Sedimentation of Two Side-by-Side Heavy Particles of Different Density in a Shear-Thinning Fluid with Viscoelastic Properties
Abstract
:1. Introduction
2. Experimental Method
3. Results and Discussion
3.1. Force Analysis
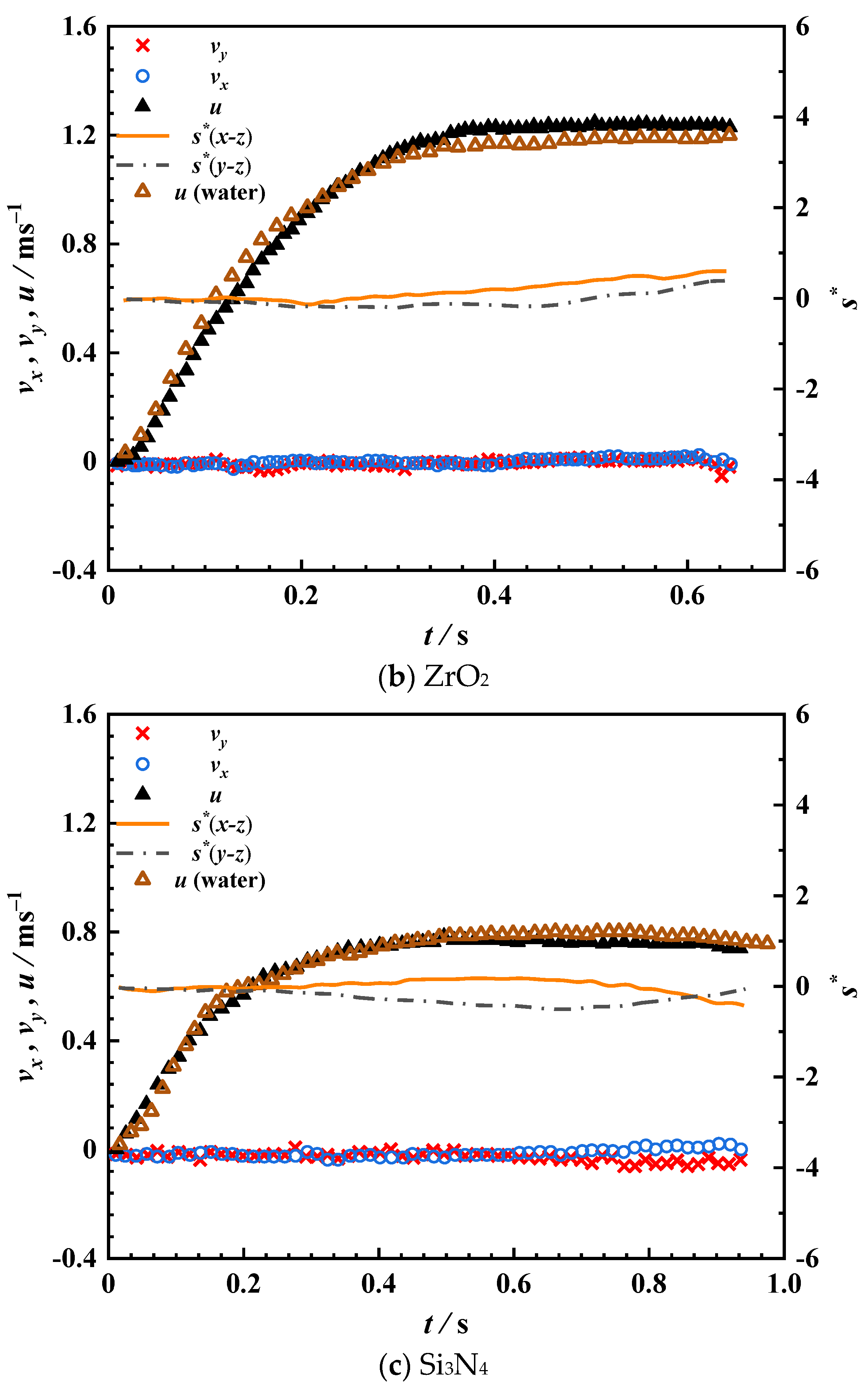
3.2. Sedimentation of a Single Particle
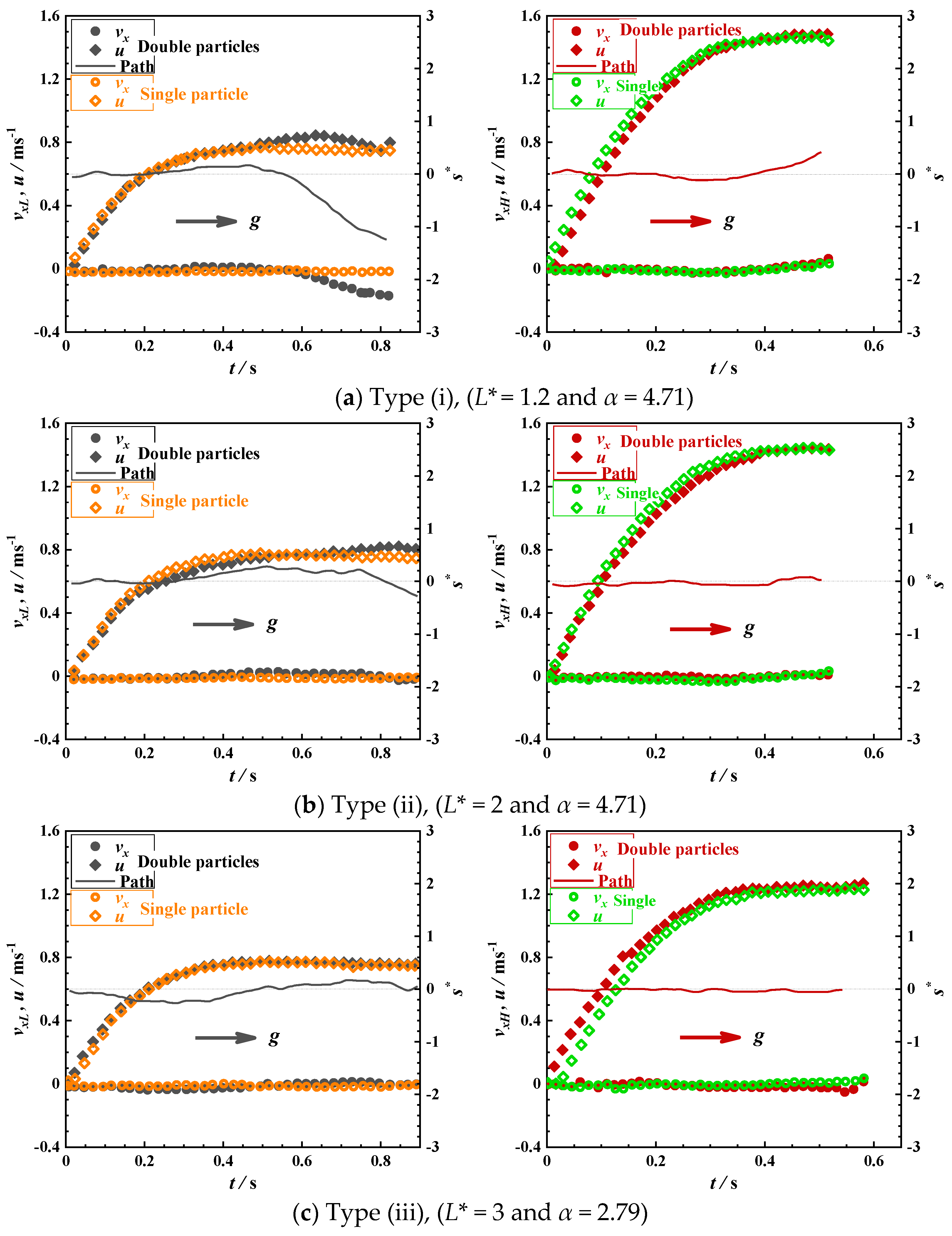
3.3. Trajectory of Side-by-Side Particles of Different Densities
3.4. Settling Velocity
4. Conclusions
Author Contributions
Funding
Acknowledgments
Conflicts of Interest
References
- Haddadi, H.; Naghsh-Nilchi, H.; Di Carlo, D. Separation of cancer cells using vortical microfluidic flows. Biomicrofluidics 2018, 12, 014112. [Google Scholar] [CrossRef] [PubMed]
- Whitesides, G.M. The origins and the future of microfluidics. Nature 2006, 442, 368–373. [Google Scholar] [CrossRef]
- Xuan, X.; Zhu, J.; Church, C. Particle focusing in microfluidic devices. Microfluid. Nanofluidics 2010, 9, 1–16. [Google Scholar] [CrossRef]
- Fernando, H.; Lee, S.; Anderson, J.; Princevac, M.; Pardyjak, E.; Grossman-Clarke, S. Urban fluid mechanics: Air circulation and contaminant dispersion in cities. Environ. Fluid Mech. 2001, 1, 107–164. [Google Scholar] [CrossRef]
- Clift, R.; Grace, J.R.; Weber, M.E. Bubbles, Drops, and Particles; Dover Publications, Inc.: Mineola, NY, USA, 2005. [Google Scholar]
- Magnaudet, J.J. The forces acting on bubbles and rigid particles. In Proceedings of the ASME Fluids Engineering Division Summer Meeting, FEDSM, Vancouver, BC, Canada, 22–26 June 1997; pp. 22–26. [Google Scholar]
- Zenit, R.; Feng, J. Hydrodynamic interactions among bubbles, drops, and particles in non-Newtonian liquids. Annu. Rev. Fluid 2018, 50, 505–534. [Google Scholar] [CrossRef]
- Horowitz, M.; Williamson, C. The effect of Reynolds number on the dynamics and wakes of freely rising and falling spheres. J. Fluid Mech. 2010, 651, 251. [Google Scholar] [CrossRef]
- Jenny, M.; Dusek, J.; Bouchet, G. Instabilities and transition of a sphere falling or ascending freely in a Newtonian fluid. J. Fluid Mech. 2004, 508, 201. [Google Scholar] [CrossRef]
