The Rapid Chloride Migration Test in Assessing the Chloride Penetration Resistance of Normal and Lightweight Concrete
Abstract
:1. Introduction
2. Experimental Programme
2.1. Materials
2.2. Mixture Composition and Concrete Production
2.3. Specimen Preparation and Test Methods
2.3.1. Curing Procedure
2.3.2. Rapid Chloride Migration Test
2.3.3. Immersion Test
2.3.4. Wetting–Drying Test
2.3.5. Chloride Profiles and Parameter Determination
3. Results and Discussion
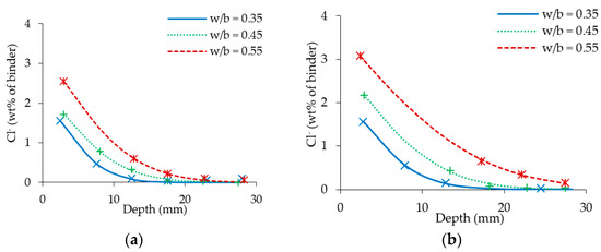
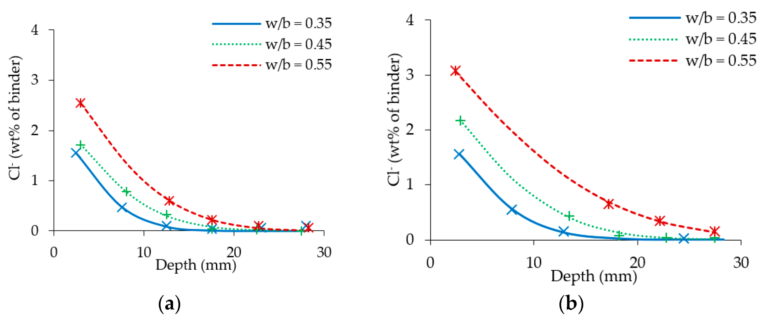
3.1. Influence of the Type of Binder on the Chloride Penetration Resistance
3.2. Influence of the Type of Aggregate on the Chloride Penetration Resistance
3.3. Overview and Chloride Penetration Resistance Classification
4. Conclusions
Author Contributions
Funding
Institutional Review Board Statement
Informed Consent Statement
Data Availability Statement
Acknowledgments
Conflicts of Interest
References
- Stanish, K.D.; Hooton, R.D.; Thomas, M.D.A. Testing the Chloride Penetration Resistance of Concrete: A Literature Review. In FHWA Contract DTFH61-97-R-00022 Prediction of Chloride Penetration in Concrete; Department of Civil Engineering, University of Toronto: Toronto, ON, Canada, 1997. Available online: https://rosap.ntl.bts.gov/view/dot/35971 (accessed on 21 July 2021).
- Geiker, M.; Grube, H.; Luping, T.; Nilsson, L.O.; Andrade, C. Laboratory test methods. In Rilem Report 12: Performance Criteria for Concrete Durabilitity; Kropp, J., Hilsdorf, H.K., Eds.; CRC Press: Boca Raton, FL, USA, 1995. [Google Scholar]
- Li, L.Y.; Easterbrook, D.; Xia, J.; Jin, W.L. Numerical simulation of chloride penetration in concrete in rapid chloride migration tests. Cem. Concr. Compos. 2015, 63, 113–121. [Google Scholar] [CrossRef]
- Yuan, Q.; De Schutter, G.; Shi, C.; Audenaert, K. The relationship between chloride diffusion and migration coefficients in concrete. In Proceedings of the International Conference on Microstructure Related Durability of Cementitious Composites, Nanjing, China, 13–15 October 2008; pp. 553–563. Available online: http://hdl.handle.net/1854/LU-664061 (accessed on 21 July 2021).
- Chlortest. Guideline for Practical Use of Methods for Testing the Resistance of Concrete to Chloride Ingress. Chlortest—EU Funded Research Project Under 5 FP Growth Programe. Resistance of Concrete to Chloride Ingress from Tests to In-Field Performance. Prepared by Tang Luping, 2005. Available online: http://www.civil.ist.utl.pt/~cristina/RREst/Aulas_Apresentacoes/07_Bibliografia/durabilidade%20betao%20%28durability%29/Outros/Guidline%20different%20method%20choloride%20ingress.pdf (accessed on 21 July 2021).
