Application of ANN in Predicting the Cantilever Wall Deflection in Undrained Clay
Abstract
:1. Introduction
2. Materials and Methods
2.1. Generation of Database
2.2. Introduction of ANN
2.3. Architecture of the Developed ANN Model for Cantilever Wall Deflection
3. Results and Discussions
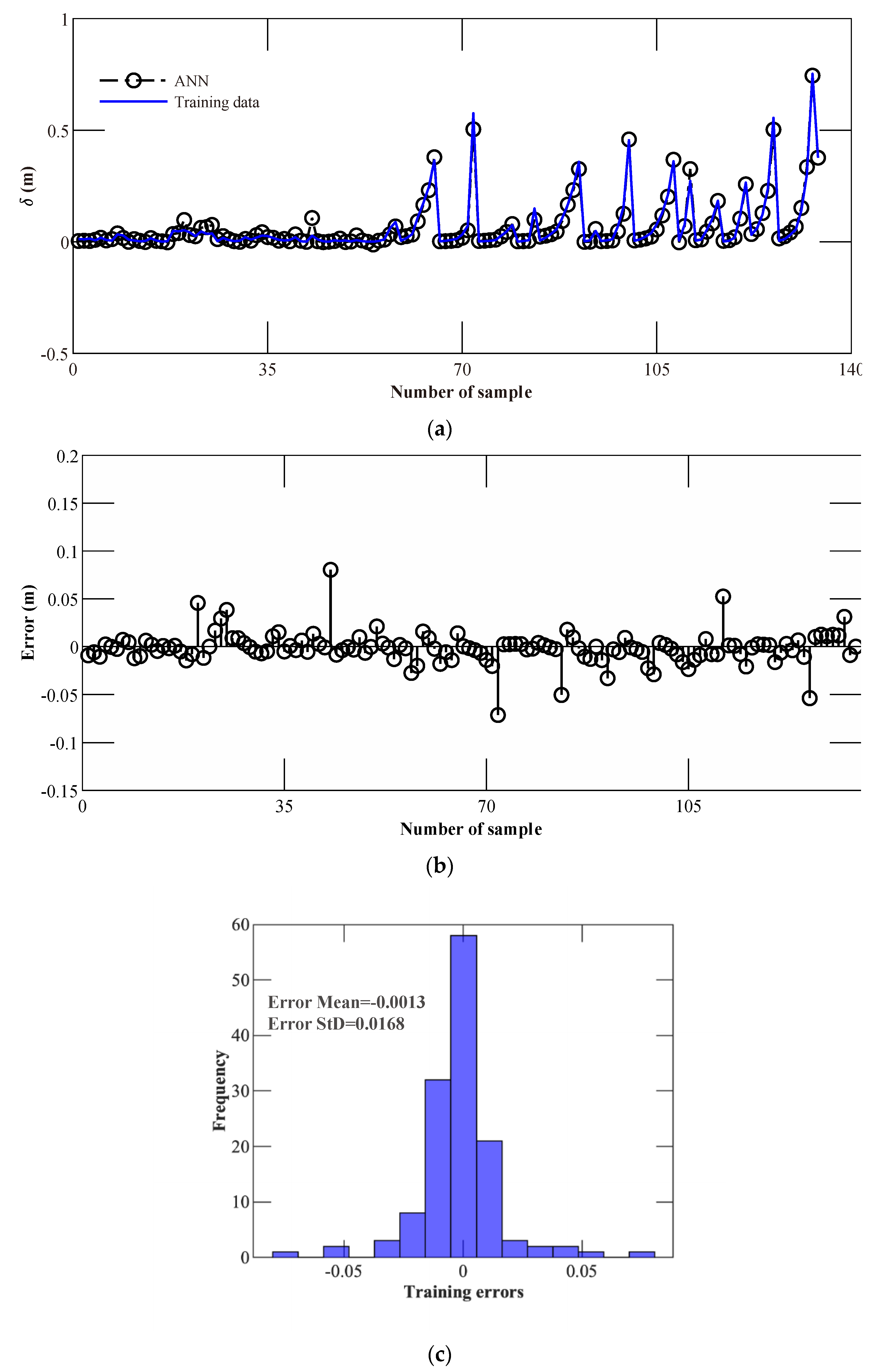
3.1. Performance of the Proposed ANN Model
3.2. Parametric Study
3.3. Sensitivity Analysis
4. Practical Tool for Predicting the Cantilever Wall Deflection
4.1. ANN-Based Formulation
4.2. GUI Tool
5. Conclusions
- The proposed ANN model can predict the cantilever wall deflection in undrained clay with acceptable performance.