- Wu, J.; Manasseh, R. Dynamics of dual-particles settling under gravity. Int. J. Multiph. Flow 1998, 24, 1343–1358. [Google Scholar] [CrossRef]
- Nie, D.; Lin, J. Simulation of sedimentation of two spheres with different densities in a square tube. J. Fluid Mech. 2020, 896. [Google Scholar] [CrossRef]
- Apte, S.V.; Martin, M.; Patankar, N.A. A numerical method for fully resolved simulation (FRS) of rigid particle–flow interactions in complex flows. J. Comput. Phys. 2009, 228, 2712–2738. [Google Scholar] [CrossRef]
- Wacholder, E.; Sather, N. The hydrodynamic interaction of two unequal spheres moving under gravity through quiescent viscous fluid. J. Fluid Mech. 1974, 65, 417–437. [Google Scholar] [CrossRef]
- D’Avino, G.; Maffettone, P.L. Particle dynamics in viscoelastic liquids. J. Non Newton. Fluid Mech. 2015, 215, 80–104. [Google Scholar] [CrossRef]
- Kumar, G.; Natale, G. Settling dynamics of two spheres in a suspension of Brownian rods. Phys. Fluids 2019, 31, 073104. [Google Scholar] [CrossRef]
- Malhotra, S.; Sharma, M.M. Settling of spherical particles in unbounded and confined surfactant-based shear thinning viscoelastic fluids: An experimental study. Chem. Eng. Sci. 2012, 84, 646–655. [Google Scholar] [CrossRef]
- Uchiyama, S.; Noda, M.; Krayukhina, E. Sedimentation velocity analytical ultracentrifugation for characterization of therapeutic antibodies. Biophys. Rev. 2018, 10, 259–269. [Google Scholar] [CrossRef] [PubMed] [Green Version]
- Heyder, J. Deposition of inhaled particles in the human respiratory tract and consequences for regional targeting in respiratory drug delivery. Proc. Am. Thorac. Soc. 2004, 1, 315–320. [Google Scholar] [CrossRef] [PubMed]
- Hu, X.; Lin, J.; Chen, D.; Ku, X. Influence of non-Newtonian power law rheology on inertial migration of particles in channel flow. Biomicrofluidics 2020, 14, 014105. [Google Scholar] [CrossRef]