- Andrade, C. Calculation of chloride diffusion coefficients in concrete from ionic migration measurements. Cem. Concr. Res. 1993, 23, 724–742. [Google Scholar] [CrossRef]
- Streicher, P.E.; Alexander, M.G. A chloride conduction test for concrete. Cem. Concr. Res. 1995, 25, 1284–1294. [Google Scholar] [CrossRef]
- Basheer, L.; Kropp, J.; Cleland, D.J. Assessment of the durability of concrete from its permeation properties: A review. Constr. Build. Mater. 2001, 15, 93–103. [Google Scholar] [CrossRef]
- Junior, J.R.H.; Balestra, C.E.T.; Medeiros-Junior, R.A. Comparison of test methods to determine resistance to chloride penetration in concrete: Sensitivity to the effect of fly ash. Constr. Build. Mater. 2021, 277, 122265. [Google Scholar] [CrossRef]
- Bogas, J.A.; Gomes, A. Non-steady-state accelerated chloride penetration resistance of structural lightweight aggregate concrete. Cem. Concr. Compos. 2015, 60, 111–122. [Google Scholar] [CrossRef]
- Chia, K.S.; Zhang, M.H. Water permeability and chloride penetrability of high-strength lightweight aggregate concrete. Cem. Concr. Res. 2002, 32, 639–645. [Google Scholar] [CrossRef]
- Nilsson, L.-O.; Poulsen, E.; Sandberg, P.; Sørensen, H.E.; Klinghoffer, O. HETEK, Chloride Penetration into Concrete, State-of-the-Art. Transport Processes, Corrosion Initiation, Test Methods and Prediction Models. HETEK Report No. 53. Denmark, The Danish Road Directorate, 1996. Available online: https://www.researchgate.net/publication/264420368_HETEK_Chloride_penetration_into_concrete_State-of-the-Art_Transport_processes_corrosion_initiation_test_methods_and_prediction_models (accessed on 21 July 2021).
- Tang, L.; Nilsson, L.-O.; Basheer, P.A.M. Resistance of Concrete to Chloride Ingress; CRC Press: London, UK, 2011. [Google Scholar] [CrossRef]
- Park, B.; Jang, S.Y.; Cho, J.Y.; Kim, J.Y. A novel short-term immersion test to determine the chloride ion diffusion coefficient of cementitious materials. Constr. Build. Mater. 2014, 57, 169–178. [Google Scholar] [CrossRef]
- Zofia, S.; Adam, Z. Theoretical model and experimental tests on chloride diffusion and migration processes in concrete. Procedia Eng. 2013, 57, 1121–1130. [Google Scholar] [CrossRef] [Green Version]
- Whiting, D. Rapid Measurement of the Chloride Permeability of Concrete. FHWA-RD-81-119 Final Rpt., FCP 34K1-012, Washington, USA. 1981. Available online: https://trid.trb.org/view/171158 (accessed on 21 July 2021).
