Next Article in Journal
Effect of Printing Layer Thickness on the Trueness and Margin Quality of 3D-Printed Interim Dental Crowns
Previous Article in Journal
Co(II) Complex of Quercetin–Spectral, Anti-/Pro-Oxidant and Cytotoxic Activity in HaCaT Cell Lines
 
 
Font Type:
Arial Georgia Verdana
Font Size:
Aa Aa Aa
Line Spacing:
Column Width:
Background:
Article

Study to Increase the TRL of Exoskeleton ERMIS Based on a Methodology to the Identification of Real Performance Parameters

by
José Luis Medina-Valdes
1,
Luis Adrián Zúñiga-Avilés
2,3,*,
Giorgio Mackenzie Cruz-Martínez
1,
Adriana Herlinda Vilchis-González
1 and
Usiel Sandino Silva-Rivera
1
1
Faculty of Engineering, Universidad Autónoma del Estado de Mexico, Toluca 50130, Mexico
2
Faculty of Medicine, Universidad Autónoma del Estado de Mexico, Toluca 50180, Mexico
3
Cátedras CONACYT, Universidad Autónoma del Estado de Mexico, Toluca 50130, Mexico
*
Author to whom correspondence should be addressed.
Appl. Sci. 2021, 11(19), 9245; https://doi.org/10.3390/app11199245
Submission received: 5 July 2021 / Revised: 15 September 2021 / Accepted: 21 September 2021 / Published: 4 October 2021

Abstract

Many exoskeletons in scientific communications and patents only reach a technology readiness level corresponding to an experimental physical model (EPM) or a low-fidelity prototype. While only operational in a laboratory environment, the increasing technology readiness level (TRL) in exoskeletons is not widely studied. This work presents a study to reach this aim based on a new methodology that includes two phases, eleven steps, and four case studies from EPM (TRL3) of ERMIS up to TRL 5 of ERMIS. The results of this article show the increase in TRL based on the analysis of the operational parameters of the ERMIS exoskeleton. The validation of the passive rehabilitation movements was made by characterizing the points of their trajectories assisted by an anthropomorphic mechanism used to measure the end-effector position of ERMIS by means of the acquisition of data, obtaining an error of 20 mm. In conclusion, the real performance parameters are detailed, explaining their causes according to the behavior of the exoskeleton in a real environment operating the four case studies. It presents the group of parameters that reach the TRL 5, which were validated in Computer-Aided Design (CAD) software.

1. Introduction

According to the World Health Organization (WHO), 15% of the world’s population have some type of disability, representing more than one billion people. Of these one billion, almost 200 million have significant difficulties in functioning [1].
Current disability rates are increasing, and demanding access to health rehabilitation programs will be a significant concern in the years to come. Data from the National Institute of Statistics and Geography of Mexico show that approximately 7.1 million people have a disability and, of these, 33% have a disability in the upper limbs [2].
The essential type of rehabilitation that restores mobility and movement efficiency is a therapy based on the movement and exercise called kinesitherapy [3]. If the therapeutic movement is carried out without any collaboration from the patient, it is called passive rehabilitation [4].
This requires an intense involvement of qualified therapists for the treatment, who conduct the whole process and perform the appropriate exercises with the patient [5]. This process is very exhausting and time-consuming for the therapist, and so the therapies are not intensive and long-lasting [6].
The increasing number of people with functional disabilities and the importance of having good rehabilitation has led to the research, development, and introduction of robots that can contribute significantly to improving the results of these programs [7].
The aim of these robots is the application of technology to the development of devices that assist and enhance rehabilitation therapies for people with disabilities [8]. It is shown that robotic therapy contributes to the recovery of motor skills of the affected limb [9], but the obtained functional results can be improved [8].
Robotic devices can be used by clinical staff or by patients according to medical treatment determined by the specialist so that the physical interface allows a direct transfer of mechanical energy and the exchange of information [10]. These devices are designed to match the shape and function of the human body. The links and joints correspond to the limbs of the human body; the exoskeleton is coupled externally to the person [11]. This device considers the obstacles to optimal functioning and creates designing solutions for the user to interact successfully in their environment [12].
One of the main qualities of robotic rehabilitation systems is that they can provide the desired number of therapy repetitions without decreasing the therapy’s quality, which is very useful for users [13]. One of these devices is an exoskeleton, which is a robotic system that adheres externally to the human body to perform specific functions; their main characteristic is their high dependency on the movements of the joints and extremities of the human body. A person uses these systems in such a way that the structure of the exoskeleton leads to the direct transfer of mechanical energy [9,14].
These projects are considered as assistive and rehabilitative devices for the disabled or elderly. As a portable device, it must have several aesthetic and functional characteristics. Aesthetics is directly related to the size, weight/inertia, comfort of wearing, extensive range of motion, complexity, and appearance of the exoskeleton [15]. The functionality is related to generating the required torque and velocity while maintaining the robustness of operation.
The main problems encountered when developing an exoskeleton for rehabilitation are determining the movement tasks to be performed and defining the appropriate mechanical design for the movement tasks performed by the patient since their prescription and mechanical input constrain the mechanical design and control [16]. The optimal safety and performance of a rehabilitation device require a design methodology in which everyone involved in the device design contributes to [17].

1.1. Exoskeleton for Passive Upper Limb Rehabilitation “ERMIS”

For the rehabilitation process of a physical disability of the upper limb, an EPM of 7 degrees of freedom (DOF) was developed. This passive rehabilitation exoskeleton of the upper limb received the name “ERMIS”, whose name comes from the Spanish name of “Exoesqueleto de Rehabilitación de Miembro Superior” [18].
ERMIS development focuses on passive rehabilitation and faces specific challenges due to the patient’s conditions, ensuring that the position of the arms is maintained and that the arms are within the ranges of each exercise, as well as exerting pull and push at the appropriate locations where therapists apply force during the exercises [18].
In Figure 1, we can observe the CAD model of the proposed exoskeleton assembly, as well as the ERMIS built and validated in a laboratory environment.
The ERMIS exoskeleton as a rehabilitation tool presents an original configuration based on the requirements and limitations of four study cases of passive rehabilitation of the upper limb that can generate functional ranges of movement which allow the patient to regain autonomy [19]. ERMIS is at a TRL 3 stage, which indicates that its operating principle is validated in a laboratory environment. The ranges of motion for each of the degrees of freedom are shown in Table 1.