- The most influential parameter in determining the cantilever wall deflection in undrained clay is the excavation depth, followed by the soil stiffness ratio at mid-depth of the wall, while the at-rest lateral earth pressure coefficient presents least influence among the considered parameters.
- An ANN model-based formula, which included all input parameters, was developed to calculate the cantilever wall deflection.
- A new GUI was developed to easily predict the cantilever wall deflection in undrained clay. The developed GUI tool is much simpler and more cost-efficient and can be recommended for use in practical engineering in advance.
Author Contributions
Funding
Institutional Review Board Statement
Informed Consent Statement
Data Availability Statement
Acknowledgments
Conflicts of Interest
Abbreviations
| ANN | artificial neural network |
| ML | machine learning |
| GUI | graphical user interface |
| FEM | finite element method |
| δ | cantilever wall deflection |
| B | excavation width |
| Hc | excavation depth |
| t | wall thickness |
| K0 | at-rest lateral earth pressure coefficient |
| su/σv′ | soil shear strength ratio at mid-depth of the wall |
| Eur/su | soil stiffness ratio at mid-depth of the wall |
| MSE | mean square error |
| StD | standard deviation |
| RMSE | root mean square error |
| MAE | mean absolute error |
| δN | normalized cantilever wall deflection |
References
- Argyroudis, S.; Amir, M.K. Analytical seismic fragility functions for highway and railway embankments and cuts. Earthq. Eng. Struct. Dyna. 2015, 44, 1863–1879. [Google Scholar] [CrossRef]
- Fathipour, H.; Payan, M.; Chenari, R.J. Limit analysis of lateral earth pressure on geosynthetic-reinforced retaining structures using finite element and second-order cone programming. Comput. Geotech. 2021, 134, 104119. [Google Scholar] [CrossRef]
- Xu, P.; Yang, G.; Li, T.; Hatami, K. Finite element limit analysis of bearing capacity of footing on back-to-back reinforced soil retaining walls. Transp. Geotech. 2021, 30, 100596. [Google Scholar] [CrossRef]
- Zhang, C.; Lijun, S.U.; Weizhi, C.H.E.N.; Jiang, G. Full-scale performance testing of bored piles with retaining walls in high cutting slope. Transp. Geotech. 2021, 29, 100563. [Google Scholar] [CrossRef]
- Simpson, B. Retaining structures: Displacement and design. Géotechnique 1992, 42, 541–576. [Google Scholar] [CrossRef] [Green Version]
- Ou, C.Y.; Liao, J.T.; Cheng, W.L. Building response and ground movements induced by a deep excavation. Géotechnique 2000, 50, 209–220. [Google Scholar] [CrossRef]
- Leung, E.H.; Ng, C.W. Wall and ground movements associated with deep excavations supported by cast in situ wall in mixed ground conditions. J. Geotech. Geoenviron. Eng. 2007, 133, 129–143. [Google Scholar] [CrossRef]
- Luo, M.; Liu, D.; Luo, H. Real-time deflection monitoring for milling of a thin-walled workpiece by using PVDF thin-film sensors with a cantilevered beam as a case study. Sensors 2016, 16, 1470. [Google Scholar] [CrossRef] [PubMed]
- Zhou, Y.; Li, C.; Zhou, C.; Luo, H. Using Bayesian network for safety risk analysis of diaphragm wall deflection based on field data. Reliab. Eng. Syst. Saf. 2018, 180, 152–167. [Google Scholar] [CrossRef]
- Ortiz, L.A.; Scott, R.F.; Lee, J. Dynamic centrifuge testing of a cantilever retaining wall. Earthq. Eng. Struct. Dyn. 1983, 11, 251–268. [Google Scholar] [CrossRef]
- Kunasegaram, V.; Takemura, J. Deflection and failure of high-stiffness cantilever retaining wall embedded in soft rock. Int. J. Phys. Modell. Geotech. 2021, 21, 114–134. [Google Scholar] [CrossRef]
