed]
- Collier, M.B.; Kraay, M.J.; Rimnac, C.M.; Goldberg, V.M. Evaluation of Contemporary Software Methods Used to Quantify Polyethylene Wear After Total Hip Arthroplasty. J. Bone Jt. Surg. Am. 2003, 85, 2410–2418. [Google Scholar] [CrossRef] [PubMed]
- Martell, J.M.; Berkson, E.; Berger, R.A.; Jacobs, J. Comparison of two and three-dimensional computerized polyethylene wear analysis after total hip arthroplasty. J. Bone Jt. Surg. Am. 2003, 85, 1111–1117. [Google Scholar] [CrossRef]
- Ilchmann, T.; Mjöberg, B.; Wingstrand, H. Measurement accuracy in acetabular cup wear. J. Arthroplast. 1995, 10, 636–642. [Google Scholar] [CrossRef]
- Ilchmann, T. Radiographic assessment of cup migration and wear after hip replacement. Acta Orthop. Scand. 1997, 68, i-26. [Google Scholar] [CrossRef] [PubMed]
- Langlois, J.; Zaoui, A.; Scemama, C.; Martell, J.; Bragdon, C.; Hamadouche, M. Validation of a computer-assisted method for measurement of radiographic wear in total hip arthroplasty using all polyethylene cemented acetabular components. J. Orthop. Res. 2015, 33, 417–420. [Google Scholar] [CrossRef] [PubMed] [Green Version]
- Bragdon, C.R.; Malchau, H.; Yuan, X.; Perinchief, R.; Kärrholm, J.; Börlin, N.; Estok, D.M.; Harris, W.H. Experimental assessment of precision and accuracy of radiostereometric analysis for the determination of polyethylene wear in a total hip replacement model. J. Orthop. Res. 2002, 20, 688–695. [Google Scholar] [CrossRef]
- Uddin, M.S.; Mak, C.Y.E.; Callary, S.A. Evaluating hip implant wear measurements by CMM technique. Wear 2016, 364–365, 193–200. [Google Scholar] [CrossRef]
- Von Schewelov, T.; Sanzen, L.; Borlin, N.; Markusson, P.; Onsten, I. Accuracy of radiographic and radiostereometric wear measurement of different hip prostheses: An experimental study. Acta Orthop. Scand. 2004, 75, 691–700. [Google Scholar] [CrossRef] [Green Version]
- McCalden, R.W.; Naudie, D.D.; Yuan, X.; Bourne, R.B. Radiographic methods for the assessment of polyethylene wear after total hip arthroplasty. J. Bone Jt. Surg. Am. 2005, 87, 2323–2334. [Google Scholar] [CrossRef]
- Sychterz, C.J.; Young, A.M.; Engh, C.A. Effect of Radiographic Quality on Computer-Assisted Head Penetration Measurements. Clin. Orthop. Rel. Res. 2001, 386, 150–158. [Google Scholar] [CrossRef]
- Stilling, M.; Kold, S.; de Raedt, S.; Andersen, N.T.; Rahbek, O.; Soballe, K. Superior accuracy of model-based radiostereometric analysis for measurement of polyethylene wear: A phantom study. Bone Jt. Res. 2012, 1, 180–191. [Google Scholar] [CrossRef] [PubMed]
- Bland, J.M.; Altman, D.G. Statistical methods for assessing agreement between two methods of clinical measurement. Lancet 1986, 327, 307–310. [Google Scholar] [CrossRef]
- Stilling, M.; Larsen, K.; Andersen, N.T.; Soballe, K.; Kold, S.; Rahbek, O. The final follow-up plain radiograph is sufficient for clinical evaluation of polyethylene wear in total hip arthroplasty. A study of validity and reliability. Acta Orthop. 2010, 81, 570–578. [Google Scholar] [CrossRef] [PubMed] [Green Version]
- Hui, A.J.; McCalden, R.W.; Martell, J.M.; MacDonald, S.J.; Bourne, R.B.; Rorbaeck, C.H. Validation of Two and Three-Dimensional Radiographic Techniques for Measuring Polyethylene Wear After Total Hip Arthroplasty. J. Bone Jt. Surg. Am. 2003, 95, 505–511. [Google Scholar] [CrossRef] [PubMed]
- Borlin, N.; Rohrl, S.M.; Bragdon, C.R. RSA wear measurements with or without markers in total hip arthroplasty. J. Biomech. 2006, 39, 1641–1650. [Google Scholar] [CrossRef]
Publisher’s Note: MDPI stays neutral with regard to jurisdictional claims in published maps and institutional affiliations. |
© 2021 by the authors. Licensee MDPI, Basel, Switzerland. This article is an open access article distributed under the terms and conditions of the Creative Commons Attribution (CC BY) license (https://creativecommons.org/licenses/by/4.0/).