1.2. Increasing the Technological Readiness of Medical Devices

Product development consists of different steps that allow a new product or family of products to be brought to market. The process is implemented in different ways, and one challenge is balancing aspects such as function, form, material, and process; therefore, it is important to emphasize the methodology and tools to be used [20].
In the design process of a medical product, its purpose, fields of application, associated risks, and user benefits must be clearly specified. The main objective of product development is to demonstrate the knowledge available or obtained by the different aspects of the project in prototypes, pilot plants, and models to validate their usefulness in satisfying a need [21].
It is necessary to know the level of technological development, which is understood as the application of research results, or any other type of scientific knowledge, for the manufacture of new materials or products, in the design of new processes or production systems, as well as in the provision of services [22].
TRLs are a type of measurement system used to assess the maturity level of a particular technology. The technological maturity of the designs is carried out with the improvement of the development phases of the devices; from the design concept, the experimental physical model and, subsequently, the characteristics of the prototype in relation to the maturity of the product proposed in the TRLs, are reached [23,24]. Each development is evaluated according to the requirements of each technological level which is assigned a TRL rating [22].
The TRLs were developed to explicitly define the different stages of technology readiness (nine stages), promote common understandings, and facilitate handover among stakeholders [25]. The TRL classification determines how far a particular technology is from being implemented by the industry or the public. This, in turn, determines the number of resources (time, funds, intellectual potential, facilities, etc.) needed to bring such a technology to life [20].
This paper presents the use of a concurrent methodology for the analysis of the actual positions of ERMIS and its refinement to reach the prototype specifications of the ERMIS exoskeleton. we identified an experimental physical model with a validated operating principle, and the prototype as a device validated in a laboratory environment with a permissible performance and minimal changes required in materials and parameters. The methodology seeks to accelerate the transition between the concepts of an experimental physical model and prototype and clarifies the phases in the development of the ERMIS exoskeleton such as engineering, research, development, and innovation.
The methodology will serve for the future analysis and development of rehabilitation robotics. The design analysis path could be diversified, but not the considerations involved in the methodology.
This article is organized as follows: Section 2 provides a detailed description of the methodology. In Section 3, the case study methodology is applied for the analysis of points on the ERMIS exoskeleton trajectories. Section 4 presents and discusses the results obtained from the behavior of the ERMIS exoskeleton, finally concluding with the current technical specifications and proposing solutions for increasing the technological maturity of the system.

2. Methodology

The ergonomic aspect, good mechanical strength of materials, and lower weight in the development of exoskeletons are fundamental topics in the design; however, such aspects should be reviewed in its experimental physical model stage [26].
There are many challenges during the development of an upper extremity exoskeleton. From the mechanical point of view, the mobility of the mechanism is the most important part to improve its effectiveness [27,28].
Product development must go beyond the traditional steps of acquiring and implementing design technologies as a solution. It should focus on the needs of the end-user, including these requirements in the product design [29]. In order to evaluate the mechanical design of the ERMIS exoskeleton, a methodology was developed and implemented.
This methodology was divided into 2 phases. Phase 1 consisted of identifying the design needs, and phase 2 involved the design of a virtual, mathematical, and prototype model. It was composed of 11 steps distributed as shown in Figure 2. The description of these phases and steps is described in the following paragraphs.

2.1. Steps of the Methodology

Testbench: Testbench is a platform for the experimentation of large development projects; this provides a rigorous, reliable, efficient, and repeatable form of testing [30]. It is possible to verify the performance and service life of the components, and it allows for the detection and elimination of weak points from the very beginning [31]. Each time a new product is designed, it is necessary to verify that the actual performance meets the design specifications. For this purpose, test benches are built to analyze these products. The data derived from the test benches are conditioned, processed, dated, and recorded; using data processing techniques, these data are reprocessed and interpreted [30].
Identification of actual operating parameters: Studies are conducted to establish the product parameters representing the system attributes: they reflect important properties or capabilities, possible system states, and critical dimensions [32]. This step looks for the area of interest in which there is an opportunity for improvement. This makes it vitally important to collect information such as identifying the operation; conducting a needs analysis, which support us in the project strategy; basic assumptions, and limitations.
Determination of design parameters: These are detailed statements, which are generally quantitative, of the expected operating values, environmental conditions in which the device must operate, space or weight limitations, or available materials and components that may be used [33].
Case studies: For this methodology, it is understood that the study case is a practice application considering the specific conditions of each problem. For the definition of the problem, an analysis is performed to obtain the metrics according to our product and the identification and establishment of interfaces. A list of tasks and requirements can be obtained to perform the subsequent steps of the methodology.
Implementation of tasks: Once the tasks for the analysis are identified and defined, they are implemented through a precise, descriptive, and routine process that is adapted to the actual system conditions. This allows us to parameterize the requirements and processes designed in the previous phase, working with real data to be validated by the system. The proper implementation of tasks depends on the correct development of the process, which in turn conditions the results. These tasks will be able to detect errors and times, and characterize attributes and physical aspects that will shape the product from the engineering point of view.
Conceptual design: Design step in which the following activities are carried out: identification of needs and their expression; functional specification of the system; synthesis, analysis, and evaluation; and, finally, conceptual design.
System grouping: From the CAD conceptual model, it is possible to identify the groups that make up the system; it is important to ensure that these groups are independent in their functions to be able to work on the detailed engineering at the same time seeking to reduce development time. The deliverable of this step is a structural diagram that identifies the assemblies, subassemblies, and component parts through an identification code.
Detailed engineering: This phase takes as a starting point the conceptual solutions of the different subsystems or work packages and proceeds with the preliminary design and basic engineering of the product and manufacturing process. Parameters, processes, tolerances, and materials must be definitively established in order to generate mechanical analyses, simulations, CAD prototypes, and virtual and rapid prototypes.
Unified architecture: The assemblies are integrated into a single CAD and migrated to specific software for the analysis of the system, where different analyses can be performed to learn its behavior. The objective of this migration is to generate the synthesis of the mathematical model. The parts are replaced with their equivalents in materials and technical design specifications that allow performance testing. The deliverable of this step is the virtual prototype with a technical design file.
Emulation and simulation: Emulation is understood as the effect of performing tests with the experimental physical model of the different tasks defined in the conceptual design. The importance of an emulation system lies in being able to observe the behavior of the system to subsequently make decisions, making a comparison between the characteristics of the system [34]. A simulation is a form of design validation with an important role during research: targeting a product. With this, it is possible to generate the product and perform the necessary iterations. Simulation is performed using the CAD model, where it is possible to analyze the system according to the operating parameters [35]. The emulation and simulation of the system are validated by comparing the correlation of its results, taking the simulation results as ideal and the emulation results as real.
Prototype specifications: The prototype specifications are generated to allow the corresponding assembly of the parts and the functional testing. In the methodology, the steps establish the points where the analysis must be made and evaluated and the points where it is necessary to provide feedback to improve the system.