- Hashash, Y.M.; Whittle, A.J. Ground movement prediction for deep excavations in soft clay. J. Geotech. Eng. 1996, 122, 474–486. [Google Scholar] [CrossRef]
- Sert, S.; Luo, Z.; Xiao, J.; Gong, W.; Juang, C.H. Probabilistic analysis of responses of cantilever wall-supported excavations in sands considering vertical spatial variability. Comput. Geotech. 2016, 75, 182–191. [Google Scholar] [CrossRef]
- Luo, Z.; Li, Y.; Zhou, S.; Di, H. Effects of vertical spatial variability on supported excavations in sands considering multiple geotechnical and structural failure modes. Comput. Geotech. 2018, 95, 16–29. [Google Scholar] [CrossRef]
- Kung, G.T.; Juang, C.H.; Hsiao, E.C.; Hashash, Y.M. Simplified model for wall deflection and ground-surface settlement caused by braced excavation in clays. J. Geotech. Geoenviron. Eng. 2007, 133, 731–747. [Google Scholar] [CrossRef]
- Katsamakas, A.A.; Papanikolaou, V.K.; Thermou, G.E. A FEM-based model to study the behavior of SRG-strengthened R/C beams. Compo. Struct. 2021, 266, 113796. [Google Scholar] [CrossRef]
- Gohari, S.; Mouloodi, S.; Mozafari, F.; Alebrahim, R.; Moslemi, N.; Burvill, C.; Albarody, T.M.B. A new analytical solution for elastic flexure of thick multi-layered composite hybrid plates resting on Winkler elastic foundation in air and water. Ocean Eng. 2021, 235, 10937. [Google Scholar] [CrossRef]
- Zhang, W.; Goh, A.T.; Xuan, F. A simple prediction model for wall deflection caused by braced excavation in clays. Comput. Geotech. 2015, 63, 67–72. [Google Scholar] [CrossRef]
- Qi, X.H.; Zhou, W.H. An efficient probabilistic back-analysis method for braced excavations using wall deflection data at multiple points. Comput. Geotech. 2017, 85, 186–198. [Google Scholar] [CrossRef]
- Chua, C.G.; Goh, A.T. Estimating wall deflections in deep excavations using Bayesian neural networks. Tunn. Undergr. Space Technol. 2005, 20, 400–409. [Google Scholar] [CrossRef]
- Gowda, K.; Prasad, G.E.; Velmurgan, R. Prediction of optimized cantilever earth retaining wall using ANN. Int. J. Emerg. Trends Eng. Dev. 2012, 6, 328–333. [Google Scholar]
- Ozturk, T.E. Artificial neural networks approach for earthquake deformation determination of geosynthetic reinforced retaining walls. Int. J. Intell. Syst. Appl. Eng. 2014, 2, 1–9. [Google Scholar] [CrossRef] [Green Version]
- Alias, R.; Kasa, A.; Taha, M.R. Artificial neural networks approach for predicting the stability of cantilever RC retaining walls. Int. J. Appl. Eng. Res. 2015, 10, 26005–26014. [Google Scholar]
- Gordan, B.; Koopialipoor, M.; Clementking, A.; Tootoonchi, H.; Mohamad, E.T. Estimating and optimizing safety factors of retaining wall through neural network and bee colony techniques. Eng. Comp. 2019, 35, 945–954. [Google Scholar] [CrossRef]
- Zhang, R.; Wu, C.; Goh, A.T.; Böhlke, T.; Zhang, W. Estimation of diaphragm wall deflections for deep braced excavation in anisotropic clays using ensemble learning. Geosci. Front. 2021, 12, 365–373. [Google Scholar] [CrossRef]
- Mishra, P.; Samui, P.; Mahmoudi, E. Probabilistic design of retaining wall using machine learning methods. Appl. Sci. 2021, 11, 5411. [Google Scholar] [CrossRef]
- Nguyen, D.D.; Tran, V.L.; Ha, D.H.; Nguyen, V.Q.; Lee, T.H. A machine learning-based formulation for predicting shear capacity of squat flanged RC walls. Structures 2021, 29, 1734–1747. [Google Scholar] [CrossRef]
