A Study of Longitudinal Waveguide with Band Gap Using Cylindrical and Conical Shape Periodic Structure
Abstract
:1. Introduction
2. Wave Motion in Metamaterials
2.1. Wave Motion in Periodic Structure
2.2. Finite Element Analysis of Cylindrical and Conical Metamaterials
2.3. Periodic Cylindrical and Conical Metamaterials
3. Numerical and Experiment Results of Metamaterials
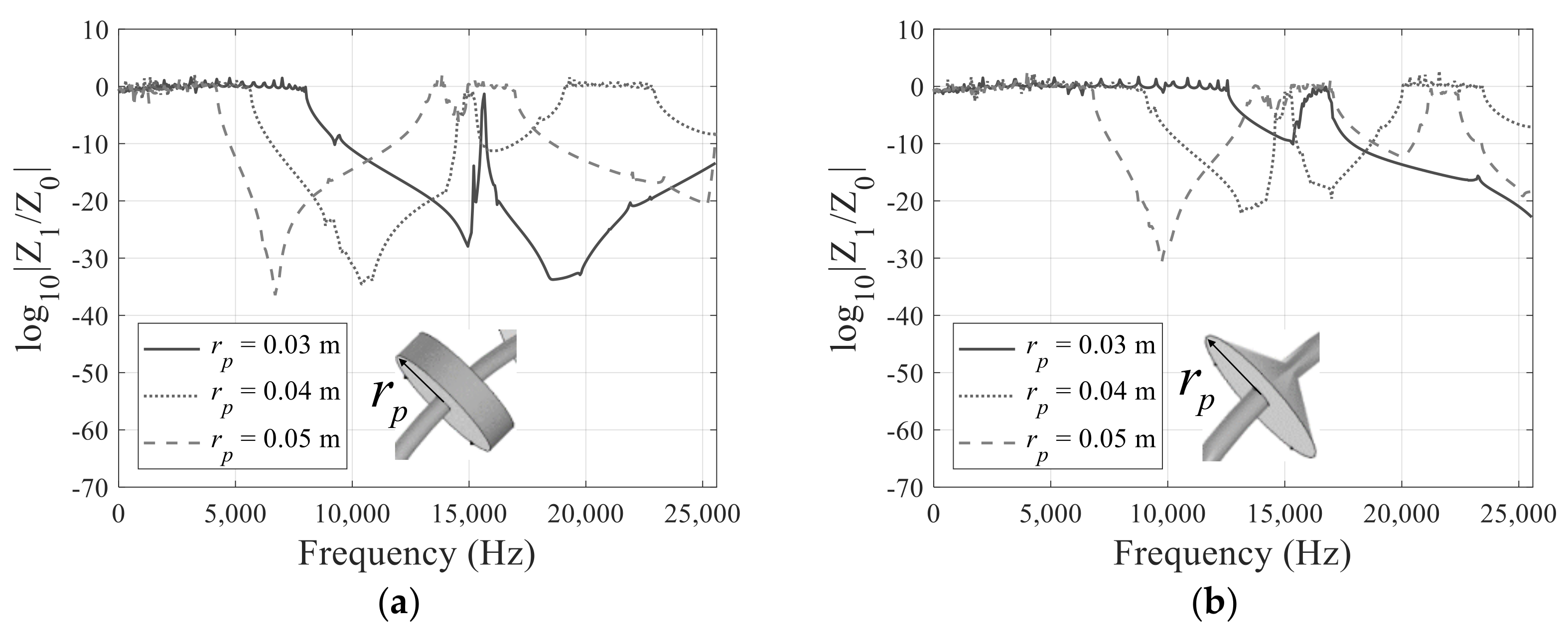
3.1. Straight Beam with Cylindrical Metamaterials
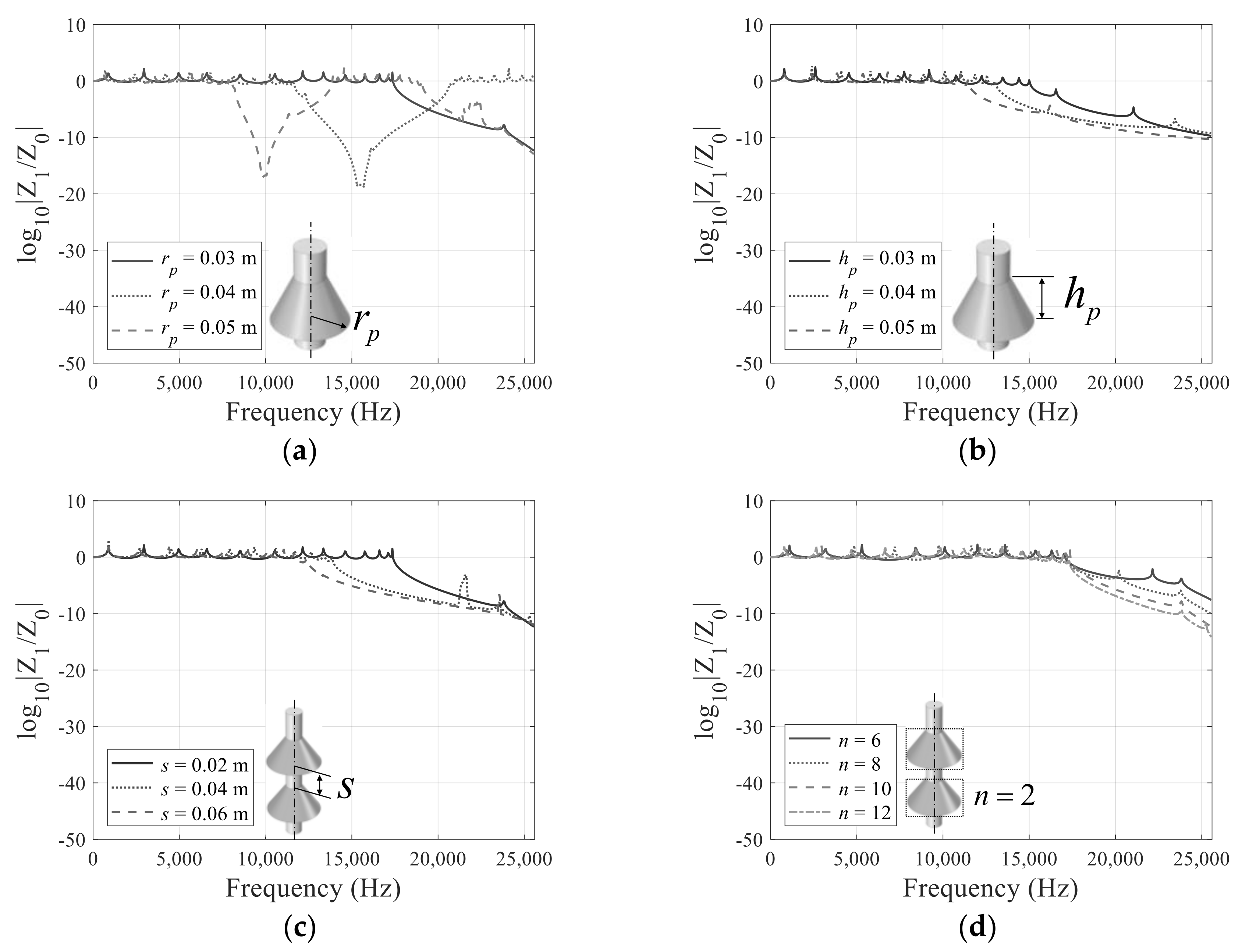
3.2. Straight Beam with Conical Metamaterials
3.3. Straight Beam with Cylindrical and Conical Metamaterials
3.4. Curved Beam with Metamaterials
3.5. Experiments
4. Conclusions
Author Contributions
Funding
Conflicts of Interest
References
- Brillouin, L. Wave Propagation in Periodic Structures: Electric Filters and Crystal Lattices; Courier Corporation: North Chelmsford, MA, USA, 2003. [Google Scholar]
- Kronig, R.D.L.; Penney, W.G. Quantum mechanics of electrons in crystal lattices. Proc. R. Soc. Lond. Ser. A Contain. Pap. A Math. Phys. Character 1931, 130, 499–513. [Google Scholar]
- Sigalas, M.M.; Economou, E.N. Elastic and acoustic wave band structure. J. Sound Vib. 1992, 158, 377–382. [Google Scholar] [CrossRef]