2.2. Implementation of the Methodology

Test bench: The test bench that was selected for the experiment, to provide a reliable, efficient, and repeatable way of testing the position of the ERMIS, is an anthropomorphic mechanism [36]. This type of mechanism simulates the movements of an arm is fast and has great accessibility and maneuverability, and is a small device considering the work field it is used in.
The anthropomorphic 3 DOF mechanism for positioning rehabilitation devices is a structure with three rotational joints (3DOF or RRR, rotational joints, see Figure 3). The end-effector position is specified in angular coordinates or cartesian coordinates with a transformation of the data.
The mechanism has a cardan joint as an end effector. This is a mechanical component that allows the transmission of rotational movement between two non-collinear axes. The purpose of the cardan joints is that the links of the rehabilitation device and the anthropomorphic mechanism can rotate with regard to the bars. The rotation between the non-parallel axes will be transmitted.
Mathematical model position: The representation of the position in the workspace of the ERMIS, by means of the anthropomorphic mechanism, is obtained through mathematical expressions from a mathematical model. The success of the model lies in the accuracy with which it can represent the object or phenomenon under study [37]. A mathematical model capable of describing the direct kinematics of the system is developed; this model is used for the location of points in the trajectories generated by the ERMIS movements. Through the analysis of direct kinematics, a set of kinematic equations useful for calculating the position of the end-effector of the anthropomorphic mechanism, using specific values of the angles between the links, is obtained. Figure 4 shows the orientation of the reference frame for the anthropomorphic mechanism.
The nomenclature used for homogeneous transformation matrices is as follows: c θ 1 = c 1 ; c θ 2 10 ° = c 2 ; c θ 3 + 10 ° = c 3 ; s θ 1 = s 1 ;   s θ 2 10 ° = s 2 ; s θ 3 + 10 ° = s 3 . The Denavit-Hartemberg parameters are shown in Table 2.
Equation (1) shows the homogeneous transformation matrix that takes us from the origin to the end-effector of the anthropomorphic mechanism.
H = A 0 1 A 1 2 A 2 3 = [ c 2 c 3 c 1 s 3 s 2 c 1 c 1 c 2 s 3 c 1 s 2 c 3 s 1 a 2 c 2 c 1 + a 3 c 2 c 3 c 1 a 3 s 3 s 2 c 1 c 2 c 3 s 1 s 1 s 2 s 3 c 2 s 3 s 1 c 3 s 2 s 1 c 1 a 2 c 2 s 1 + a 3 c 2 c 3 s 1 a 3 s 3 s 2 s 1 c 2 s 3 + c 3 s 2 c 2 c 3 s 2 s 3 0 d 1 + a 2 s 2 + a 3 c 2 s 3 + a 3 c 3 s 2 0 0 0 1 ]
Identification of actual operating parameters: This is the step in the methodology in which an analysis of the case studies is carried out. The case studies analyzed are those corresponding to the trajectories programmed in ERMIS [18], which are the movements used during a physical therapy session:
  • Case study 1. Exclusive series of exercises per joint. They consist of performing one or two anatomical movements to stimulate the affected regions in repetitions of 3 to 5 times.
  • Case study 2. Exercise with an apparent load. These exercises emulate the lifting of an object by a person planning to deposit it somewhere.
  • Case study 3. Activation of muscle memory through trajectory tracking. A relatively new rehabilitation technique is muscle memory [38].
  • Case study 4. Emulation of shoulder wheel or rudder. The tiller is a mechanical device that facilitates shoulder, arm, elbow, and wrist rehabilitation. It performs a movement of the entire upper limb [33].
Table 3 shows the operating conditions of the system in which the analysis of the position of the ERMIS exoskeleton is performed, showing the different movements and the applied loads. The readings are taken in different conditions; one without load and another with three different loads, two loads that simulate the weight of the upper limb of a person and the third load with a healthy person of 29 years of age and a weight of 70 kg.
Determination of design parameters: This is necessary to acquire values that represent the operation, conditions, and limitations under which the ERMIS exoskeleton works.
  • Data acquisition was performed for each of the operating conditions; for these conditions, the movements that can be observed in Table 3 were considered. It was necessary to characterize the passive rehabilitation exercises applied in therapy. There were several methods to quantify the movements of human limbs [39]. The data were acquired by using the anthropomorphic mechanism. It was important to note that this technique evaluated the angular position of the joint at any point in space [38].
  • Potentiometers were attached to the joints of the anthropomorphic mechanism; these 5 KΩ potentiometers functioned as analog angular position sensors thanks to their high linearity, with a 360° rotation; thus, the measurement was directly proportional to the angle. The potentiometers allowed a voltage–degree relationship to be established; their location was related to the axis of rotation for each joint.
  • The data that were acquired simultaneously corresponded to the angular movements of the ERMIS; the sampling times were variable for each case corresponding to the duration of each movement. For the reading of the values the analog inputs in a range from 0 to 10 volts of the USB 6009 were used with a data acquisition system National Instrument® that allowed for measurements of the three channels simultaneously. Thirty repetitions of each case study were performed in each experimental session, recoding 1000 data per second.
  • The data were processed in MATLAB®, where they were scaled and saved in files for further analysis. The data analyzed were the output voltage readings derived from the potentiometers. A filter was applied to the input data to separate the essential or useful components from the extraneous or unwanted components, known as noise. The Denavit–Hartenberg method was implemented to represent the position and orientation of the end-effector with respect to the reference frame. Plots representing the position, repeatability, and accuracy of the ERMIS were obtained for future analysis.
  • In the measurements and data processing, it was necessary to establish the system parameters (type of motion and analysis condition), record the signals, monitor the status of the tests and the exoskeleton.
The regulations for the evaluation of medical devices depend on the classification of the device, which determines the type, functionality, and nomenclature of the device, as well as the level of risk that may occur for the patient [40]. The Federal Commission for Protection against Health Risks (COFEPRIS, for its Spanish acronym) made a classification of medical devices based on the classification of the Food and Drug Administration (FDA) [41]. The FDA lends special importance to the design phase since the quality, safety, and effectiveness of a device are validated during this phase. Design controls are required. Some main requirements of the regulation are: to establish written procedures for design control; carry out a design review; and validate the documentation of the entire device design process in the Design History File (DHF) [42].
Based on FDA regulations, the methodology is applied to observe the repeatability of the end-effector and the mechanical behavior of the structure to document the design process of the ERMIS exoskeleton.
Case studies: For this methodology, the case study step is an analysis of the results of the position concerning the inertial reference system of the ERMIS exoskeleton; the trajectories generated by case studies used in rehabilitation therapy allow for the identification of specific difficulties in their position and movement accuracy concerning therapy. Metrics tables are presented and analyzed to define the allowable error, in addition to a list of tasks and requirements that are fed back into the subsequent steps of the methodology.
Implementation of tasks: The MPE measurements are obtained and compared with the values of that trajectory for each case study. Error curves are generated, and the permissible error rate is identified and established according to the needs. The graphs show the trajectories of the arm for each rehabilitation movement, and they are generated by operating the system without load, with load, and with a healthy user.