- Sulaymon, A.H.; Wilson, C.A.; Alwared, A.I. An experimental investigation of the settling behavior of two spheres in a power law fluid. J. Non Newton. Fluid Mech. 2013, 192, 29–36. [Google Scholar] [CrossRef]
- Hsu, J.-P.; Shie, C.-F.; Tseng, S. Sedimentation of a cylindrical particle in a Carreau fluid. J. Colloid Interface Sci. 2005, 286, 392–399. [Google Scholar] [CrossRef] [PubMed]
- Gheissary, G.; Van Den Brule, B. Unexpected phenomena observed in particle settling in non-Newtonian media. J. Non Newton. Fluid Mech. 1996, 67, 1–18. [Google Scholar] [CrossRef]
- Solomon, M.; Muller, S. Flow past a sphere in polystyrene-based Boger fluids: The effect on the drag coefficient of finite extensibility, solvent quality and polymer molecular weight. J. Non Newton. Fluid Mech. 1996, 62, 81–94. [Google Scholar] [CrossRef]
- Goyal, N.; Derksen, J. Direct simulations of spherical particles sedimenting in viscoelastic fluids. J. Non Newton. Fluid Mech. 2012, 183, 1–13. [Google Scholar] [CrossRef]
- Riddle, M.J.; Narvaez, C.; Bird, R.B. Interactions between two spheres falling along their line of centers in a viscoelastic fluid. J. Non Newton. Fluid Mech. 1977, 2, 23–35. [Google Scholar] [CrossRef]
- Joseph, D.; Liu, Y.; Poletto, M.; Feng, J. Aggregation and dispersion of spheres falling in viscoelastic liquids. J. Non Newton. Fluid Mech. 1994, 54, 45–86. [Google Scholar] [CrossRef]
- Bot, E.; Hulsen, M.; Van den Brule, B. The motion of two spheres falling along their line of centres in a Boger fluid. J. Non Newton. Fluid Mech. 1998, 79, 191–212. [Google Scholar] [CrossRef]
- Gumulya, M.; Horsley, R.; Pareek, V.; Lichti, D. The effects of fluid viscoelasticity on the settling behaviour of horizontally aligned spheres. Chem. Eng. Sci. 2011, 66, 5822–5831. [Google Scholar] [CrossRef]
- Pan, T.-W.; Chiu, S.-H.; Glowinski, R. Numerical study of two balls settling in viscoelastic fluids from an initial vertical configuration. Phys. Fluids 2019, 31, 123104. [Google Scholar]