- AASHTO. Standard Method of Test for Electrical Indication of Concrete’s Ability to Resist Chloride Ion Penetration; AASHTO T 277; American Association of State and Highway Transportation Officials (AASHTO): Washington, WA, USA, 2019. [Google Scholar]
- ASTM. Standard Test Method for Electrical Indication of Concrete’s Ability to Resist Chloride Ion Penetration; ASTM C1202; American Society for Testing & Materials (ASTM): West Conshohocken, PA, USA, 2012. [Google Scholar]
- Wee, T.H.; Suryavanshi, A.K.; Tin, S.S. Evaluation of rapid chloride permeability test (RCPT) results for concrete containing mineral admixtures. ACI Struct. J. 2000, 97, 221–232. [Google Scholar] [CrossRef]
- Papadakis, V.G. Effect of supplementary cementing materials on concrete resistance against carbonation and chloride ingress. Cem. Concr. Res. 2000, 30, 291–299. [Google Scholar] [CrossRef]
- de Schutter, G.; Ye, G.; Audenaert, K.; Bager, D.; Baroghel-Bouny, V.; Bellmann, F.; Boel, V.; Bonen, D.; Boström, L.; Corradi, M.; et al. Final report of RILEM TC 205-DSC: Durability of self-compacting concrete. Mater. Struct. Constr. 2008, 41, 225–233. [Google Scholar] [CrossRef]
- Samson, E.; Marchand, J.; Snyder, K.A. Calculation of ionic diffusion coefficients on the basis of migration test results. Mater. Struct. Constr. 2003, 36, 156–165. [Google Scholar] [CrossRef]
- Luping, T. Chloride Transport in Concrete—Measurement and Prediction. Ph.D. Thesis, Department of Building Materials, Chalmers University of Technology, Gothenburg, Sweden, 1996. Available online: https://research.chalmers.se/en/publication/1267 (accessed on 21 July 2021).
- Nordtest Method. Concrete, Mortar and Cement-based Repair Materials: Chloride Migration Coefficient from Non-Steady-State Migration Experiments; NT Build 492; Nordtest Method: Helsinki, Finland, 1999. [Google Scholar]
- Spiesz, P.; Brouwers, H.J.H. Analysis of the Rapid Chloride Migration test. In Proceedings of the 3rd International PhD Workshop on Modelling the Durability of Reinforced Concrete, Guimaraes, Portugal, 22–24 October 2009; Ferreira, A.C., Gulikers, R.M., Eds.; RILEM Publications SARL: Guimarães, Portugal, 2009. [Google Scholar]
- Spiesz, P.; Ballari, M.M.; Brouwers, H.J.H. RCM: A new model accounting for the non-linear chloride binding isotherm and the non-equilibrium conditions between the free- and bound-chloride concentrations. Constr. Build. Mater. 2012, 27, 293–304. [Google Scholar] [CrossRef] [Green Version]
- CUR. The European Union—Brite EuRam III. Probabilistic Performance based Durability Design of Concrete Structures. In Duracrete Final Technical Report; Document BE95-1347/R17; CUR: Gouda, The Netherlands, 2000. [Google Scholar]
- Spiesz, P.; Brouwers, H.J.H. Influence of the applied voltage on the Rapid Chloride Migration (RCM) test. Cem. Concr. Res. 2012, 42, 1072–1082. [Google Scholar] [CrossRef]
- Jiang, L.; Song, Z.; Yang, H.; Pu, Q.; Zhu, Q. Modeling the chloride concentration profile in migration test based on general Poisson Nernst Planck equations and pore structure hypothesis. Constr. Build. Mater. 2013, 40, 596–603. [Google Scholar] [CrossRef]
- Marchand, J.; Samson, E. Predicting the service-life of concrete structures—Limitations of simplified models. Cem. Concr. Compos. 2009, 31, 515–521. [Google Scholar] [CrossRef]
- FIB. Model Code for Service Life Design—Bulletin 34; Prepared by Task Group 5.6: Model code for service life design of concrete structures; Fédération Internationale du Béton (FIB): Lausanne, Switzerland, 2006. [Google Scholar]
