A Numerical Simulation of Blasting Stress Wave Propagation in a Jointed Rock Mass under Initial Stresses
Abstract
:1. Introduction
2. A Brief Introduction of the Model Test
- (1)
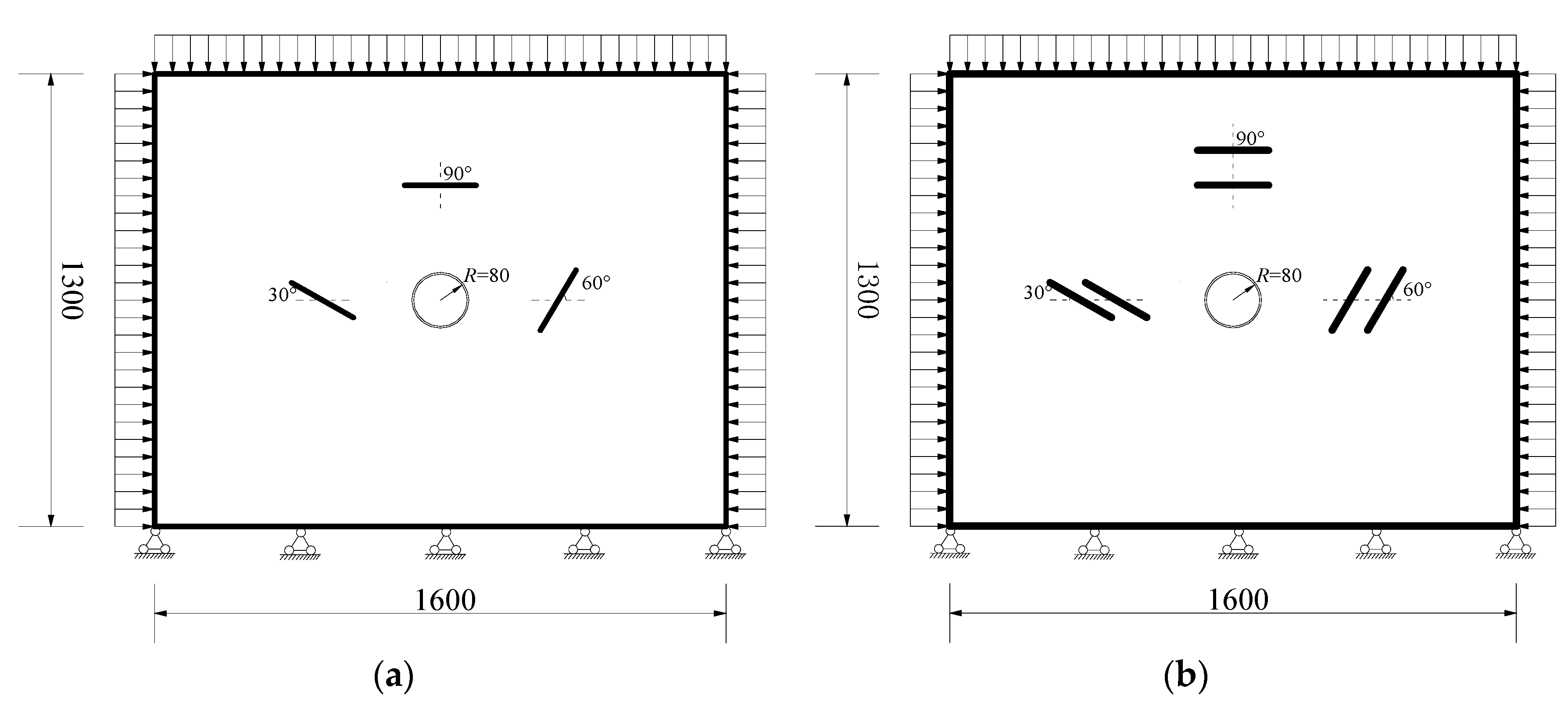
- For the instrument providing the biaxial static loads in the model test, the corresponding size of the specimen was 1.6 m (length) × 1.3 m (height) × 0.4 m (thickness), as shown in Figure 1.
