A Novel Dual-Wavelength Method for Evaluating Temperature Effect in Fiber-Optic SPR Sensors
Abstract
:1. Introduction
2. Material and Methods
2.1. The Model of Fiber-Optic SPR Sensor
2.2. Temperature Effect on Metal Layer
- 1.
- 2.
- can be presented by the Lawrence model using the Born approximation and Thomas–Fermi screening of the Coulomb interaction [29] as:where , , ℏ, , and are the Fermi surface average of scattering probability, fractional Umklapp scattering, Planck’s constant, Fermi energy, and Boltzmann constant, respectively.
2.3. Temperature Dependence of the Optical Fiber for Wave-Interrogation Mode
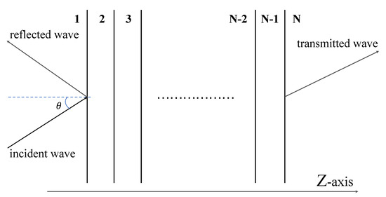
2.4. Multi-Layer Matrix Method
2.5. Transmitted Power for SPR-Based Fiber-Optical Sensor
3. The Principle of Dual-Wavelength Method and Theoretical Calculation of Fiber-Optic SPR Sensor
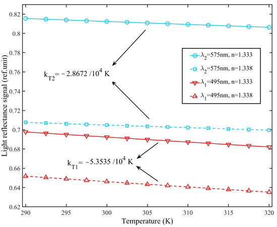
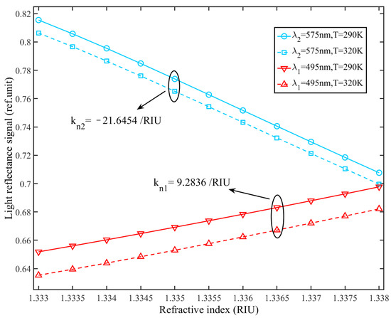
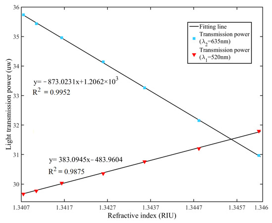
4. Experimental Results and Discussion
5. Conclusions
Author Contributions
Funding
Institutional Review Board Statement
Informed Consent Statement
Data Availability Statement
Conflicts of Interest
References
- Chen, A.; Yu, Z.; Dai, B.; Li, Y. Highly Sensitive Detection of Refractive Index and Temperature Based on Liquid-Filled D-Shape PCF. IEEE Photonics Technol. Lett. 2021, 33, 529–532. [Google Scholar] [CrossRef]
- Yang, X.; Lu, Y.; Liu, B.; Yao, J. Simultaneous measurement of refractive index and temperature based on SPR in D-shaped MOF. Appl. Opt. 2017, 56, 4369–4374. [Google Scholar] [CrossRef]
- Nasirifar, R.; Danaie, M.; Dideban, A. Hollow-core graded index optical fiber refractive index sensor based on surface plasmon resonance. Opt. Quantum Electron. 2020, 52, 1–23. [Google Scholar] [CrossRef]
- Chen, Z.; Han, K.; Zhang, Y.N. Reflective fiber surface plasmon resonance sensor for high-sensitive mercury ion detection. Appl. Sci. 2019, 9, 1480. [Google Scholar] [CrossRef] [Green Version]
- Zhang, S.; Guo, Y.; Cheng, T.; Li, S.; Li, J. Surface plasmon resonance sensor based on a D-shaped photonic crystal fiber for high and low refractive index detection. Optik 2020, 212, 164697. [Google Scholar] [CrossRef]
- Rifat, A.A.; Mahdiraji, G.A.; Sua, Y.M.; Ahmed, R.; Shee, Y.; Adikan, F.M. Highly sensitive multi-core flat fiber surface plasmon resonance refractive index sensor. Opt. Express 2016, 24, 2485–2495. [Google Scholar] [CrossRef]
- Çimen, D.; Bereli, N.; Denizli, A. Surface Plasmon Resonance Based on Molecularly Imprinted Polymeric Film for l-Phenylalanine Detection. Biosensors 2021, 11, 21. [Google Scholar] [CrossRef] [PubMed]
- Li, L.; Liang, Y.; Guang, J.; Cui, W.; Zhang, X.; Masson, J.F.; Peng, W. Dual Kretschmann and Otto configuration fiber surface plasmon resonance biosensor. Opt. Express 2017, 25, 26950–26957. [Google Scholar] [CrossRef]
- Hwang, R.B. A theoretical design of evanescent wave biosensors based on gate-controlled graphene surface plasmon resonance. Sci. Rep. 2021, 11, 1–10. [Google Scholar]
- Xiao, G.; Ou, Z.; Yang, H.; Xu, Y.; Chen, J.; Li, H.; Li, Q.; Zeng, L.; Den, Y.; Li, J. An Integrated Detection Based on a Multi-Parameter Plasmonic Optical Fiber Sensor. Sensors 2021, 21, 803. [Google Scholar] [CrossRef] [PubMed]
- del Carmen Alonso-Murias, M.; Velázquez-González, J.S.; Monzón-Hernández, D. SPR fiber tip sensor for the simultaneous measurement of refractive index, temperature, and level of a liquid. J. Light. Technol. 2019, 37, 4808–4814. [Google Scholar] [CrossRef]
- Sharma, A.K.; Gupta, B.D. Influence of temperature on the sensitivity and signal-to-noise ratio of a fiber-optic surface-plasmon resonance sensor. Appl. Opt. 2006, 45, 151–161. [Google Scholar] [CrossRef]