- Griffiths, D.J.; Steinke, C.A. Waves in locally periodic media. Am. J. Phys. 2001, 69, 137–154. [Google Scholar] [CrossRef] [Green Version]
- Martinsson, P.; Movchan, A. Vibrations of lattice structures and phononic band gaps. Q. J. Mech. Appl. Math. 2003, 56, 45–64. [Google Scholar] [CrossRef]
- Mead, D. Wave propagation and natural modes in periodic systems: I. Mono-coupled systems. J. Sound Vib. 1975, 40, 1–18. [Google Scholar] [CrossRef]
- Mead, D. A general theory of harmonic wave propagation in linear periodic systems with multiple coupling. J. Sound Vib. 1973, 27, 235–260. [Google Scholar] [CrossRef]
- Leung, A.-T. Dynamic analysis of periodic structures. J. Sound Vib. 1980, 72, 451–467. [Google Scholar] [CrossRef]
- Faulkner, M.; Hong, D. Free vibrations of a mono-coupled periodic system. J. Sound Vib. 1985, 99, 29–42. [Google Scholar] [CrossRef]
- Zhong, W.; Williams, F. On the direct solution of wave propagation for repetitive structures. J. Sound Vib. 1995, 181, 485–501. [Google Scholar] [CrossRef]
- Hinke, L.; Mace, B.; Brennan, M. Finite Element Analysis of Waveguides; ISVR Technical Memorandum No 932, Southempton, UK. 2004. Available online: https://eprints.soton.ac.uk/28129/1/Pub3838.pdf (accessed on 6 August 2021).