3. Results

3.1. Identification of Real Performance Parameters

This section discusses the results obtained from the application of the methodology, the modes of operation in each of the readings, the ERMIS position data, representative position charts, the points in the workspace of the movements, and the permissible error rate for the position analysis. The exercises are involved the movement of at least one degree of freedom. The constructed anthropomorphic mechanism was connected to the ERMIS exoskeleton, as seen in Figure 5.
The trajectories were discretized during the time that each movement or rehabilitation case lasted. The times for these are presented in Table 4. During the ERMIS testing it was possible to identify alterations and the correct functioning of the system.
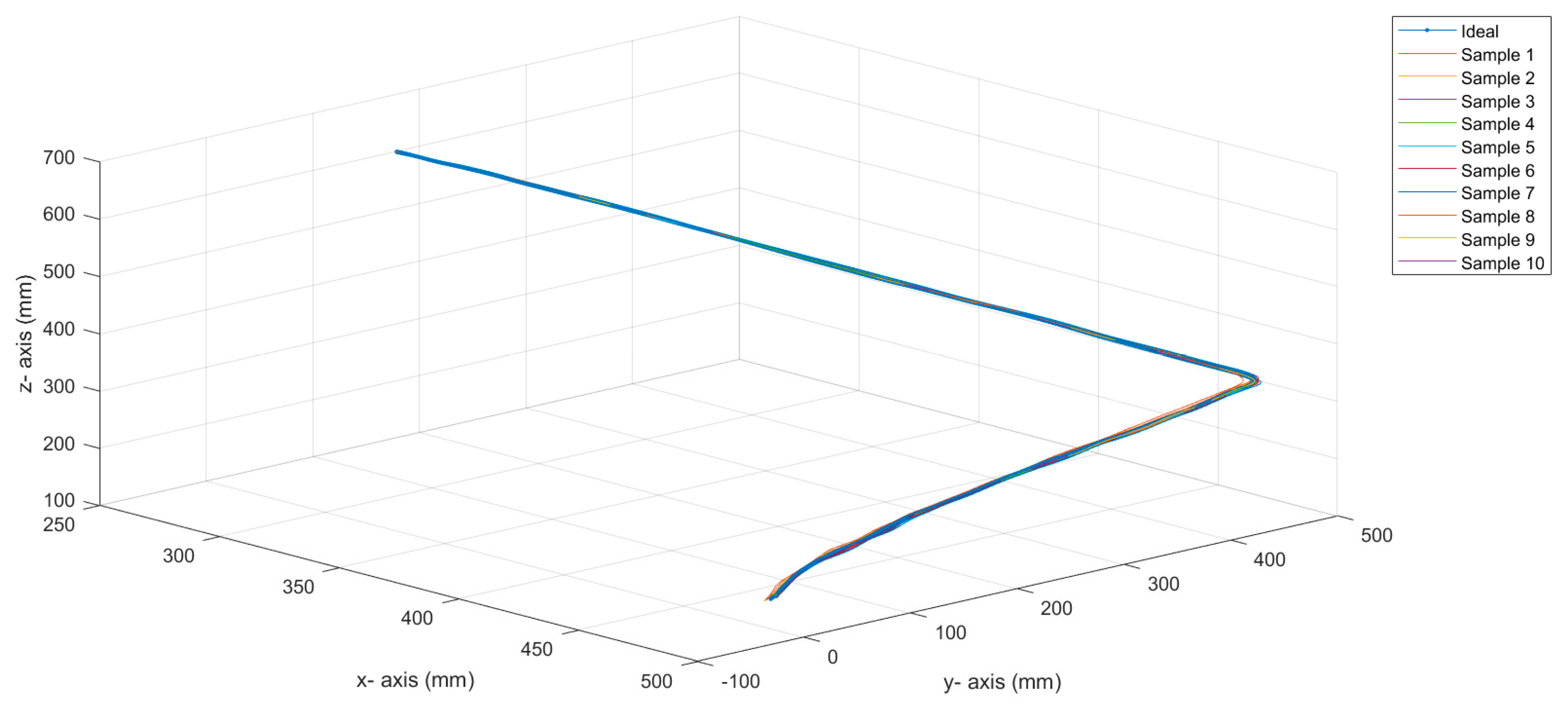
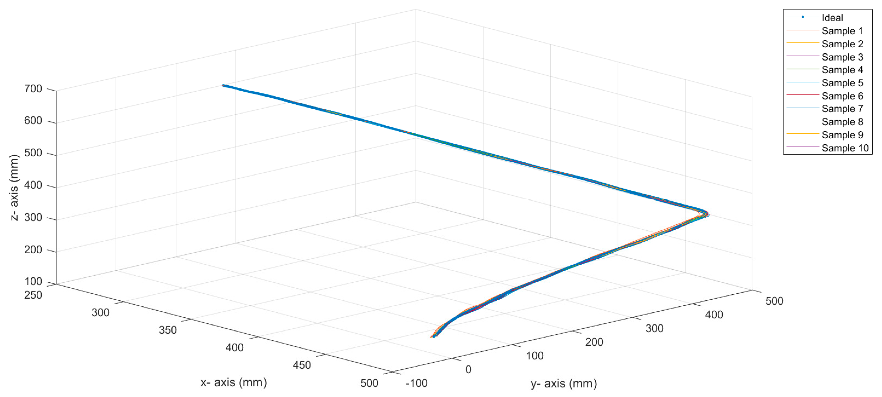
Position accuracy, repeatability, and absolute error have the same analysis conditions but use different calculation methods. For accuracy and repeatability, the formulas reported in ISO 9283 [43] are used. The values of the reported results are in millimeters in all cases. The movement was repeated ten times in the different cases. With the data acquired in the experimental measurement, different values and graphs were obtained, showing the absolute error, repeatability, and accuracy of the movements for each joint involved in the execution of the exercise. Figure 6 shows the trajectories of one of the unloaded readings from which the points are taken for analysis. These are of the movement corresponding to case 3 and demonstrates its variation during the repetitions.
Figure 7 shows the Gaussian bells of the position of one of the case studies that corresponds to a series of exercises by the exclusive articulation, which helps us observe how they are grouped around the programmed value. A very sharp bell indicates that the values are very close to the programmed value and a flatter bell indicates that values far from the programmed value are presented. The graphs correspond to each of the axes. Figure 7a corresponds to the x-axis, Figure 7b corresponds to the y-axis, and Figure 7c corresponds to the z-axis.
Table 5 shows the representative values of the difference between the real value and the one obtained through the absolute error in the trajectories analyzed without a load. The values are represented concerning each coordinate axis of the inertial system of the anthropomorphic mechanism.
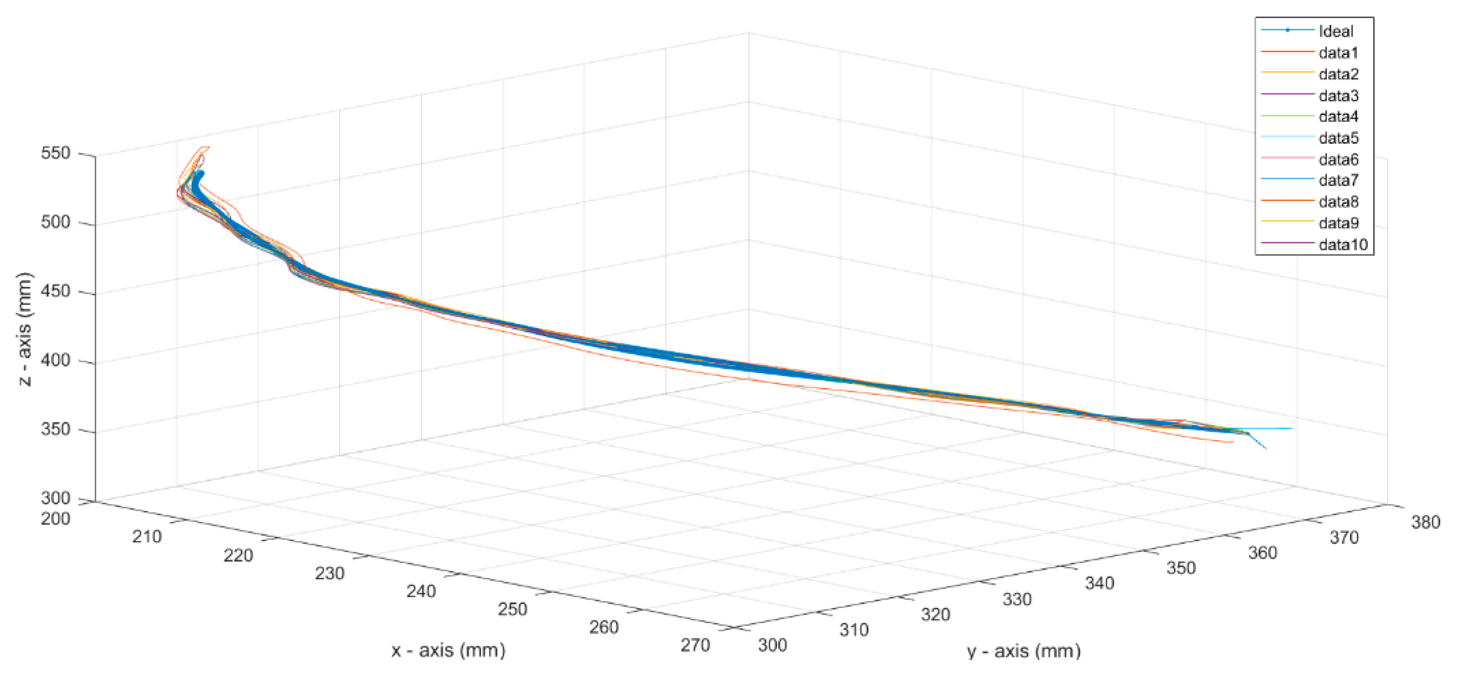
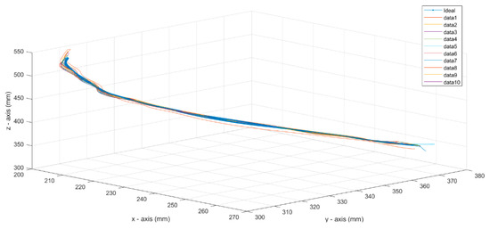
Figure 8 shows the trajectories corresponding to the flexion–extension movement of the shoulder, whose reading was performed under load conditions of 2.2 kg.
Figure 9 shows the position distribution of one of the upper limb movements corresponding to shoulder abduction–adduction with a load of 2.2 kg. The graphs correspond to each of the axes. Figure 9(a) concerns the x-axis, Figure 9b concerns the y-axis, and Figure 9c concerns the z-axis.
Table 6 shows the values corresponding to the absolute error of the movements analyzed with the load. These values compared to those taken in the no-load readings show an increase in the variation.
Table 7 shows the root mean square (RMS) values that indicate the amount of error in the position of the ERMIS exoskeleton. Two values are shown, the first corresponds to the programmed value, and the second is the RMS value, which compares the programmed value with the obtained values. It functions as an estimate of positional accuracy.
Table 8 shows the positioning accuracy, which represents the ability to reach or approach the programmed value of a given location in the ERMIS trajectories, and the degree of closeness between the different readings at the same point, representing the repeatability.
The use of this methodology allowed for the easier implementation of the tasks. The results obtained allowed the design to be carried out and refined to obtain the prototype specifications within the TRLs.