- Huang, Z.K.; Pitilakis, K.; Tsinidis, G.; Argyroudis, S.; Zhang, D.M. Seismic vulnerability of circular tunnels in soft soil deposits: The case of Shanghai metropolitan system. Tunn. Undergr. Space Technol. 2020, 98, 103341. [Google Scholar] [CrossRef]
- Huang, Z.K.; Pitilakis, K.; Argyroudis, S.; Tsinidis, G.; Zhang, D.M. Selection of optimal intensity measures for fragility assessment of circular tunnels in soft soil deposits. Soil Dyn. Earthq. Eng. 2021, 145, 106724. [Google Scholar] [CrossRef]
- Zhang, D.M.; Phoon, K.K.; Huang, H.W.; Hu, Q.F. Characterization of model uncertainty for cantilever deflections in undrained clay. J. Geotech. Geoenviron. Eng. 2015, 141, 04014088. [Google Scholar] [CrossRef] [Green Version]
- MathWorks. Global Optimization Toolbox: User’s Guide (R2018); Springer: Cham, Switzerland, 2018. [Google Scholar]
- Chern, S.; Tsai, J.H.; Chien, L.K.; Huang, C.Y. Predicting lateral wall deflection in top-down excavation by neural network. Int. J. Offshore Polar Eng. 2009, 19, 151–157. [Google Scholar]
- Salsani, A.; Daneshian, J.; Shariati, S.; Yazdani, A.; Taheri, M. Predicting roadheader performance by using artificial neural network. Neural Comput. Appl. 2014, 24, 1823–1831. [Google Scholar] [CrossRef]
- Garson, G.D. Interpreting neural-network connection strengths. AI Expert 1991, 6, 47–51. [Google Scholar]

















| Data | B (m) | Hc (m) | t (m) | K0 | su/σv′ | Eur/su | δ (m) |
|---|---|---|---|---|---|---|---|
| Minimum | 10.00 | 0.50 | 0.60 | 0.50 | 0.30 | 199.38 | 4.48 × 10−4 |
| Mean | 68.59 | 2.74 | 1.04 | 0.79 | 0.46 | 500.51 | 0.055 |
| Maximum | 150.0 | 6.00 | 1.60 | 1.10 | 0.70 | 900.00 | 0.753 |
| Standard Deviation (StD) | 44.44 | 1.82 | 0.27 | 0.12 | 0.12 | 201.31 | 0.109 |
| i | Standard Deviation (StD) | pi | Ci0 | Ci1 | Ci2 | Ci3 | Ci4 | Ci5 | Ci6 |
|---|---|---|---|---|---|---|---|---|---|
| 0 | 0.0151 | 1.3064 | - | - | - | - | - | - | - |
| 1 | - | 4.4400 | −0.6637 | 0.1058 | −3.4106 | 0.6422 | 0.6699 | 2.9597 | 2.5766 |
| 2 | - | −1.1517 | −0.0507 | −0.4111 | −3.1252 | 1.0541 | 4.4313 | −2.8763 | 0.8767 |
| 3 | - | −0.7667 | −0.0094 | 2.1242 | −0.0013 | 1.2719 | −1.5536 | 2.8314 | 0.5952 |
| 4 | - | 1.5632 | 0.0504 | 3.9952 | −1.3110 | −0.9595 | 4.8911 | −3.0350 | −2.5302 |
| 5 | - | 12.7459 | −1.5609 | 0.0537 | −7.9093 | 0.8502 | −0.9578 | 7.5918 | 2.0398 |
| 6 | - | 3.6588 | −0.0772 | 1.2851 | −4.3867 | 3.1687 | −1.4389 | 1.1998 | −2.9990 |
Publisher’s Note: MDPI stays neutral with regard to jurisdictional claims in published maps and institutional affiliations. |
© 2021 by the authors. Licensee MDPI, Basel, Switzerland. This article is an open access article distributed under the terms and conditions of the Creative Commons Attribution (CC BY) license (https://creativecommons.org/licenses/by/4.0/).
Share and Cite
Huang, Z.; Zhang, D.; Zhang, D. Application of ANN in Predicting the Cantilever Wall Deflection in Undrained Clay. Appl. Sci. 2021, 11, 9760. https://doi.org/10.3390/app11209760
Huang Z, Zhang D, Zhang D. Application of ANN in Predicting the Cantilever Wall Deflection in Undrained Clay. Applied Sciences. 2021; 11(20):9760. https://doi.org/10.3390/app11209760
Chicago/Turabian StyleHuang, Zhongkai, Dongmei Zhang, and Dongming Zhang. 2021. "Application of ANN in Predicting the Cantilever Wall Deflection in Undrained Clay" Applied Sciences 11, no. 20: 9760. https://doi.org/10.3390/app11209760
APA StyleHuang, Z., Zhang, D., & Zhang, D. (2021). Application of ANN in Predicting the Cantilever Wall Deflection in Undrained Clay. Applied Sciences, 11(20), 9760. https://doi.org/10.3390/app11209760