- LNEC Specification. Concrete: Methodology for Estimating the Concrete Performance Properties Allowing to Comply with the Design Working Life of the Reinforced or Prestressed Concrete Structures under the Environmental Exposures XC and XS; LNEC Specification: Lisboa, Portugal, 2007. [Google Scholar]
- Gjørv, O.E. Performance and serviceability of concrete structures in the marine environment. In Proceedings of the Odd E. Gjørv Symposium on Concrete for Marine Structures, CANMET/ACI, Ottawa, ON, Canada, 4–9 August 1996. [Google Scholar]
- Spiesz, P.; Brouwers, H.J.H. Evaluation of the rapid chloride migration (rcm) test. In Proceedings of the 3rd International PhD Workshop on Modelling the Durability of Reinforced Concrete, Weimar, Germany, 23–26 September 2009. [Google Scholar]
- Tang, L.; Sørensen, H.E. Precision of the Nordic test methods for measuring the chloride diffusion/migration coefficients of concrete. Mater. Struct. Constr. 2001, 34, 479–485. [Google Scholar] [CrossRef]
- Jen, G.; Stompinis, N.; Jones, R. Chloride ingress in a belite-calcium sulfoaluminate cement matrix. Cem. Concr. Res. 2017, 98, 130–135. [Google Scholar] [CrossRef] [Green Version]
- NT Build 443. Concrete Hardened: Accelerated Chloride Penetration; Nordtest Method: Helsinki, Finland, 1995. [Google Scholar]
- Frederiksen, M.; Andersen, A.; Klinghoffer, O. The effect of the w/c ratio on chloride transport into concrete: Immersion, migration, and resistivity tests. HETEK Danish Road Dir. 1997. [Google Scholar] [CrossRef]
- Real, S.; Bogas, J.A.; Pontes, J. Structural lightweight aggregate concrete exposed to marine environment for 5 years. Constr. Build. Mater. 2021, 275, 122161. [Google Scholar] [CrossRef]
- Bogas, J.A.; Real, S. A review on the carbonation and chloride penetration resistance of structural lightweight aggregate concrete. Materials 2019, 12, 3456. [Google Scholar] [CrossRef] [PubMed] [Green Version]
- LNEC. Concrete: Prescriptive Methodology for a Design Working Life of 50 Years under the Environmental Exposure; LNEC specification: Lisboa, Portugal, 2007. [Google Scholar]
- CEN. Cement Part 1: Composition, Specifications and Conformity Criteria for Common Cements; EN 197-1; European Committee for standardization (CEN): Brussels, Belgium, 2011. [Google Scholar]
- CEN. Testing Hardened Concrete. Density of Hardened Concrete; EN 12390-7; European Committee for standardization (CEN): Brussels, Belgium, 2009. [Google Scholar]
- CEN. Testing Hardened Concrete. Compressive Strength of Test Specimens; EN 12390-3; European Committee for standardization (CEN): Brussels, Belgium, 2009. [Google Scholar]
- LNEC. Concrete: Determination of Chloride Penetration Resistance. Immersion Test; LNEC Specification: Lisboa, Portugal, 1993. [Google Scholar]
- Kropp, J. Relations between transport characteristics and durability. In Rilem Report 12: Performance Criteria for Concrete Durabilitity; Kropp, J., Hilsdorf, H.K., Eds.; CRC Press: Boca Raton, FL, USA, 1995. [Google Scholar]
- Otieno, M.; Beushausen, H.; Alexander, M. Chloride-induced corrosion of steel in cracked concrete - Part I: Experimental studies under accelerated and natural marine environments. Cem. Concr. Res. 2016, 79, 373–385. [Google Scholar] [CrossRef]
- Lu, C.; Gao, Y.; Cui, Z.; Liu, R. Experimental analysis of chloride penetration into concrete subjected to drying–wetting cycles. J. Mater. Civ. Eng. 2015, 27, 04015036. [Google Scholar] [CrossRef]
- Hong, K.; Hooton, R.D. Effects of cyclic chloride exposure on penetration of concrete cover. Cem. Concr. Res. 2002, 29, 1379–1386. [Google Scholar] [CrossRef]
