Temperature Compensated Wide-Range Micro Pressure Sensor with Polyimide Anticorrosive Coating for Harsh Environment Applications
Abstract
1. Introduction
2. Design and Fabrication
2.1. Design and Fabrication of the Micro Sensor
2.2. Fabrication of Polyimide(PI) Protection Layer
3. Results and Discussions
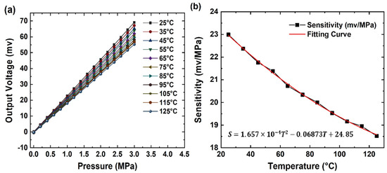
3.1. Output Characteristics under High Temperature
3.2. Output Characteristics under High Pressure
3.3. Output Characteristics under PI Protection
3.4. Temperature Compensation System
4. Conclusions
Author Contributions
Funding
Data Availability Statement
Acknowledgments
Conflicts of Interest
References
- Fiorillo, A.S.; Critello, C.D.; Pullano, A.S. Theory, technology and applications of piezoresistive sensors: A review. Sens. Actuators A Phys. 2018, 281, 156–175. [Google Scholar] [CrossRef]
- Barlian, A.A.; Park, W.-T.; Mallon, J.R.; Rastegar, A.J.; Pruitt, B.L. Semiconductor piezoresistance for microsystems. Proc. IEEE 2009, 97, 513–552. [Google Scholar] [CrossRef] [PubMed]
- Balavalad, K.B.; Sheeparamatti, B.G. Design, simulation & analysis of SOI based micro piezoresistive pressure sensor for high temperature applications. In Proceedings of the 2018 3rd IEEE International Conference on Recent Trends in Electronics, Information & Communication Technology (RTEICT), Bangalore, India, 18–19 May 2018; IEEE: Bangalore, India, 2018; pp. 2163–2167. [Google Scholar] [CrossRef]
- Tian, B.; Zhao, Y.; Jiang, Z.; Zhang, L.; Liao, N.; Liu, Y.; Meng, C. Fabrication and structural design of micro pressure sensors for tire pressure measurement systems (TPMS). Sensors 2009, 9, 1382. [Google Scholar] [CrossRef]
- Fragiacomo, G.; Reck, K.; Lorenzen, L.; Thomsen, E.V. Novel designs for application specific MEMS pressure sensors. Sensors 2010, 10, 9541. [Google Scholar] [CrossRef]
- Mitrakos, V.; Hands, P.J.W.; Cummins, G.; Macintyre, L.; Denison, F.C.; Flynn, D.; Desmulliez, M.P.Y. Nanocomposite-based microstructured piezoresistive pressure sensors for low-pressure measurement range. Micromachines 2018, 9, 43. [Google Scholar] [CrossRef] [PubMed]
- Jiang, H.; Yufei, Z.; Runhui, Z.; Lirong, M.; Tao, C.; Wenjie, M.; Caofeng, P. Recent advances of wearable and flexible piezoresistivity pressure sensor devices and its future prospects. J. Mater. 2020, 6, 86–101. [Google Scholar] [CrossRef]
- Yi, Z.; Yang, B.; Zhang, W.; Wu, Y.; Liu, J. Batteryless tire pressure real-time monitoring system driven by an ultralow frequency piezoelectric rotational energy harvester. IEEE Trans. Ind. Electron. 2021, 68, 3192–3201. [Google Scholar] [CrossRef]
- Clementine, M.B.; Yukitoshi, K.; Bob, C.S.; Alex, C.; Anaïs, L.; Zhen, W.; James, C.; Paige, F.; Zhenan, B. A stretchable and biodegradable strain and pressure sensor for orthopaedic application. Nat. Electron. 2018, 1, 314–321. [Google Scholar] [CrossRef]
- Liu, X.; Wei, Y.; Qiu, Y. Advanced flexible skin-like pressure and strain sensors for human health monitoring. Micromachines 2021, 12, 695. [Google Scholar] [CrossRef]
- Tan, Y.; Ivanov, K.; Mei, Z.; Li, H.; Li, H.; Lubich, L.; Wang, C.; Wang, L. A soft wearable and fully-textile piezoresistive sensor for plantar pressure capturing. Micromachines 2021, 12, 110. [Google Scholar] [CrossRef]
- Jian, D.; Zhijian, L.; Heng, J.; Li, S. Monolithic-integrated piezoresistive MEMS accelerometer pressure sensor with glass-silicon-glass sandwich structure. Microsyst. Technol. 2017, 23, 1563–1574. [Google Scholar] [CrossRef][Green Version]
- Nag, M.; Singh, J.; Kumar, A.; Singh, K. A high sensitive graphene piezoresistive MEMS pressure sensor by integration of rod beams in silicon diaphragm for low pressure measurement application. Microsyst. Technol. 2020, 26, 2971–2976. [Google Scholar] [CrossRef]