- (2)
- The prototype of the model test was the deep-buried underground engineering surrounding rock, and the physical and mechanical parameters of the prototype are shown in Table 1. The corresponding intact rock simulation material was low strength cement mortar containing cement, sand, water, and a plasticizer. Meanwhile, the stress similarity coefficient Cσ between the prototype and simulation material was 20. Through a series of tests, the mechanical parameters of the cement mortar material were obtained and are shown in Table 1. In addition, the joints in the model test samples were simulated by the mica plates, and their normal and tangential stiffnesses were 12 GPa/m and 7.53 GPa/m, respectively, and were obtained through laboratory tests.
- (3)
- According to the number and the angle of the joints, a total of three model test samples were made, named T1, T2, and T3 respectively, as shown in Figure 2. Due to the structural characteristics of the cylindrical charge, two test sections were uniformly arranged along the thickness direction in each model test sample. Four measuring lines were arranged on each section to measure the stress and strain at different distances from the explosion source. Sixteen strain measuring points were arranged on the strain testing section, ranging from 1 to 16, and eight stress measuring points were arranged on the stress testing section, ranging from 17 to 24.
- (4)
- The T1 and T2 samples were designed to study the propagation of the blasting stress waves in intact rock, and the normal or oblique impact of the blasting stress wave on the rock mass containing joints with a different number and angle, and the corresponding research objects of the T1 and T2 test samples were intact rock and single-joint and double-joints rock masses of 30°, 60°, and 90°, respectively. Meanwhile, the T3 sample was designed to study the propagation of the blasting stress waves in intact rock and the normal jointed rock mass. According to the number of joints in the four measuring lines, the corresponding research objects were intact rock, 90° single-joint rock mass, 90° double-joints rock mass, and 90° three-joints rock mass.
- (5)
- In the model test, detonating cords with a total length of 1.6 m and TNT (Trinitrotoluene) with an equivalence of 17.6 g were used as the explosive sources to generate the blasting stress wave, and the detonating cords were fixed in the seamless steel pipe in the center of the test samples through the wooden centering stent. Subsequently, the quick-drying materials were poured into the pipes as the loading core in the samples, as shown in Figure 3. At the same time, seamless steel tubes were arranged to reduce the damage of the blasting loads, and repeated dynamic loading was realized by replacing the crushed quick-drying materials in the seamless steel tubes. In the model test, the vertical static load PV and horizontal static load PH applied on the model specimens were equal and were 0, 0.75 MPa, 1.5 MPa, and 3 MPa, respectively, and the corresponding initial in situ stresses were 0, 15 MPa, 30 MPa, and 60 MPa, respectively.
3. Establishment of the Mohr-Coulomb Elasto-Plastic Constitutive Model of the Rock Considering Initial Damage
4. Verification of the Established Rock Constitutive Model
4.1. Numerical Model and Calculation Procedure
- (1)
- The initial static loads were first applied on the numerical model, where the applied static loads in the horizontal and vertical directions were of equal magnitude. To compensate for the insufficient static load conditions in the model test and considering the biaxial compressive strength of the rock material of 7.826 MPa, the number of static load conditions was increased in the numerical simulation, and there were 11 different static load conditions, namely 0, 0.75 MPa, 1.5 MPa, 2.25 MPa, 3 MPa, 3.75 MPa, 4.5 MPa, 5.25 MPa, 6 MPa, 6.75 MPa, and 7.5 MPa.
- (2)
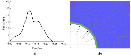
- After the static loads were applied, an equivalent blast load curve was applied to the inner wall of the seamless steel tubes in the numerical model. The equivalent blast load was determined as follows: In the T3 test sample, an additional stress sensor was arranged in the quick-drying material inside the seamless steel pipe, and the sensor was arranged close to the inner wall of the steel pipe to record the time history curve of the blasting load generated during the detonation of the detonating cords. The measured blasting load is shown in Figure 8a below. Figure 8a shows that the measured blast load curve was roughly triangular, with a peak value of 47.59 MPa, a duration of 0.24 ms, and a rise time of about 0.11 ms. After the measured blast load curve was derived, it was applied to the inner wall of the steel pipe as shown in Figure 8b below. The totally computational time of the T1, T2, and T3 numerical models was 327 s, 539 s, and 473 s, respectively.