3.2. ERMIS in TRL 5

With the application of the methodology, Table 9 shows the analysis of the technological maturity of the ERMIS based on the results obtained and the requirements for increasing it.
Shafts and bushings have different dimensions, which cause clearances and backlash between the links; an adjustment of their tolerance levels is the solution. The dimensions of some links cause the movement ranges to be smaller than is possible; given the properties of the materials used in their manufacture, they can be resized.
Table 10 shows the differences of the ERMIS exoskeleton concerning exoskeletons in scientific communication and patents. This table highlights the characteristics that make it a novel device in comparison with other devices.

4. Conclusions

Critical points were taken from the different ERMIS trajectories to analyze their position in the working space. The movements were characterized using the trajectories generated with an anthropomorphic mechanism and contrasted with the ideal trajectory for each movement of the exoskeleton.
The analysis in unloaded conditions covered different values of the absolute error at the selected point of its trajectories: 54.5 mm in the y-axis and as a maximum value for the external–internal rotation movement of the shoulder.
The analysis under loading conditions covered different values of the absolute error at the selected point of its trajectories: 39.0 mm in the z-axis as the maximum value for the abduction–adduction movement of the shoulder.
This error represented a variation according to the type of analysis and case, which could indicate different situations. This error was caused by working, component wear, construction without adequate materials, and system vibration. The error values were analyzed, obtaining an allowable error rate for each joint between 5 and 15 mm.
The trajectory point values on each axis were a guide to the repeatability and accuracy of the trajectory, which served as a guide for improving the ERMIS design. The error, repeatability, and accuracy values indicated whether the rehabilitation objectives could be met; the implementation of the tasks was set to be as complementary to the ERMIS analysis. This gave us the requirements and constraints from which the design improvement proposal was formulated.
From these data, it was possible to estimate where the exoskeleton worked efficiently, and the critical points where a greater error occurred. Keeping a permissible error required paying special attention to the materials, shafts, bushings, and links.

Author Contributions

J.L.M.-V. developed the practical aspects of this research; L.A.Z.-A. provided an original schematic and exhaustive work in the reviewing, editing, and supervision of the paper; G.M.C.-M. and A.H.V.-G. reviewed, edited, and corrected this document; U.S.S.-R. designed the experimental protocol and results reports. All authors have read and agreed to the published version of the manuscript.

Funding

The software of the Autonomous University of the State of Mexico was used. This research was funded by CONACYT (National Council of Science and Technology of Mexico) Grant No. 930281. Patents: The analysis of the ERMIS exoskeleton generated an industrial design in the Mexican Institute of Industrial Property (IMPI) called “Industrial model of the position measurement device” with the registration number MX/E/2019/080149.

Institutional Review Board Statement

Not applicable.

Informed Consent Statement

Not applicable.

Acknowledgments

The authors are grateful for the financial support of CONACyT and PRODEP. The authors also wish to thank all the therapists and doctors who help us.

Conflicts of Interest

The authors declare that there is no conflict of interest.