- Sheeparamatti, B.G.; Balavalad, K.B. Fabrication and characterization of polysilicon-on-insulator (PolySOI) and a-SOI based micro piezoresistive pressure sensor for harsh environment applications. Microsyst. Technol. 2019, 25, 4119–4133. [Google Scholar] [CrossRef]
- Alcheikh, N.; Coutier, C.; Giroud, S.; Poulain, C.; Rey, P. Characterization and modeling of a piezoresistive three-axial force micro sensor. Sens. Actuators A Phys. 2013, 201, 188–192. [Google Scholar] [CrossRef]
- Yozo, K.; Akio, Y. Optimum design considerations for silicon piezoresistive pressure sensors. Sens. Actuators A Phys. 1997, 62, 539–542. [Google Scholar] [CrossRef]
- Song, P.; Si, C.; Zhang, M.; Zhao, Y.; He, Y.; Liu, W.; Wang, X. A novel piezoresistive MEMS Pressure sensors based on temporary bonding technology. Sensors 2020, 20, 337. [Google Scholar] [CrossRef] [PubMed]
- Jinjin, L.; Qing, W.; Xu, Z.; Yao, L. Flexible strain sensor with good durability and anti-corrosion property based on metal/polymer composite films embedded with silver nanowires. Arch. Civ. Mech. Eng. 2020, 20, 133. [Google Scholar] [CrossRef]
- Won, J.; Choa, S.H.; Yulong, Z. An integrated sensor for pressure, temperature, and relative humidity based on MEMS technology. J. Mech. Sci. Technol. 2006, 20, 505–512. [Google Scholar] [CrossRef]
- Aryafar, M.; Hamedi, M.; Ganjeh, M.M. A novel temperature compensated piezoresistive pressure sensor. Measurement 2015, 63, 25–29. [Google Scholar] [CrossRef]
- Peng, K.H.; Uang, C.M.; Chang, Y.M. The temperature compensation of the silicon piezo-resistive pressure sensor using the half-bridge technique. Int. Soc. Opt. Eng. 2003, 5343, 292–301. [Google Scholar] [CrossRef]
- Yang, C.; Li, C.; Zhang, C. The application of RBF neural network in the compensation for temperature drift of the silicon pressure sensor. In Proceedings of the 2010 International Conference on Computer Design and Applications, Qinhuangdao, China, 25–27 June 2010; IEEE: Qinhuangdao, China, 2010. [Google Scholar] [CrossRef]
- Zhou, G.; Zhao, Y.; Guo, F.; Xu, W. A smart high accuracy silicon piezoresistive pressure sensor temperature compensation system. Sensors 2014, 14, 12174–12190. [Google Scholar] [CrossRef] [PubMed]
- Kumar, S.S.; Pant, B.D. Design principles and considerations for the ‘ideal’ silicon piezoresistive pressure sensor: A focused review. Microsyst. Technol. 2014, 20, 2303. [Google Scholar] [CrossRef]
- Byunghoon, B.; Bruce, R.F.; Kyihwan, P.; Mark, A.S. Design optimization of a piezoresistive pressure sensor considering the output signal-to-noise ratio. J. Micromech. Microeng. 2004, 14, 1597–1607. [Google Scholar] [CrossRef]
- Nallathambi, A.; Shanmuganantham, T.; Sindhanaiselvi, D. Design and analysis of MEMS based Piezoresistive pressure sensor for sensitivity enhancement. Mater. Today Proc. 2018, 5, 1897–1903. [Google Scholar] [CrossRef]
- Song, P.; Ma, Z.; Ma, J.; Yang, L.; Wei, J.; Zhao, Y.; Zhang, M.; Yang, F.; Wang, X. Recent progress of miniature MEMS pressure sensors. Micromachines 2020, 11, 56. [Google Scholar] [CrossRef] [PubMed]
- Sujit, E.S.; Kusuma, N.; Hemalatha, B. Polysilicon piezoresistive MEMS pressure sensor: Study of analytical solutions for diaphragm and design & simulation. In 2017 International Conference on Communication and Signal Processing (ICCSP); IEEE: Chennai, India, 2017; pp. 1606–1610. [Google Scholar] [CrossRef]
- Haisheng, S.; Hong, Z.; Qiang, Z.; Yuxi, Y.; Xuyuan, C. Silicon–glass-based single piezoresistive pressure sensors for harsh environment applications. J. Micromech. Microeng. 2013, 23, 075020. [Google Scholar] [CrossRef]
- Li, C.; Cordovilla, F.; Jagdheesh, R.; Ocaña, J.L. Design optimization and fabrication of a novel structural SOI piezoresistive pressure sensor with high accuracy. Sensors 2018, 18, 439. [Google Scholar] [CrossRef]