- Freire, D.; Sarasúa, L.; Vernet, A.; Varela, S.; Usera, G.; Cabeza, C.; Martí, A. Separation regimes of two spheres falling in shear-thinning viscoelastic fluids. Phys. Rev. Fluids 2019, 4, 023302. [Google Scholar] [CrossRef]
- Eisenberg, D.; Klink, I.; Phillips, R. Axisymmetric sedimentation of spherical particles in a viscoelastic fluid: Sphere–wall and sphere–sphere interactions. J. Rheol. 2013, 57, 857–880. [Google Scholar] [CrossRef]
- Liu, C.; Shao, H.; Chen, F.; Zheng, H. Rheological properties of concentrated aqueous injectable calcium phosphate cement slurry. Biomaterials 2006, 27, 5003–5013. [Google Scholar] [CrossRef]
- Arigo, M.T.; McKinley, G.H. An experimental investigation of negative wakes behind spheres settling in a shear-thinning viscoelastic fluid. Rheol. Acta 1998, 37, 307–327. [Google Scholar] [CrossRef]
- Harlen, O.G. The negative wake behind a sphere sedimenting through a viscoelastic fluid. J. Non Newton. Fluid Mech. 2002, 108, 411–430. [Google Scholar] [CrossRef]
- Nie, D.; Lin, J.; Gao, Q. Settling behavior of two particles with different densities in a vertical channel. Comput. Fluids 2017, 156, 353–367. [Google Scholar] [CrossRef]
- Chhabra, R.P. Bubbles, Drops, and Particles in Non-Newtonian Fluids; CRC Press: Boca Raton, FL, USA, 2006. [Google Scholar]
- Reynolds, P.; Jones, T. An experimental study of the settling velocities of single particles in non-Newtonian fluids. Int. J. Mineral. Process. 1989, 25, 47–77. [Google Scholar] [CrossRef]
- Acharya, A.; Mashelkar, R.; Ulbrecht, J. Flow of inelastic and viscoelastic fluids past a sphere. Rheol. Acta 1976, 15, 454–470. [Google Scholar] [CrossRef]
- Lockyer, M.; Davies, J.; Jones, T. The importance of rheology in the determination of the carrying capacity of oil-drilling fluids. In Rheology; Springer: Berlin, Germany, 1980; pp. 127–132. [Google Scholar]
- Xu, R.; Tu, C.; Bao, F.; Yin, Z. Study on the dynamic characteristics of two side-by-side particles of different density settling in water. J. China Univ. Metrol. 2020, 31, 168–176. [Google Scholar]