References

  1. World Health Organization: Disability and Health. Available online: https://www.who.int/news-room/fact-sheets/detail/disability-and-health (accessed on 13 August 2021).
  2. INEGI. La Discapacidad en México, Datos al 2014; Versión 2017; INEGI: Aguascalientes, Mexico, 2017; p. 365. [Google Scholar]
  3. Almeida, F.D.J.F.; Araújo, A.E.R.D.A.; Carvalho, C.A.D.; Fonsêca, P.C.D.A.; Nina, V.J.D.S.; Mochel, E.G. Application of kinesiotherapy and electrothermotherapy in the treatment of elderly with knee osteoarthrosis: A comparative study. Fisioter. mov. 2016, 29, 325–334. [Google Scholar] [CrossRef]
  4. JMGR. Cinesiterapia, Terapia por el Movimiento. Available online: https://fisioterapiaonline.com/tecnicas/cinesiterapia/cinesiterapia.html (accessed on 13 August 2021).
  5. Iqbal, J.; Baizid, K. Stroke rehabilitation using exoskeleton-based robotic exercisers: Mini Review. Biomed. Res. 2015, 26, 197–201. [Google Scholar]
  6. Maggioni, S.; Melendez-Calderon, A.; van Asseldonk, E.; Klamroth-Marganska, V.; Lünenburger, L.; Riener, R.; van der Kooij, H. Robot-aided assessment of lower extremity functions: A review. J. Neuroeng. Rehabil. 2016, 13, 1–25. [Google Scholar] [CrossRef] [PubMed]
  7. Iqbal, H.; Khan, N.G.; Tsagarakis, D.; Caldwell, G. A novel exoskeleton robotic system for hand rehabilitation—Conceptualization to prototyping. Biocybern. Biomed. Eng. 2014, 34, 79–89. [Google Scholar] [CrossRef]
  8. Islam, M.R.; Spiewak, C.; Rahman, M.H.; Fareh, R. A brief review on robotic exoskeletons for upper extremity rehabilitation to find the gap between research porotype and commercial type. Adv. Robot Autom 2017, 6, 2. [Google Scholar] [CrossRef]
  9. Babaiasl, M.; Mahdioun, S.H.; Jaryani, P.; Yazdani, M. A review of technological and clinical aspects of robot-aided rehabilitation of upper-extremity after stroke. Disabil. Rehabil. Assist. Technol. 2015, 11, 1–18. [Google Scholar] [CrossRef] [PubMed]
  10. Wang, X.; Song, Q.; Wang, X.; Liu, P. Kinematics and dynamics analysis of a 3-DOF upper-limb exoskeleton with an internally rotated elbow joint. Appl. Sci. 2018, 8, 464. [Google Scholar] [CrossRef]
  11. Montaño, J.G.; Cena, C.E.G.; Chamorro, L.J.M.; Destarac, M.A.; Pazmiño, R.S. Mechanical Design of a Robotic Exoskeleton for Upper Limb Rehabilitation. In Advances in Automation and Robotics Research in Latin America; Springer: Cham, The Netherlands, 2017; pp. 297–308. [Google Scholar]
  12. Gassert, R.; Dietz, V. Rehabilitation robots for the treatment of sensorimotor deficits: A neurophysiological perspective. J. Neuroeng. Rehabil. 2018, 15, 1–15. [Google Scholar] [CrossRef] [PubMed]
  13. Xie, S. Advanced Robotics for Medical Rehabilitation. Springer Tracts Adv. Robot. 2016, 108, 357. [Google Scholar]
  14. Chen, B.; Zi, B.; Qin, L.; Pan, Q. State-of-the-art research in robotic hip exoskeletons: A general review. J. Orthop. Transl. 2019, 20, 4–13. [Google Scholar] [CrossRef] [PubMed]
  15. Iqball, N.G.; Tsagarakisl, A.E.; Fiorilla, D.G. Caldwelll, Design requeriments of a hand exoskeleton robotic device. In Proceedings of the IASTED International Conference on Robotics and Applications, Cambridge, MA, USA, 2–4 November 2010. [Google Scholar]
  16. Rupal, B.S.; Rafique, S.; Singla, A.; Singla, E.; Isaksson, M.; Virk, G.S. Lower-limb exoskeletons: Research trends and regulatory guidelines in medical and non-medical applications. Int. J. Adv. Robot. Syst. 2017, 14, 1729881417743554. [Google Scholar] [CrossRef]
  17. Chile, I.D.S.P.D. Lifecycle of Medical Devices. Available online: https://www.ispch.cl/andid/ (accessed on 13 August 2021).
  18. Cruz Martínez, G.M. Generation of trajectories of an exoskeleton for upper limb rehabilitation (in Spanish). In Faculty of Engineering; University of Mexico State: Toluca, Mexico, 2018; p. 116. [Google Scholar]
  19. Cruz-Martínez, G.M.; Vilchis-González, A.H.; Zúñiga-Avilés, L.A.; Ávila-Vilchis, J.C.; Hernández-Sánchez, A.I. Diseño de exoesqueleto con base en cuatro casos de estudio de rehabilitación de miembro superior. Rev. Mex. De Ing. Biomédica 2018, 39, 81–94. [Google Scholar]
  20. Fredriksson, C.; Eriksson, M.; Melia, H. Facilitating the teaching of product development. In Proceedings of the 2014 ASEE Annual Conference & Exposition, Indianapolis, IN, USA, 15–18 June 2014; American Society for Engineering Education: Washington DC, USA, 2014. [Google Scholar]
  21. Zuñiga Aviles, L.A. Intellectual property as a tool to generate new products. In First Engineering Research Colloquium; State, U.O.M., Ed.; University of Mexico State: Toluca, Mexico, 2018; p. 50. [Google Scholar]
  22. NASA. Technology Readiness Level. 1 April 2021. Available online: https://www.nasa.gov/directorates/heo/scan/engineering/technology/technology_readiness_level (accessed on 13 August 2021).
  23. Behdinan, K.; Fahimian, M.; Pop-Iliev, R. A Tool for Systematically Accessing the Level of Readiness of Engineering Design in Product Development. In Proceedings of the Canadian Engineering Education Association (CEEA), Toronto, ON, Canada, 4–7 June 2017. [Google Scholar]
  24. Olechowski, A.; Eppinger, S.D.; Joglekar, N. Technology readiness levels at 40: A study of state-of-the-art use, challenges, and opportunities. In Proceedings of the 2015 Portland International Conference on Management of Engineering and Technology (PICMET), Portland, OR, USA, 24 September 2015. [Google Scholar]
  25. Ward, M.J.; Halliday, S.T.; Foden, J. A readiness level approach to manufacturing technology development in the aerospace sector: An industrial approach. Proceedings of the Institution of Mechanical Engineers, Part B. J. Eng. Manuf. 2012, 226, 547–552. [Google Scholar] [CrossRef]
  26. Luna Estrada, C.A. Evolutionary structural optimization of a pelvic limb exoskeleton. In Faculty of Engineering; UNAM: Mexico City, Mexico, 2016; p. 144. [Google Scholar]
  27. Gómez, P.A.; Rodríguez, M.D.; Amela, V. Design of robotic device for rehabilitation and diagnosis of lower extremities. In Diseño de Dispositivos Para Rehabilitación y Órtesis; Vergara Paredes, M.A., Rivas Echeverría, F., Restrepo Moná, M., Eds.; Universidad de los Andes Venezuela: Mérida, Venezuela, 2017; pp. 15–42. [Google Scholar]
  28. Vatan, H.M.F.; Nefti-Meziani, S.; Davis, S.; Saffari, Z.; El-Hussieny, H. A review: A comprehensive review of soft and rigid wearable rehabilitation and assistive devices with a focus on the shoulder joint. J. Intell. Robot. Syst. 2021, 102, 9. [Google Scholar] [CrossRef]
  29. Centeno Olguín, J. Design for Manufacturability and Comprehensive Product Development. Available online: https://www.gestiopolis.com/diseno-para-la-manufacturabilidad-y-desarrollo-integral-de-productos (accessed on 13 August 2021).
  30. Knowledge Valley: Test and Analysis Benches. Available online: http://kv2001.com/pruebas.aspx (accessed on 13 August 2021).
  31. Bosch Rexroth: Test Bench. Available online: https://www.boschrexroth.com/en/us/ (accessed on 13 August 2021).
  32. Han, X.; Li, R.; Wang, J.; Qin, S.; Ding, G. Identification of key design characteristics for complex product adaptive design. Int. J. Adv. Manuf. Technol. 2017, 95, 1215–1231. [Google Scholar] [CrossRef]
  33. Jewett, B. Strategy2market: Robust Design—Methods to Accelerate the Development of Critical Design Parameters. Available online: https://www.strategy2market.com/items/robust-design-methods-to-accelerate-the-development-of-critical-design-parameters/ (accessed on 13 August 2021).
  34. Milan, G.; Hodon, R.; Binasova, V.; Dulina, L.; Gaso, M. Design of Simulation-Emulation Logistics System. MM Sci. J. 2018, 2018, 2498–2502. [Google Scholar] [CrossRef]
  35. Carlos, G. Machine Design: The Impact of Simulation and the Future of Manufacturing. Available online: https://www.machinedesign.com/3d-printing-cad/fea-and-simulation/article/21835107/the-impact-of-simulation-and-the-future-of-manufacturing (accessed on 13 August 2021).