4.2. Comparison of the Numerical and Model Test Results
5. Numerical Calculation of the Effect of the Angle and the Number of Joints on the Stress Wave Propagation
5.1. Effect of the Angle of Joints
5.2. Effect of the Number of Joints
6. Conclusions
- (1)
- The numerical and experimental results of the propagation law of stress waves in the jointed rock masses under different biaxial static loads were compared and analyzed from the perspectives of the waveform, amplitude, and the transmission coefficient of stress waves, which were relatively consistent, verifying the feasible of the adopted numerical calculation method.
- (2)
- The initial damage variation in the intact rock with the biaxial static load increased first and then decreased. When the biaxial static load was 1.23 MPa, which was about 15.7% of the biaxial compressive strength of the intact rock, the stress wave velocity reached its maximum value while the initial damage was the smallest, indicating that the internal microcracks in the intact rock were in a fully compacted state under this static load.
- (3)
- As the biaxial static loads increased, the measured and numerical transmission coefficients of the rock masses containing different angles and numbers of joints all showed a trend of first increasing and then decreasing, and the transmission coefficient was the largest when the static load was about 2.2 MPa, which was about 28.1% of the biaxial compressive strength of the intact rock.
- (4)
- The transmission coefficient increased and then decreased with the increase in the joint angle without the static load and was the largest when the joint angle was close to 30°. The transmission coefficient continuously increased with the increase in the joint angle when the static load was relatively small, such as 0.75 MPa and 1.5 MPa, i.e., less than 20% of the biaxial compressive strength of the intact rock. The transmission coefficient decreased and then increased with the increase in the joint angle when the static load was greater than 2.25 MPa (28.7% biaxial compressive strength of the intact rock) and was the smallest at the joint angle of about 40°.
- (5)
- Under the same static loading, the transmission coefficients of the jointed rock masses all showed a tendency to decrease with the increase in the number of joints, and the decreasing increment gradually became smaller. The larger the static load, the smaller the decrease in the transmission coefficients caused by the increase in the number of joints, indicating the effect of the number of joints on the transmission coefficients which decreased as the static load increased.
- (6)
- In the blasting excavation of the underground rock mass, the in situ stress and the spatial distribution of the joints significantly affected the propagation of the blasting stress wave. When the blasting stress wave vertically impacted the initial stressed rock mass, the transmission coefficient was the largest. Therefore, the connection line of blast holes should be perpendicular to the dominant joints in an underground rock mass to ensure the efficient transmission of explosive energy, so that the rock mass can be efficiently and adequately fragmented.
Author Contributions
Funding
Institutional Review Board Statement
Informed Consent Statement
Data Availability Statement
Acknowledgments
Conflicts of Interest
References
- Fan, L.F.; Sun, H.Y. Seismic wave propagation through an in-situ stressed rock mass. J. Appl. Geophys. 2015, 121, 13–20. [Google Scholar] [CrossRef]