- Zhao, Y.; Deng, Z.Q.; Hu, H.F. Fiber-optic SPR sensor for temperature measurement. IEEE Trans. Instrum. Meas. 2015, 64, 3099–3104. [Google Scholar] [CrossRef]
- Hu, T.; Zhao, Y.; Song, A.N. Fiber optic SPR sensor for refractive index and temperature measurement based on MMF-FBG-MMF structure. Sens. Actuators B Chem. 2016, 237, 521–525. [Google Scholar] [CrossRef]
- Weng, S.; Pei, L.; Liu, C.; Wang, J.; Li, J.; Ning, T. Double-side polished fiber SPR sensor for simultaneous temperature and refractive index measurement. IEEE Photonics Technol. Lett. 2016, 28, 1916–1919. [Google Scholar] [CrossRef]
- Xiao, F.; Michel, D.; Li, G.; Xu, A.; Alameh, K. Simultaneous measurement of refractive index and temperature based on surface plasmon resonance sensors. J. Light. Technol. 2014, 32, 3567–3571. [Google Scholar] [CrossRef]
- Luo, W.; Wang, R.; Li, H.; Kou, J.; Zeng, X.; Huang, H.; Hu, X.; Huang, W. Simultaneous measurement of refractive index and temperature for prism-based surface plasmon resonance sensors. Opt. Express 2019, 27, 576–589. [Google Scholar] [CrossRef]
- Bahrami, F.; Aitchison, J.S.; Mojahedi, M. Dual-wavelength spectroscopy of a metallic-grating-coupled surface plasmon resonance biosensor. IEEE Photonics J. 2015, 7, 1–7. [Google Scholar] [CrossRef]
- Nizamov, S.; Mirsky, V.M. Self-referencing SPR-biosensors based on penetration difference of evanescent waves. Biosens. Bioelectron. 2011, 28, 263–269. [Google Scholar] [CrossRef] [PubMed]
- Chen, Y.; Wang, Y.; Chen, R.; Yang, W.; Liu, H.; Liu, T.; Han, Q. A hybrid multimode interference structure-based refractive index and temperature fiber sensor. IEEE Sens. J. 2015, 16, 331–335. [Google Scholar] [CrossRef]
- Velázquez-González, J.S.; Monzón-Hernández, D.; Moreno-Hernández, D.; Martínez-Piñón, F.; Hernández-Romano, I. Simultaneous measurement of refractive index and temperature using a SPR-based fiber optic sensor. Sens. Actuators B Chem. 2017, 242, 912–920. [Google Scholar] [CrossRef]
- Yang, X.; Wang, Z.; Liu, Y.; Yao, J. SPR sensor based on exposed core micro-structured optical fiber for salinity detection with temperature self-compensation. Opt. Mater. Express 2021, 11, 2468–2477. [Google Scholar] [CrossRef]
- Zhang, P.; Lu, B.; Sun, Y.; Yu, H.; Xu, K.; Li, D. Side-polished flexible SPR sensor modified by graphene with in situ temperature self-compensation. Biomed. Opt. Express 2019, 10, 215–225. [Google Scholar] [CrossRef] [PubMed]
- Wang, Q.; Jing, J.Y.; Wang, X.Z.; Niu, L.Y.; Zhao, W.M. A D-shaped fiber long-range surface plasmon resonance sensor with high Q-factor and temperature self-compensation. IEEE Trans. Instrum. Meas. 2019, 69, 2218–2224. [Google Scholar] [CrossRef]
- Chiang, H.P.; Wang, Y.C.; Leung, P. Effect of temperature on the incident angle-dependence of the sensitivity for surface plasmon resonance spectroscopy. Thin Solid Film. 2003, 425, 135–138. [Google Scholar] [CrossRef]
- Chiang, H.P.; Leung, P.; Tse, W. The surface plasmon enhancement effect on adsorbed molecules at elevated temperatures. J. Chem. Phys. 1998, 108, 2659–2660. [Google Scholar] [CrossRef]
- Holstein, T. Optical and infrared volume absorptivity of metals. Phys. Rev. 1954, 96, 535. [Google Scholar] [CrossRef]
- Beach, R.; Christy, R. Electron-electron scattering in the intraband optical conductivity of Cu, Ag, and Au. Phys. Rev. B 1977, 16, 5277. [Google Scholar] [CrossRef]
- Lawrence, W. Electron-electron scattering in the low-temperature resistivity of the noble metals. Phys. Rev. B 1976, 13, 5316. [Google Scholar] [CrossRef]
- Herminghaus, S.; Leiderer, P. Surface plasmon enhanced transient thermoreflectance. Appl. Phys. A 1990, 51, 350–353. [Google Scholar] [CrossRef] [Green Version]