- CEN. Concrete: Specification, Performance, Production and Conformity; EN 206; European Committee for standardization (CEN): Brussels, Belgium, 2013. [Google Scholar]
- AASHTO. Sampling and Testing for Chloride Ion in Concrete and Concrete Raw Materials; AASHTO T 260-97; American Association of State and Highway Transportation Officials (AASHTO): Washington, WA, USA, 2011. [Google Scholar]
- Real, S.; Bogas, J.A. Chloride ingress into structural lightweight aggregate concrete in real marine environment. Mar. Struct. 2018, 61, 170–187. [Google Scholar] [CrossRef]
- Bogas, J. Characterization of Structural Lightweight Expanded Clay Aggregate Concrete. Ph.D. Thesis, Instituto Superior Técnico, Universidade de Lisboa, Lisboa, Portugal, 2011. [Google Scholar]
- Real, S.; Bogas, J.A.; Pontes, J. Chloride migration in structural lightweight aggregate concrete produced with different binders. Constr. Build. Mater. 2015, 98, 425–436. [Google Scholar] [CrossRef]
- Liu, X.; Chia, K.S.; Zhang, M.H. Water absorption, permeability, and resistance to chloride-ion penetration of lightweight aggregate concrete. Constr. Build. Mater. 2011, 25, 335–343. [Google Scholar] [CrossRef]
- Naito, C.; Fox, J.; Bocchini, P.; Khazaali, M. Chloride migration characteristics and reliability of reinforced concrete highway structures in Pennsylvania. Constr. Build. Mater. 2020, 231, 117045. [Google Scholar] [CrossRef]
- Thomas, M.D.A.; Bamforth, P.B. Modelling chloride diffusion in concrete effect of fly ash and slag. Cem. Concr. Res. 1999, 29, 487–495. [Google Scholar] [CrossRef]
- Youm, K.S.; Moon, J.; Cho, J.Y.; Kim, J.J. Experimental study on strength and durability of lightweight aggregate concrete containing silica fume. Constr. Build. Mater. 2016, 114, 517–527. [Google Scholar] [CrossRef]
- Khayat, K.H.; Vachon, M.; Lanctôt, M.C. Use of blended silica fume cement in commercial concrete mixtures. ACI Mater. J. 1997, 94, 183–192. [Google Scholar] [CrossRef]
- Pontes, J.; Santos Silva, A.; Faria, P. Evaluation of Pozzolanic Reactivity of Artificial Pozzolans. Mater. Sci. Forum. 2012, 730–732, 433–438. [Google Scholar] [CrossRef]
- Hansen, T.C. Long-term strength of high fly ash concretes. Cem. Concr. Res. 1990, 20, 193–196. [Google Scholar] [CrossRef]
- Liu, J.; Wang, X.; Qiu, Q.; Ou, G.; Xing, F. Understanding the effect of curing age on the chloride resistance of fly ash blended concrete by rapid chloride migration test. Mater. Chem. Phys. 2017, 196, 315–323. [Google Scholar] [CrossRef]
- Argiz, C.; Moragues, A.; Menéndez, E. Use of ground coal bottom ash as cement constituent in concretes exposed to chloride environments. J. Clean. Prod. 2018, 170, 25–33. [Google Scholar] [CrossRef]
- Cyr, M.; Lawrence, P.; Ringot, E. Efficiency of mineral admixtures in mortars: Quantification of the physical and chemical effects of fine admixtures in relation with compressive strength. Cem. Concr. Res. 2006, 36, 264–277. [Google Scholar] [CrossRef]
- Skibsted, J.; Snellings, R. Reactivity of supplementary cementitious materials (SCMs) in cement blends. Cem. Concr. Res. 2019, 124, 105799. [Google Scholar] [CrossRef]
- Real, S. Durability and thermal performance of structural lightweight aggregate concrete produced with different types of cementitious materials. Ph.D. Thesis, Instituto Superior Técnico, Universidade de Lisboa, Lisbon, Portugal, 2019. [Google Scholar]
- Bertolini, L.; Polder, R. Corrosion of Steel in Concrete: Prevention, Diagnosis, Repair; Wiley Online Library; John Wiley & Sons: Hoboken, NJ, USA, 2005; Available online: https://onlinelibrary.wiley.com/doi/book/10.1002/3527603379 (accessed on 21 July 2021).