- Yi, C.P.; Johansson, D.; Greberg, J. Effects of in-situ stresses on the fracturing of rock by blasting. Comput. Geotech. 2018, 104, 321–330. [Google Scholar] [CrossRef]
- Tao, J.; Yang, X.G.; Li, H.T.; Zhou, J.; Fan, G.; Lu, G. Effects of in-situ stresses on dynamic rock responses under blast loading. Mech. Mater. 2020, 145, 103374. [Google Scholar] [CrossRef]
- Bandis, S.C.; Lumsden, A.C.; Barton, N.R. Fundamentals of rock joint deformation. Int. J. Rock Mech. Min. Sci. Geomech. Abstr. 1983, 20, 249–268. [Google Scholar] [CrossRef]
- Babanouri, N.; Mansouri, H.; Nasab, S.K.; Bahaadini, M. A coupled method to study blast wave propagation in fractured rock masses and estimate unknown properties. Comput. Geotech. 2013, 49, 134–142. [Google Scholar] [CrossRef]
- Skrzypkowski, K.; Korzeniowski, W.; Zagórski, K.; Zagórska, A. Adjustment of the Yielding System of Mechanical Rock Bolts for Room and Pillar Mining Method in Stratified Rock Mass. Energies 2020, 13, 2082. [Google Scholar] [CrossRef] [Green Version]
- Schoenberg, M. Elastic wave behavior across linear slip interfaces. J. Acoust. Soc. Am. 1980, 68, 1516–1521. [Google Scholar] [CrossRef] [Green Version]
- Pyrak-Nolte, L.J.; Myer, L.R.; Cook, N.G.W. Transmission of seismic waves across single natural fractures. J. Geophys. Res. Solid Earth 1990, 95, 8617–8638. [Google Scholar] [CrossRef]
- Zhao, J.; Cai, J.G. Transmission of Elastic P-waves across Single Fractures with a Nonlinear Normal Deformational Behavior. Rock Mech. Rock Eng. 2001, 34, 3–22. [Google Scholar] [CrossRef]
- Zhao, J.; Cai, J.G.; Zhao, X.B.; Li, H.B. Dynamic Model of Fracture Normal Behaviour and Application to Prediction of Stress Wave Attenuation Across Fractures. Rock Mech. Rock Eng. 2008, 41, 671–693. [Google Scholar] [CrossRef]
- Perino, A.; Orta, R.; Barla, G. Wave Propagation in Discontinuous Media by the Scattering Matrix Method. Rock Mech. Rock Eng. 2012, 45, 901–918. [Google Scholar] [CrossRef]
- Li, J.C.; Li, H.B.; Ma, G.W.; Zhao, J. A time-domain recursive method to analyse transient wave propagation across rock joints. Geophys. J. Int. 2012, 188, 631–644. [Google Scholar] [CrossRef]
- Zhao, X.B.; Zhao, J.; Cai, J.G. P-wave transmission across fractures with nonlinear deformational behaviour. Int. J. Numer. Anal. Methods Geomech. 2006, 30, 1097–1112. [Google Scholar] [CrossRef]
- Li, J.C.; Ma, G.W. Analysis of Blast Wave Interaction with a Rock Joint. Rock Mech. Rock Eng. 2010, 43, 777–787. [Google Scholar] [CrossRef]
- Cai, J.G.; Zhao, J. Effects of multiple parallel fractures on apparent attenuation of stress waves in rock masses. Int. J. Rock Mech. Min. Sci. 2000, 37, 661–682. [Google Scholar] [CrossRef]
- Li, J.C. Wave propagation across non-linear rock joints based on time-domain recursive method. Geophys. J. Int. 2013, 193, 970–985. [Google Scholar] [CrossRef] [Green Version]
- Chai, S.B.; Li, J.C.; Zhang, Q.B. Stress Wave Propagation across a Rock Mass with Two Non-parallel Joints. Rock Mech. Rock Eng. 2016, 49, 4023–4032. [Google Scholar] [CrossRef]
- Ju, Y.; Sudak, L.; Xie, H.P. Study on stress wave propagation in fractured rocks with fractal joint surfaces. Int. J. Solids Struct. 2007, 44, 4256–4271. [Google Scholar] [CrossRef] [Green Version]
- Feng, J.J.; Wang, E.Y.; Chen, L.; Li, X.; Xu, Z.; Li, G. Experimental study of the stress effect on attenuation of normally incident P-wave through coal. J. Appl. Geophys. 2016, 132, 25–32. [Google Scholar] [CrossRef]