- Asadnia, M.; Kottapalli, A.G.P.; Shen, Z.; Miao, J.M.; Barbastathis, G.; Triantafyllou, M.S. Flexible, zero powered, piezoelectric MEMS pressure sensor arrays for fish-like passive underwater sensing in marine vehicles. In 2013 IEEE 26th International Conference on Micro Electro Mechanical Systems (MEMS); IEEE: Taipei, Taiwan, 2013; pp. 126–129. [Google Scholar] [CrossRef]
- Wei, C.; Zhou, W.; Wang, Q.; Xia, X.; Li, X. TPMS (tire-pressure monitoring system) sensors: Monolithic integration of surface-micromachined piezoresistive pressure sensor and self-testable accelerometer. Microelectron. Eng. 2012, 91, 167–173. [Google Scholar] [CrossRef]
Parameters | Units | Tested Devices | |||
---|---|---|---|---|---|
Operation Temperature | °C | 25 | 125 | 25 | 25 |
Thickness of Diaphragm | µm | 50 | 50 | 40 | 50 |
Excitation Voltage | V | 3.3 | 3.3 | 3.3 | 3.3 |
Pressure Range | MPa | 0–3 | 0–3 | 0–5 | 0–5 |
Full-Scale Output | mv | 69.28 | 55.23 | 167.87 | 117.1 |
Sensitivity | mv/MPa | 22.99 | 18.52 | 33.04 | 23.55 |
Nonlinearity | F.S.% | 0.25 | 0.31 | 0.48 | 0.41 |
Parameters | Units | Fabricated Devices | MSD700-ASO 1 | [14] | [31] | |
---|---|---|---|---|---|---|
Thickness of Diaphragm | µm | 50 | 40 | -- | 40 | 1.2 |
Chip Size | mm | 1.5 × 1.5 × 0.82 | 0.95 × 0.95 × 0.6 | 1.5 × 1.5 | 1.6 × 1.6 × 0.9 | |
Excitation Voltage | V | 3.3 | 3.3 | 5 | 10 | 3 |
Pressure Range | MPa | 0–5 | 0–5 | 0–0.7 | 0–1 | 0–0.55 |
Full-Scale Output | mv | 117.1 | 167.87 | 100 | 105 | 45.99 |
Sensitivity | mv/V/MPa | 7.85 | 10.01 | 28.57 | 10.5 | 27.87 |
Nonlinearity | F.S.% | 0.41 | 0.48 | 0.3 | -- | 0.34 |
Test Devices | Number | 0 min | 30 min | 60 min | 90 min | 120 min |
---|---|---|---|---|---|---|
Devices without polyimide protective layer | 1 | normal | open circuit | -- | -- | -- |
2 | normal | open circuit | -- | -- | -- | |
Devices with polyimide protective layer | 3 | normal | normal | normal | normal | normal |
4 | normal | normal | normal | normal | normal |
Test Cycle | Protective Layer | Pressure | 1 | 2 | 3 |
---|---|---|---|---|---|
Cycle 1 | Silicone rubber | 3 MPa | Pass | Pass | Pass |
4 MPa | Pass | Pass | Abnormal | ||
Polyimide coat | 3 MPa | Pass | Pass | Pass | |
4 MPa | Pass | Pass | Pass | ||
5 MPa | Pass | Pass | Pass | ||
Cycle 2 | Silicone rubber | 3 MPa | Pass | Pass | Pass |
4 MPa | Abnormal | -- | -- | ||
Polyimide coat | 3 MPa | Pass | Pass | Pass | |
4 MPa | Pass | Pass | Pass | ||
5 MPa | Pass | Pass | Pass |
Publisher’s Note: MDPI stays neutral with regard to jurisdictional claims in published maps and institutional affiliations. |
© 2021 by the authors. Licensee MDPI, Basel, Switzerland. This article is an open access article distributed under the terms and conditions of the Creative Commons Attribution (CC BY) license (https://creativecommons.org/licenses/by/4.0/).
Share and Cite
Jiao, M.; Wang, M.; Fan, Y.; Guo, B.; Ji, B.; Cheng, Y.; Wang, G. Temperature Compensated Wide-Range Micro Pressure Sensor with Polyimide Anticorrosive Coating for Harsh Environment Applications. Appl. Sci. 2021, 11, 9012. https://doi.org/10.3390/app11199012
Jiao M, Wang M, Fan Y, Guo B, Ji B, Cheng Y, Wang G. Temperature Compensated Wide-Range Micro Pressure Sensor with Polyimide Anticorrosive Coating for Harsh Environment Applications. Applied Sciences. 2021; 11(19):9012. https://doi.org/10.3390/app11199012
Chicago/Turabian StyleJiao, Mengru, Minghao Wang, Ye Fan, Bangbang Guo, Bowen Ji, Yuhua Cheng, and Gaofeng Wang. 2021. "Temperature Compensated Wide-Range Micro Pressure Sensor with Polyimide Anticorrosive Coating for Harsh Environment Applications" Applied Sciences 11, no. 19: 9012. https://doi.org/10.3390/app11199012
APA StyleJiao, M., Wang, M., Fan, Y., Guo, B., Ji, B., Cheng, Y., & Wang, G. (2021). Temperature Compensated Wide-Range Micro Pressure Sensor with Polyimide Anticorrosive Coating for Harsh Environment Applications. Applied Sciences, 11(19), 9012. https://doi.org/10.3390/app11199012