- Safehian, M.; Ramezanianpour, A.A. Prediction of RC structure service life from field long term chloride diffusion. Comput. Concr. 2015, 15, 589–606. [Google Scholar] [CrossRef]
- Pack, S.W.; Jung, M.S.; Song, H.W.; Kim, S.H.; Ann, K.Y. Prediction of time dependent chloride transport in concrete structures exposed to a marine environment. Cem. Concr. Res. 2010, 40, 302–312. [Google Scholar] [CrossRef]
- Song, H.W.; Lee, C.H.; Ann, K.Y. Factors influencing chloride transport in concrete structures exposed to marine environments. Cem. Concr. Compos. 2008, 30, 113–121. [Google Scholar] [CrossRef]
- Lindvall, A. Environmental Actions on Concrete Exposed in Marine and Road Environments and Its Response. Ph.D. Thesis, Chalmers University of Technology, Gothenburg, Sweden, 2003. [Google Scholar]
- Poulsen, E.; Mejlbro, L. Diffusion of Chloride in Concrete: Theory and Application; CRC Press: Boca Raton, FL, USA, 2005. [Google Scholar]
- Thomas, M.D.A. Chloride diffusion in high-performance lightweight aggregate concrete. Symp. Pap. 2006, 234, 797–812. [Google Scholar] [CrossRef]
- Ibrahim, M.; Ahmad, A.; Barry, M.S.; Alhems, L.M.; Mohamed Suhoothi, A.C. Durability of Structural Lightweight Concrete Containing Expanded Perlite Aggregate. Int. J. Concr. Struct. Mater. 2020, 14. [Google Scholar] [CrossRef]
- Liu, X.; Chia, K.S.; Zhang, M.H. Development of lightweight concrete with high resistance to water and chloride-ion penetration. Cem. Concr. Compos. 2010, 32, 757–766. [Google Scholar] [CrossRef]
- Helland, S. Performance of lightweight aggregate concrete in marine environment. In Proceedings of the Theodore Bremner Symposium on High-performance Lightweight Concrete as a part of the Sixth CANMET/ACI International Conference on Durability of Concrete, Thessaloniki, Greece, 1–7 June 2003. [Google Scholar]


















| Chloride Penetration Resistance of Concrete | Dcl,RCMT (×10−12 m2/s) |
|---|---|
| Low | >15 |
| Moderate | 10–15 |
| High | 5–10 |
| Very high | 2.5–5 |
| Extremely high | <2.5 |
| Property | Normal Weight Aggregates | Lightweight Aggregates | |||||
|---|---|---|---|---|---|---|---|
| Fine Gravel | Coarse Gravel 1 | Coarse Gravel 2 | Fine Sand | Coarse Sand | Leca | Stalite | |
| Oven-dried particle density (kg/m3) | 2646 | 2683 | 2618 | 2605 | 2617 | 969 | 1483 |
| Loose bulk density (kg/m3) | 1309 | 1346 | 1325 | 1569 | 1708 | 632 | 760 |
| Absorption at 24 h (%) | 0.7 | 0.4 | 1.1 | 0.2 | 0.3 | 16.3 | 3.6 |
| Granulometric fraction (d/D) | 0/8 | 4/11.2 | 11.2/20 | 0/1 | 0/4 | 4/10 | 8/16 |
| Open porosity (%) | - | - | - | - | - | 40.7 | 14.9 |
| Property | Cement I 42.5R (CEM I) | Silica Fume (SF) | Fly Ash (FA) | Lime Filler (LF) |