- Mead, D. Wave propagation in continuous periodic structures: Research contributions from Southampton, 1964–1995. J. Sound Vib. 1996, 190, 495–524. [Google Scholar] [CrossRef]
- Orris, R.M.; Petyt, M. A finite element study of harmonic wave propagation in periodic structures. J. Sound Vib. 1974, 33, 223–236. [Google Scholar] [CrossRef]
- Jensen, J.S. Phononic band gaps and vibrations in one-and two-dimensional mass-spring structures. J. Sound Vib. 2003, 266, 1053–1078. [Google Scholar] [CrossRef]
- Kittel, C.; McEuen, P. Introduction to Solid State Physics; Wiley: New York, NY, USA, 1976; Volume 8. [Google Scholar]
- Bondarenko, A. Elastic waves in rods of rectangular cross section. In European Women in Mathematics; World Scientific: London, UK, 2010; pp. 103–111. [Google Scholar]
- Kalkowski, M.K.; Muggleton, J.M.; Rustighi, E. Wave propagation in rods with an exponentially varying cross-section—modelling and experiments. Journal of Physics: Conference Series. In Proceedings of the 13th International Conference on Motion and Vibration Control (MOVIC 2016) and the 12th International Conference on Recent Advances in Structural Dynamics (RASD 2016), Southampton, UK, 4–6 July 2016; Volume 744, p. 012036. [Google Scholar]
- Tongele, T.; Chen, T. Control of longitudinal wave propagation in conical periodic structures. Modal Anal. 2004, 10, 1795–1811. [Google Scholar] [CrossRef]
- Graff, K.F. Wave Motion in Elastic Solids; Courier Corporation: North Chelmsford, MA, USA, 2012. [Google Scholar]
- Gupta, R.B. Propagation of Elastic Waves in Rods With Variable Cross Section. J. Appl. Mech. 1979, 46, 951. [Google Scholar] [CrossRef]
- Ruzzene, M.; Baz, A. Active control of wave propagation in periodic fluid-loaded shells. Smart Mater. Struct. 2001, 10, 893. [Google Scholar] [CrossRef]
- Chen, T.; Ruzzene, M.; Baz, A. Control of wave propagation in composite rods using shape memory inserts: Theory and experiments. J. Vib. Control 2000, 6, 1065–1081. [Google Scholar] [CrossRef]
- Chiang, W.F.; Lin, S.X.; Lee, Y.X.; Shih, Y.H.; Liu, J.H.; Silalahi, H.M.; Lee, C.R.; Huang, C.Y. Passively Tunable Terahertz Filters Using Liquid Crystal Cells Coated with Metamaterials. Coatings 2021, 11, 381. [Google Scholar] [CrossRef]
- Chiang, W.F.; Lin, S.X.; Lee, Y.X.; Shih, Y.H.; Liu, J.H.; Silalahi, H.M.; Lee, C.R.; Huang, C.Y. Effect of Thicknesses of Liquid Crystal Layers on Shift of Resonance Frequencies of Metamaterials. Coatings 2021, 11, 578. [Google Scholar] [CrossRef]






















Publisher’s Note: MDPI stays neutral with regard to jurisdictional claims in published maps and institutional affiliations. |
© 2021 by the authors. Licensee MDPI, Basel, Switzerland. This article is an open access article distributed under the terms and conditions of the Creative Commons Attribution (CC BY) license (https://creativecommons.org/licenses/by/4.0/).
Share and Cite
Oh, D.H.; Yoon, G.H. A Study of Longitudinal Waveguide with Band Gap Using Cylindrical and Conical Shape Periodic Structure. Appl. Sci. 2021, 11, 7257. https://doi.org/10.3390/app11167257
Oh DH, Yoon GH. A Study of Longitudinal Waveguide with Band Gap Using Cylindrical and Conical Shape Periodic Structure. Applied Sciences. 2021; 11(16):7257. https://doi.org/10.3390/app11167257
Chicago/Turabian StyleOh, Dong Hyeon, and Gil Ho Yoon. 2021. "A Study of Longitudinal Waveguide with Band Gap Using Cylindrical and Conical Shape Periodic Structure" Applied Sciences 11, no. 16: 7257. https://doi.org/10.3390/app11167257
APA StyleOh, D. H., & Yoon, G. H. (2021). A Study of Longitudinal Waveguide with Band Gap Using Cylindrical and Conical Shape Periodic Structure. Applied Sciences, 11(16), 7257. https://doi.org/10.3390/app11167257