  36. Sandoval-González, O.; Herrera-Aguilar, I.; Jacinto-Villegas, J.M.; Daza-Merino, C.; Pimentel Cortes, J.R. Design and Implementation of a Robotic Spatial Positioning System with Haptic Feedback Applied to Rehabilitation, Skills Transfer and Human-Computer Interaction. In IX Congreso Internacional Sobre Innovación y Desarrollo Tecnológico; CIINDET Cuernavaca: Morelos, Mexico, 2011; pp. 1–7. [Google Scholar]
  37. Grinchenkov, D.; Mokhov, V.; Spiridonova, I. Object-oriented approach to design of the complex mechanical system dynamics mathematical models. Procedia Eng. 2015, 129, 356–361. [Google Scholar] [CrossRef][Green Version]
  38. Quesnot, A.; Chanussot, J.C. Rehabilitación del Miembro Superior; Editorial Medica Panamericana: Madrid, Spain, 2010. [Google Scholar]
  39. Haro, D.M. Laboratorio de análisis de marcha y movimiento. Revista Médica Clínica Las Condes 2014, 25, 237–247. [Google Scholar] [CrossRef]
  40. Guerrero Valencia, J.C. Design and Implementation of Validation Protocols for Medical/Surgical Monitoring and Control Equipment (in Spanish ); Universidad de Antioquía: Antioquía, Colombia, 2016. [Google Scholar]
  41. Zedillo, E. Regulation of Health Products (in Spanish); Congress of the Union: Mexico City, Mexico, 1998. [Google Scholar]
  42. Burlington, D.B. Design control guidance for medical device manufacturers. In Center for Devices and Radiological Health; FDA: Rockville, MD, USA, 1997; Volume 11, p. 5. [Google Scholar]
  43. International Standard ISO 9283. Manipulating Industrial Robots-Performance Criteria and Related Test Methods, 2nd ed.; ISO: Geneva, Switzerland, 1998. [Google Scholar]
Figure 1. (a) CAD model of the ERMIS exoskeleton and (b) EPM of the ERMIS.
Figure 1. (a) CAD model of the ERMIS exoskeleton and (b) EPM of the ERMIS.
Applsci 11 09245 g001
Figure 2. Methodology for increasing the TRL of the ERMIS exoskeleton design.
Figure 2. Methodology for increasing the TRL of the ERMIS exoskeleton design.
Applsci 11 09245 g002
Figure 3. Anthropomorphic mechanism of 3 DOF for position detection.
Figure 3. Anthropomorphic mechanism of 3 DOF for position detection.
Applsci 11 09245 g003
Figure 4. Diagram of the reference frame of the three-degrees-of-freedom anthropomorphic mechanism.
Figure 4. Diagram of the reference frame of the three-degrees-of-freedom anthropomorphic mechanism.
Applsci 11 09245 g004
Figure 5. Configuration for position reading in ERMIS.
Figure 5. Configuration for position reading in ERMIS.
Applsci 11 09245 g005
Figure 6. Trajectories of case 3-Activation of muscle memory through trajectory tracking.
Figure 6. Trajectories of case 3-Activation of muscle memory through trajectory tracking.
Applsci 11 09245 g006
Figure 7. Case 1 -Exclusive series of exercises per joint (a) on the x-axis, (b) on the y-axis, and (c) on the z-axis.
Figure 7. Case 1 -Exclusive series of exercises per joint (a) on the x-axis, (b) on the y-axis, and (c) on the z-axis.
Applsci 11 09245 g007
Figure 8. Trajectories of shoulder flexion–extension—load 2.2 kg.
Figure 8. Trajectories of shoulder flexion–extension—load 2.2 kg.
Applsci 11 09245 g008
Figure 9. Movement of shoulder abduction–adduction—2.2 kg load (a) on the x-axis, (b) on the y-axis, and (c) on the z-axis.
Figure 9. Movement of shoulder abduction–adduction—2.2 kg load (a) on the x-axis, (b) on the y-axis, and (c) on the z-axis.
Applsci 11 09245 g009
Table 1. Ranges of motion of the ERMIS exoskeleton.
Table 1. Ranges of motion of the ERMIS exoskeleton.
MovementRange of Motion (°)
Shoulder adduction-abduction0 to 164
Shoulder flexion–extension0 to 173
Internal and external shoulder rotation−86 to 74
Elbow flexion–extension0 to 140
Wrist flexion–extension−53 to 74
Radial cubital deviation−10 to 30
Pronation and supination−80 to −90
Table 2. Denavit-Hartemberg parameters.
Table 2. Denavit-Hartemberg parameters.
Linkθi [rad].λi [m]𝑙i [m]𝛼i [rad]
1 θ 1 d 1 0pi/2
2 θ 2 0 L 2 0
3 θ 3 0 L 3 0
Table 3. Movements for each operating condition.
Table 3. Movements for each operating condition.
ConditionWithout LoadWith Load
InstrumentPhysical environmentPhysical environment
2.2 kg4.2 kgHealthy person
MovementCase 1Shoulder abduction-adduction
Shoulder flexion–extension
Case 3
Shoulder abduction–adduction
Shoulder flexion–extension
Arm flexion–extension
Internal and external shoulder rotation
Table 4. Time per work cycle.
Table 4. Time per work cycle.
MovementTime (s)
Case 1—Series of excluding exercises by joint.24
Case 3—Activation of muscle memory through trajectory tracking.45.5
Shoulder abduction–adduction16
Shoulder flexion–extension14
Internal and external shoulder rotation14
Arm flexion–extension14
Table 5. Absolute error in trajectories of no-load readings.
Table 5. Absolute error in trajectories of no-load readings.
Movementx-axis(mm)y-axis (mm)z-axis (mm)
Case 14.71.57.5
Case 324.824.945.2
Shoulder abduction–adduction3.67.07.4
Shoulder flexion–extension7.95.37.1
Arm flexion–extension2.913.011.7
Internal and external shoulder rotation36.754.51.7
Table 6. Absolute error in trajectories under loading conditions.
Table 6. Absolute error in trajectories under loading conditions.
Loading ConditionsMovementx-axis (mm)y-axis (mm)z-axis (mm)
2.2 kgShoulder abduction–adduction11.917.69.8
Shoulder flexion–extension3.65.68.5
4.2 kgShoulder abduction–adduction23.011.039.0
Shoulder flexion–extension13.615.324.8
Healthy subjectShoulder abduction–adduction17.218.06.8
Shoulder flexion–extension6.45.25.9
Table 7. RMS values of the ERMIS exoskeleton.
Table 7. RMS values of the ERMIS exoskeleton.
ConditionsMovementx-axis(mm)y-axis (mm)z-axis (mm)
Without loadCase 1595.1−595.4180.4−181.2194.6−194.2
Case 3486.0−488.30.0−13.1150.9−144.9
Shoulder abduction–adduction547.5−547.5158.6−159.2426.5−426.3
Shoulder flexion–extension267.6−268.1482.3−482.0402.9−402.8
Arm flexion–extension234.5−234.0375.8−372.9172.1−173.7
Internal and external shoulder rotation265.2−253.2544.8−565.2453.8−453.1
2.2 kgShoulder abduction–adduction169.0−161.2519.7−529.9357.3−358.6
Shoulder flexion–extension260.7−260.3373.6−372.1345.2−347.8
4.2 kgShoulder abduction–adduction82.7−74.8608.5−609.0358.1−375.7
Shoulder flexion–extension173.3−169.1452.6−447.0366.5−362.8
Healthy subjectShoulder abduction–adduction164.1−159.0527.5−534.3359.8−359.6
Shoulder flexion–extension255.8−257.2376.9−376.8345.2−346.1
Table 8. Accuracy and repeatability in ERMIS trajectories.
Table 8. Accuracy and repeatability in ERMIS trajectories.
Loading ConditionsMovementAccuracy (mm)Repeatability (mm)
No-loadCase 10.96.6
Case 39.154.8
Shoulder abduction–adduction0.67.8
Shoulder flexion–extension1.111.3
Arm flexion–extension 3.319.7
Internal and external shoulder rotation41.5135.0
2.2 kgShoulder abduction–adduction3.429.6
Shoulder flexion–extension3.015.8
4.2 kgShoulder abduction–adduction19.365.2
Shoulder flexion–extension8.131.8
Healthy subjectShoulder abduction–adduction8.534.4
Shoulder flexion–extension1.314.8
Table 9. Technological maturity of ERMIS.
Table 9. Technological maturity of ERMIS.
ComponentCurrent Parameters (TRL 3)Parameters to Reach a TRL 5
AxisSwivel adjustment with playSliding with lubrication
BushingFree adjustment (backlash)Sliding with lubrication
LinksExcess in dimensionsDimension reconfiguration
JointsAngle variation range greater than 15 mmThe optimum range is between 5 and 15 mm
ActuatorsTime-speed decouplingTime-velocity coupling by motion
ScrewsExcess dimensionsAdequate selection
ControlTime lagAdjustment in movement time
Table 10. Characteristics of the ERMIS exoskeleton.
Table 10. Characteristics of the ERMIS exoskeleton.
CharacteristicParameter
Degrees of freedom7
Weight14 kg
MaterialsAluminum and steel
Movement coordinationPLC—combination of 7 actuated DOF
Actuating systemElectrical
MovilizationPassive-continnum
Rehabilitation kindFour operating modes: exercises per joint, exercises with an apparent load, activation of muscle memory by trajectory tracking, and the emulation of shoulder wheel or rudder
InteractionHuman Interface Machine
MotorsLineal actuators
Publisher’s Note: MDPI stays neutral with regard to jurisdictional claims in published maps and institutional affiliations.