|---|---|---|---|---|
| Density (g/cm3) | 3.08 | 2.21 | 2.32 | 2.69 |
| Specific surface (cm2/g) | 4388 | 2730 | 3320 | 7430 |
| Loss on ignition (%) | 3.64 | 2.68 | 5.80 | 40.68 |
| SiO2 + Al2O3 + Fe2O3 (%) | 18.49 + 4.95 + 3.61 | 94.31 + ND + 0.03 | 50.16 + 25.62 + 7.14 | 5.05 + 1.34 + 0.82 |
| CaO + MgO (%) | 63.11 + 1.62 | 4.29 + 0.91 | 2.13 + 0.41 | 50.89 + 0.57 |
| Type of Aggregate | Type of Binder | Mineral Addition (wt% of Binder) | w/b | Mbinder (kg/m3) | Vcoarse aggregate (L/m3) | Vsand (L/m3) | Vwater,eff (L/m3) | |
|---|---|---|---|---|---|---|---|---|
| Fine Sand | Coarse Sand | |||||||
| NWA | CEM I | - | 0.35 | 450 | 436 | 80 | 154 | 157.5 |
| CEM II/A-D | 6% SF | 433 | 80 | 153 | ||||
| CEM II/A-V | 15% FA | 431 | 80 | 152 | ||||
| CEM II/B-V | 30% FA | 419 | 72 | 164 | ||||
| CEM II/A-L | 15% LF | 427 | 87 | 153 | ||||
| CEM II/B-L | 30% LF | 424 | 80 | 159 | ||||
| CEM I | - | 0.45 | 400 | 412 | 106 | 146 | 180 | |
| CEM II/A-D | 6% SF | 411 | 106 | 146 | ||||
| CEM II/A-V | 15% FA | 408 | 105 | 145 | ||||
| CEM II/B-V | 30% FA | 406 | 104 | 144 | ||||
| CEM II/A-L | 15% LF | 411 | 104 | 146 | ||||
| CEM II/B-L | 30% LF | 409 | 106 | 145 | ||||
| CEM I | - | 0.55 | 350 | 401 | 114 | 154 | 192.5 | |
| CEM II/A-D | 6% SF | 400 | 113 | 153 | ||||
| CEM II/A-V | 15% FA | 399 | 106 | 159 | ||||
| CEM II/B-V | 30% FA | 395 | 105 | 158 | ||||
| CEM II/A-L | 15% LF | 400 | 107 | 160 | ||||
| CEM II/B-L | 30% LF | 399 | 106 | 159 | ||||
| Leca | CEM I | - | 0.35 | 450 | 355 | 201 | 114 | 157.5 |
| 0.45 | 400 | 353 | 186 | 126 | 180 | |||
| 0.55 | 350 | 355 | 181 | 134 | 192.5 | |||
| Stalite | CEM I | - | 0.35 | 450 | 355 | 214 | 100 | 157.5 |
| 0.45 | 400 | 353 | 213 | 100 | 180 | |||
| 0.55 | 350 | 355 | 201 | 114 | 192.5 | |||
| Type of Aggregate | Type of Binder | w/b | Compressive Strength at 28 Days (MPa) | Dry Density (kg/m3) | Rapid Chloride Migration Test | Immersion Test | Wetting–Drying Test | ||||||
|---|---|---|---|---|---|---|---|---|---|---|---|---|---|
| Dcl,RCMT (×10−12 m2/s) | CV (%) | Gjørv [33] Classification | Dcl,IT (×10−12 m2/s) | Cs,IT (wt% Binder) | Kcr,IT (mm/y0.5) | Dcl,WDT (×10−12 m2/s) | Cs,WDT (wt% Binder) | Kcr,WDT (mm/y0.5) | |||||
| NWA | CEM I | 0.35 | 77.0 | 2330 | 10.0 | 6 | Moderate | 2.3 | 2.3 | 14.9 | 2.9 | 2.3 | 16.7 |
| 0.45 | 58.1 | 2270 | 13.5 | 0 | Moderate | 4.2 | 2.4 | 20.6 | 5.3 | 2.9 | 25.0 | ||
| 0.55 | 47.7 | 2230 | 17.0 | 3 | Low | 5.9 | 3.4 | 27.9 | 6.9 | 3.7 | 31.2 | ||
| CEM II/A-D | 0.35 | 78.0 | 2290 | 5.9 | 0 | Very High | 1.3 | 1.6 | 9.4 | 1.2 | 2.5 | 11.2 | |
| 0.45 | 51.5 | 2220 | 9.0 | 2 | High | 2.7 | 3.3 | 18.6 | 2.5 | 2.7 | 16.5 | ||