- Cundall, P.A. A computer model for simulating progressive large-scale movements in blocky rock systems. In Proceedings of the Symposium of the International Society for Rock Mechanics, Nancy, France, 4–6 October 1971; pp. 11–18. [Google Scholar]
- Zhu, J.B.; Deng, X.F.; Zhao, X.B.; Zhao, J. A Numerical Study on Wave Transmission Across Multiple Intersecting Joint Sets in Rock Masses with UDEC. Rock Mech. Rock Eng. 2013, 46, 1429–1442. [Google Scholar] [CrossRef]
- Li, H.B.; Liu, T.T.; Liu, Y.Q.; Li, J.; Xia, X.; Liu, B. Numerical Modeling of Wave Transmission across Rock Masses with Nonlinear Joints. Rock Mech. Rock Eng. 2015, 49, 1115–1121. [Google Scholar] [CrossRef]
- Zheng, Y.; Chen, C.X.; Liu, T.T.; Zhang, W. Numerical Study of P-Waves Propagating across Deep Rock Masses Based on the Hoek-Brown Model. Int. J. Geomech. 2020, 20, 04019152. [Google Scholar] [CrossRef]
- Sun, L.; Zhao, G.F.; Zhao, J. Particle manifold method (PMM): A new continuum-discontinuum numerical model for geomechanics. Int. J. Numer. Anal. Methods Geomech. 2012, 37, 1711–1736. [Google Scholar] [CrossRef]
- Zhao, J.; Sun, L.; Zhu, J.B. Modelling P-wave transmission across rock fractures by particle manifold method (PMM). Geomech. Geoengin. Int. J. 2012, 7, 175–181. [Google Scholar] [CrossRef]
- Fan, L.F.; Yi, X.W.; Ma, G.W. Numerical manifold method (NMM) simulation of stress wave propagation through fractured rock mass. Int. J. Appl. Mech. 2013, 5, 1350022. [Google Scholar] [CrossRef]
- Zhou, X.; Fan, L.; Wu, Z. Effects of Microfracture on Wave Propagation through Rock Mass. Int. J. Geomech. 2017, 17, 04017072. [Google Scholar] [CrossRef]
- Huang, X.; Qi, S.; Williams, A.; Zhou, Y.; Zheng, B. Numerical simulation of stress wave propagating through filled joints by particle model. Int. J. Solids Struct. 2015, 69–70, 23–33. [Google Scholar] [CrossRef]
- Zhou, H.; He, C. Propagation law of stress wave and cracks in non-penetrating jointed rock mass: A numerical study based on particle flow code. Geotech. Geol. Eng. 2020, 38, 3967–3981. [Google Scholar] [CrossRef]
- Babanouri, N.; Fattahi, H. Evaluating orthotropic continuum analysis of stress wave propagation through a jointed rock mass. Bull. Eng. Geol. Environ. 2018, 77, 725–733. [Google Scholar] [CrossRef]
- Heidari, M.; Khanlari, G.R.; Torabi-Kaveh, M. Effect of Porosity on Rock Brittleness. Rock Mech. Rock Eng. 2014, 47, 785–790. [Google Scholar] [CrossRef]
- Patrick, B.; Wong, T.F.; Zhu, W. Effects of porosity and crack density on the compressive strength of rocks. Int. J. Rock Mech. Min. Sci. 2014, 67, 202–211. [Google Scholar]
- Jin, J.F.; Yuan, W.; Wu, Y.; Guo, Z. Effects of axial static stress on stress wave propagation in rock considering porosity compaction and damage evolution. J. Cent. South Univ. 2020, 27, 592–607. [Google Scholar] [CrossRef]
- Martin, C.D.; Chandler, N.A. The progressive fracture of Lac du Bonnet granite. Int. J. Rock Mech. Min. Sci. Geomech. Abstr. 1994, 31, 643–659. [Google Scholar] [CrossRef]
- Cai, M.; Kaiser, P.K.; Tasaka, Y.; Maejima, T.; Morioka, H.; Minami, M. Generalized crack initiation and crack damage stress thresholds of brittle rock masses near underground excavations. Int. J. Rock Mech. Min. Sci. 2004, 41, 833–847. [Google Scholar] [CrossRef]
- Wang, X.; Ge, H.; Wang, J.; Wang, D.; Chen, H. Evaluation of the Micro-cracks in Shale from the Stress Sensitivity of Ultrasonic Velocities. Rock Mech. Rock Eng. 2016, 49, 4929–4934. [Google Scholar] [CrossRef]