- Fraggedakis, D.; Dimakopoulos, Y.; Tsamopoulos, J. Yielding the yield-stress analysis: A study focused on the effects of elasticity on the settling of a single spherical particle in simple yield-stress fluids. Soft Matter 2016, 12, 5378–5401. [Google Scholar] [CrossRef] [PubMed]
- Liu, M.-l. Numerical simulation of particle sedimentation in 3D rectangular channel. Appl. Math. Mech. 2011, 32, 1147. [Google Scholar] [CrossRef]
















| Material | Density (kg/m3) | Diameter (mm) |
|---|---|---|
| Silicon nitride ceramics (Si3N4) | 3200 | 9.525 |
| Zirconia ceramics (ZrO2) | 6000 | 9.525 |
| Stainless steel | 7930 | 9.525 |
Publisher’s Note: MDPI stays neutral with regard to jurisdictional claims in published maps and institutional affiliations. |
© 2021 by the authors. Licensee MDPI, Basel, Switzerland. This article is an open access article distributed under the terms and conditions of the Creative Commons Attribution (CC BY) license (https://creativecommons.org/licenses/by/4.0/).
Share and Cite
Yang, S.; Tu, C.; Dai, M.; Ge, X.; Xu, R.; Gao, X.; Bao, F. Sedimentation of Two Side-by-Side Heavy Particles of Different Density in a Shear-Thinning Fluid with Viscoelastic Properties. Appl. Sci. 2021, 11, 7113. https://doi.org/10.3390/app11157113
Yang S, Tu C, Dai M, Ge X, Xu R, Gao X, Bao F. Sedimentation of Two Side-by-Side Heavy Particles of Different Density in a Shear-Thinning Fluid with Viscoelastic Properties. Applied Sciences. 2021; 11(15):7113. https://doi.org/10.3390/app11157113
Chicago/Turabian StyleYang, Sensen, Chengxu Tu, Minglu Dai, Xianfu Ge, Rongjun Xu, Xiaoyan Gao, and Fubing Bao. 2021. "Sedimentation of Two Side-by-Side Heavy Particles of Different Density in a Shear-Thinning Fluid with Viscoelastic Properties" Applied Sciences 11, no. 15: 7113. https://doi.org/10.3390/app11157113
APA StyleYang, S., Tu, C., Dai, M., Ge, X., Xu, R., Gao, X., & Bao, F. (2021). Sedimentation of Two Side-by-Side Heavy Particles of Different Density in a Shear-Thinning Fluid with Viscoelastic Properties. Applied Sciences, 11(15), 7113. https://doi.org/10.3390/app11157113