| 0.55 | 44.5 | 2200 | 14.2 | 4 | Moderate | 5.2 | 3.8 | 27.4 | 8.6 | 5.2 | 38.6 | ||
| CEM II/A-V | 0.35 | 63.2 | 2300 | 9.7 | 3 | High | 1.3 | 3.1 | 12.6 | 1.4 | 3.4 | 13.6 | |
| 0.45 | 49.6 | 2250 | 16.7 | 9 | Low | 2.8 | 4.0 | 20.5 | 2.0 | 5.3 | 18.9 | ||
| 0.55 | 38.6 | 2230 | 23.3 | 3 | Low | 5.8 | 4.4 | 30.2 | 3.5 | 4.0 | 22.7 | ||
| CEM II/B-V | 0.35 | 56.0 | 2270 | 9.7 | 6 | High | 1.2 | 4.3 | 13.5 | 0.9 | 7.6 | 14.1 | |
| 0.45 | 44.6 | 2250 | 18.5 | 3 | Low | 1.3 | 4.4 | 14.1 | 1.5 | 5.3 | 16.3 | ||
| 0.55 | 30.7 | 2200 | 25.2 | 5 | Low | 2.2 | 5.1 | 19.4 | 1.6 | 5.6 | 17.2 | ||
| CEM II/A-L | 0.35 | 62.0 | 2310 | 12.0 | 4 | Moderate | 3.7 | 2.3 | 18.6 | 2.6 | 1.6 | 12.8 | |
| CEM II/B-L | 0.35 | 53.2 | 2280 | 15.1 | 1 | Low | 15.4 | 1.7 | 33.3 | 6.7 | 2.8 | 27.7 | |
| Stalite | CEM I | 0.35 | 66.1 | 1920 | 10.6 | 2 | Moderate | 2.6 | 2.7 | 16.9 | 1.8 | 3.7 | 16.1 |
| 0.45 | 51.1 | 1820 | 11.8 | 3 | Moderate | 4.1 | 2.2 | 19.6 | 4.4 | 3.1 | 23.2 | ||
| 0.55 | 41.1 | 1800 | 16.3 | 7 | Low | 4.9 | 3.6 | 25.9 | 6.1 | 4.1 | 30.3 | ||
| Leca | CEM I | 0.35 | 35.9 | 1660 | 12.0 | 3 | Moderate | 3.8 | 2.4 | 19.7 | 1.9 | 1.7 | 11.7 |
| 0.45 | 30.3 | 1620 | 13.6 | 4 | Moderate | 5.9 | 4.6 | 31.0 | 6.6 | 3.1 | 28.7 | ||
| 0.55 | 26.1 | 1600 | 19.5 | 4 | Low | 10.1 | 5.8 | 43.2 | 10.4 | 6.1 | 44.6 | ||
Publisher’s Note: MDPI stays neutral with regard to jurisdictional claims in published maps and institutional affiliations. |
© 2021 by the authors. Licensee MDPI, Basel, Switzerland. This article is an open access article distributed under the terms and conditions of the Creative Commons Attribution (CC BY) license (https://creativecommons.org/licenses/by/4.0/).
Share and Cite
Pontes, J.; Bogas, J.A.; Real, S.; Silva, A. The Rapid Chloride Migration Test in Assessing the Chloride Penetration Resistance of Normal and Lightweight Concrete. Appl. Sci. 2021, 11, 7251. https://doi.org/10.3390/app11167251
Pontes J, Bogas JA, Real S, Silva A. The Rapid Chloride Migration Test in Assessing the Chloride Penetration Resistance of Normal and Lightweight Concrete. Applied Sciences. 2021; 11(16):7251. https://doi.org/10.3390/app11167251
Chicago/Turabian StylePontes, Jorge, José Alexandre Bogas, Sofia Real, and André Silva. 2021. "The Rapid Chloride Migration Test in Assessing the Chloride Penetration Resistance of Normal and Lightweight Concrete" Applied Sciences 11, no. 16: 7251. https://doi.org/10.3390/app11167251
APA StylePontes, J., Bogas, J. A., Real, S., & Silva, A. (2021). The Rapid Chloride Migration Test in Assessing the Chloride Penetration Resistance of Normal and Lightweight Concrete. Applied Sciences, 11(16), 7251. https://doi.org/10.3390/app11167251