- Hou, R.; Zhang, K.; Tao, J.; Xue, X.; Chen, Y. A Nonlinear Creep Damage Coupled Model for Rock Considering the Effect of Initial Damage. Rock Mech. Rock Eng. 2018, 52, 1275–1285. [Google Scholar] [CrossRef]
- Du, M.; Su, J.; Wang, X.; Zhang, S.; Zhang, Y. Dynamic response and crack propagation law of tunnel invert with initial damage. Eng. Fail. Anal. 2021, 119, 104939. [Google Scholar]
- Dong, Q. Model test study on propagation law of plane stress wave in jointed rock mass under different in-situ stresses. In Proceedings of the IOP Conference Series: Earth and Environmental Science, Singapore, 22–25 December 2017; p. 012009. [Google Scholar]
- Dong, Q.; Li, X.P.; Huang, J.H. Model test study on cylindrical blasting stress wave propagation across jointed rock mass with different initial stresses. Adv. Civ. Eng. 2020, 2020, 8881302. [Google Scholar] [CrossRef]
- Papanikolaou, V.K.; Kappos, A.J. Confinement-sensitive plasticity constitutive model for concrete in triaxial compression. Int. J. Solids Struct. 2007, 44, 7021–7048. [Google Scholar] [CrossRef] [Green Version]
- Huang, H. Experimental Study on Biaxial-to-Uniaxial Strength Ratio of Concrete at Early Age. Master’s Thesis, Dalian University of Technology, Dalian, China, 2013. (In Chinese). [Google Scholar]
- Yin, S.; Wang, S. Relation of stresses with elastic modulus and velocities and its application. Rock Soil Mech. 2003, 24, 597–601. (In Chinese) [Google Scholar]















| Type | Rc/MPa | σt/MPa | E/GPa | φ/(°) | C/MPa | μ | ρ/kg/m3 |
|---|---|---|---|---|---|---|---|
| Prototype | 120 | 12 | 50 | 30 | 30 | 0.223 | 2600 |
| Similar material | 5.864 | 0.613 | 5.226 | 23.2 | 1.49 | 0.203 | 1980 |
| Parameters | Intact Rock | Joint | Seamless Steel Pipe |
|---|---|---|---|
| Compressive strength/MPa | 5.864 | / | 645 |
| Tensile strength/MPa | 0.613 | / | 400 |
| Elastic modulus/GPa | 5.226 | / | 206 |
| Internal friction angle/° | 23.2 | / | / |
| Cohesion/MPa | 1.49 | / | / |
| Poisson ratio | 0.203 | / | 0.3 |
| Initial normal stiffness/GPa/m | / | 12 | / |
| Initial shear stiffness/GPa/m | / | 7.53 | / |
Publisher’s Note: MDPI stays neutral with regard to jurisdictional claims in published maps and institutional affiliations. |
© 2021 by the authors. Licensee MDPI, Basel, Switzerland. This article is an open access article distributed under the terms and conditions of the Creative Commons Attribution (CC BY) license (https://creativecommons.org/licenses/by/4.0/).
Share and Cite
Dong, Q.; Li, X.; Jia, Y.; Sun, J. A Numerical Simulation of Blasting Stress Wave Propagation in a Jointed Rock Mass under Initial Stresses. Appl. Sci. 2021, 11, 7873. https://doi.org/10.3390/app11177873
Dong Q, Li X, Jia Y, Sun J. A Numerical Simulation of Blasting Stress Wave Propagation in a Jointed Rock Mass under Initial Stresses. Applied Sciences. 2021; 11(17):7873. https://doi.org/10.3390/app11177873
Chicago/Turabian StyleDong, Qian, Xinping Li, Yongsheng Jia, and Jinshan Sun. 2021. "A Numerical Simulation of Blasting Stress Wave Propagation in a Jointed Rock Mass under Initial Stresses" Applied Sciences 11, no. 17: 7873. https://doi.org/10.3390/app11177873
APA StyleDong, Q., Li, X., Jia, Y., & Sun, J. (2021). A Numerical Simulation of Blasting Stress Wave Propagation in a Jointed Rock Mass under Initial Stresses. Applied Sciences, 11(17), 7873. https://doi.org/10.3390/app11177873