- Kai-Qun, L.; Lai-Ming, W.; Dou-Guo, Z.; Rong-Sheng, Z.; Pei, W.; Yong-Hua, L.; Hai, M. Temperature effects on prism-based surface plasmon resonance sensor. Chin. Phys. Lett. 2007, 24, 3081. [Google Scholar] [CrossRef]
- Dhibi, A.; Hakami, J.; Abassi, A. Performance analysis of surface plasmon resonance sensors using bimetallic alloy-perovskite-bimetallic alloy and perovskite-bimetallic alloy-perovskite nanostructures. Phys. Scr. 2021, 96, 065505. [Google Scholar] [CrossRef]
- Gupta, B.; Sharma, A.K. Sensitivity evaluation of a multi-layered surface plasmon resonance-based fiber optic sensor: A theoretical study. Sens. Actuators B Chem. 2005, 107, 40–46. [Google Scholar] [CrossRef]
- Paliwal, N.; John, J. Lossy Mode Resonance Based Fiber Optic Sensors. In Fiber Optic Sensors; Springer: Berlin/Heidelberg, Germany, 2017; pp. 31–50. [Google Scholar]
- Sharma, A.K.; Gupta, B. Absorption-based fiber optic surface plasmon resonance sensor: A theoretical evaluation. Sens. Actuators B Chem. 2004, 100, 423–431. [Google Scholar] [CrossRef]
- Yuan, Y.; Ding, L.; Guo, Z. Numerical investigation for SPR-based optical fiber sensor. Sens. Actuators B Chem. 2011, 157, 240–245. [Google Scholar] [CrossRef]
- Hernández, D.M.; Velazquez-Gonzalez, J.; Luna-Moreno, D.; Torres-Cisneros, M.; Hernández-Romano, I. Prism-based surface plasmon resonance for dual-parameter sensing. IEEE Sens. J. 2018, 18, 4030–4037. [Google Scholar] [CrossRef]
- Rupert, D.L.; Zhdanov, V.P.; Shelke, G.V.; Emilsson, G.; Claudio, V.; Block, S.; Lässer, C.; Dahlin, A.; Lötvall, J.O.; Bally, M.; et al. Dual-wavelength surface plasmon resonance for determining the size and concentration of sub-populations of extracellular vesicles. Anal. Chem. 2016, 88, 9980–9988. [Google Scholar] [CrossRef] [PubMed]
- Zhang, X.; Wang, K. Double-incident angle technique for surface plasmon resonance measurements. Opt. Commun. 2015, 351, 140–143. [Google Scholar] [CrossRef]
- Luo, W.; Chen, S.; Chen, L.; Li, H.; Miao, P.; Gao, H.; Hu, Z.; Li, M. Dual-angle technique for simultaneous measurement of refractive index and temperature based on a surface plasmon resonance sensor. Opt. Express 2017, 25, 12733–12742. [Google Scholar] [CrossRef] [PubMed]
- Li, J.; Qu, H.; Li, Z.; Nallappan, K.; Liu, D.; Wang, J. A review: Development of fiber-optic platforms for refractive index sensing applications. Sens. Actuators Rep. 2020, 2, 100018. [Google Scholar] [CrossRef]










Publisher’s Note: MDPI stays neutral with regard to jurisdictional claims in published maps and institutional affiliations. |
© 2021 by the authors. Licensee MDPI, Basel, Switzerland. This article is an open access article distributed under the terms and conditions of the Creative Commons Attribution (CC BY) license (https://creativecommons.org/licenses/by/4.0/).
Share and Cite
Su, N.; Luo, W.; Wang, L.; Zhang, Z.; Wang, R. A Novel Dual-Wavelength Method for Evaluating Temperature Effect in Fiber-Optic SPR Sensors. Appl. Sci. 2021, 11, 9011. https://doi.org/10.3390/app11199011
Su N, Luo W, Wang L, Zhang Z, Wang R. A Novel Dual-Wavelength Method for Evaluating Temperature Effect in Fiber-Optic SPR Sensors. Applied Sciences. 2021; 11(19):9011. https://doi.org/10.3390/app11199011
Chicago/Turabian StyleSu, Ning, Wei Luo, Liusan Wang, Zhengyong Zhang, and Rujing Wang. 2021. "A Novel Dual-Wavelength Method for Evaluating Temperature Effect in Fiber-Optic SPR Sensors" Applied Sciences 11, no. 19: 9011. https://doi.org/10.3390/app11199011
APA StyleSu, N., Luo, W., Wang, L., Zhang, Z., & Wang, R. (2021). A Novel Dual-Wavelength Method for Evaluating Temperature Effect in Fiber-Optic SPR Sensors. Applied Sciences, 11(19), 9011. https://doi.org/10.3390/app11199011