Share and Cite

MDPI and ACS Style

Medina-Valdes, J.L.; Zúñiga-Avilés, L.A.; Cruz-Martínez, G.M.; Vilchis-González, A.H.; Silva-Rivera, U.S. Study to Increase the TRL of Exoskeleton ERMIS Based on a Methodology to the Identification of Real Performance Parameters. Appl. Sci. 2021, 11, 9245. https://doi.org/10.3390/app11199245

AMA Style

Medina-Valdes JL, Zúñiga-Avilés LA, Cruz-Martínez GM, Vilchis-González AH, Silva-Rivera US. Study to Increase the TRL of Exoskeleton ERMIS Based on a Methodology to the Identification of Real Performance Parameters. Applied Sciences. 2021; 11(19):9245. https://doi.org/10.3390/app11199245

Chicago/Turabian Style

Medina-Valdes, José Luis, Luis Adrián Zúñiga-Avilés, Giorgio Mackenzie Cruz-Martínez, Adriana Herlinda Vilchis-González, and Usiel Sandino Silva-Rivera. 2021. "Study to Increase the TRL of Exoskeleton ERMIS Based on a Methodology to the Identification of Real Performance Parameters" Applied Sciences 11, no. 19: 9245. https://doi.org/10.3390/app11199245

APA Style

Medina-Valdes, J. L., Zúñiga-Avilés, L. A., Cruz-Martínez, G. M., Vilchis-González, A. H., & Silva-Rivera, U. S. (2021). Study to Increase the TRL of Exoskeleton ERMIS Based on a Methodology to the Identification of Real Performance Parameters. Applied Sciences, 11(19), 9245. https://doi.org/10.3390/app11199245

Note that from the first issue of 2016, this journal uses article numbers instead of page numbers. See further details here.

Article Metrics

Back to TopTop