Fibers Effects on Contract Turbulence Using a Coupling Euler Model
Abstract
:1. Introduction
2. Coupling Models and Methods
2.1. Models
2.2. Mathematical Description of Fibers Orientation Distribution
2.3. Numerical Solution
2.4. Coupling Equations of Fiber Suspension Flow
2.5. Main Numerical Step for Coupling Simulation
- (1)
- Equations (15), (17), (20) and (23)with , are solved to get , , k and ε of Newtonian fluid.
- (2)
- Equation (1) is solved by Equations (6)~(13) to get f(x,φ).
- (3)
- Substitute f(x,φ) into , to get aijmn and aij.
- (4)
- Calculate μf with the fiber geometry and concentration parameters.
- (5)
- Substitute μf, aijmn, aij, , , k ε etc. to Equations (15), (17), (20) and (23) with Equations (16), (18), (19), (21), (22), (24) and (25) and update , , k and ε of suspension flow after iterative calculation.
- (6)
- Iteration ends if convergence, otherwise return to step (2) through (5).
3. Validation
4. Results and Discussion
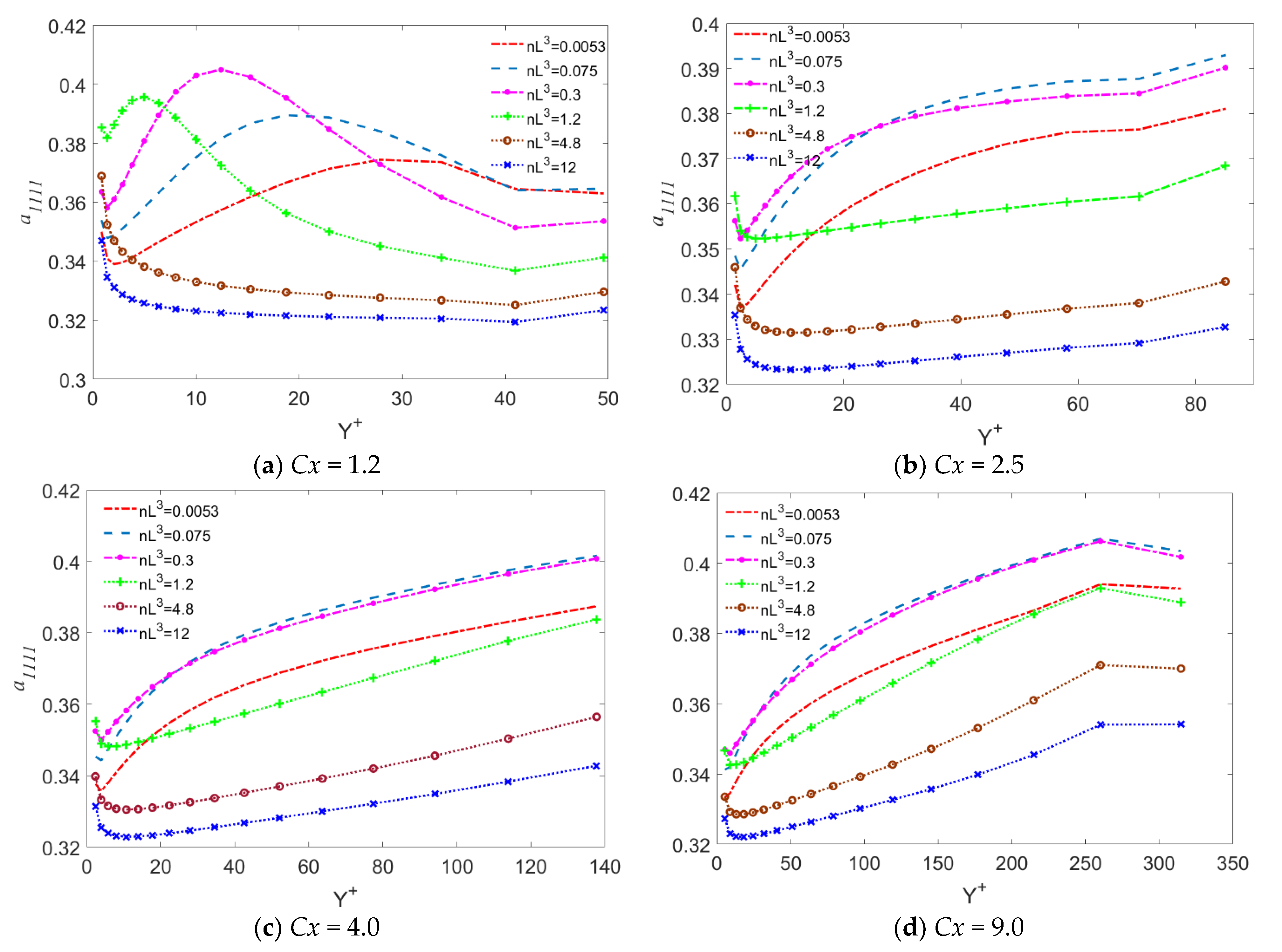
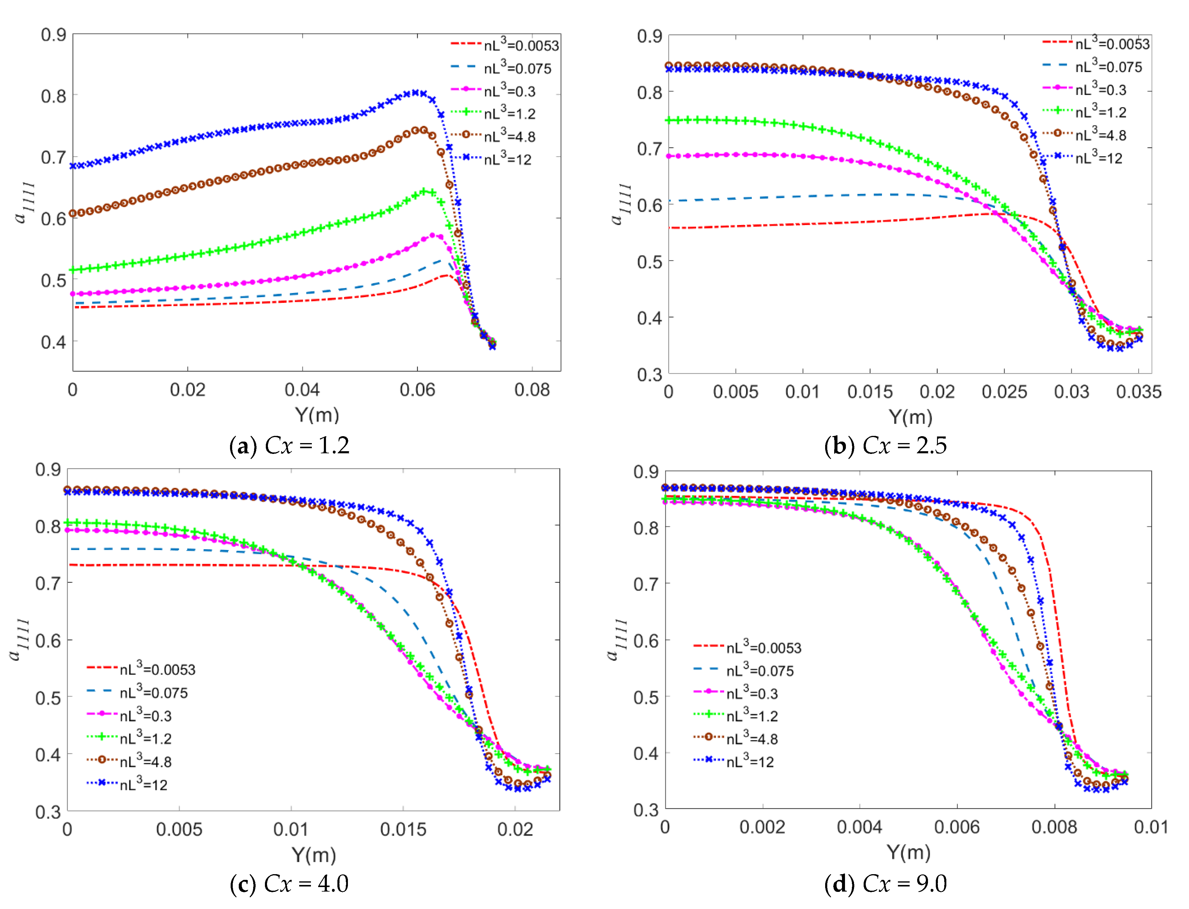
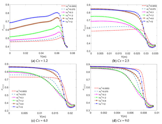
4.1. Effect of Fibers Concentrations on Fibers Orientation
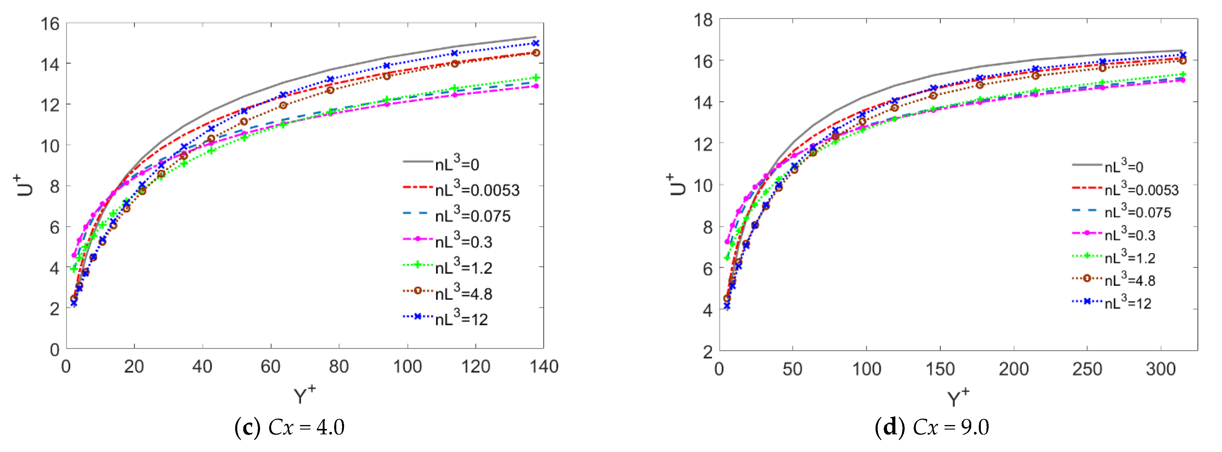
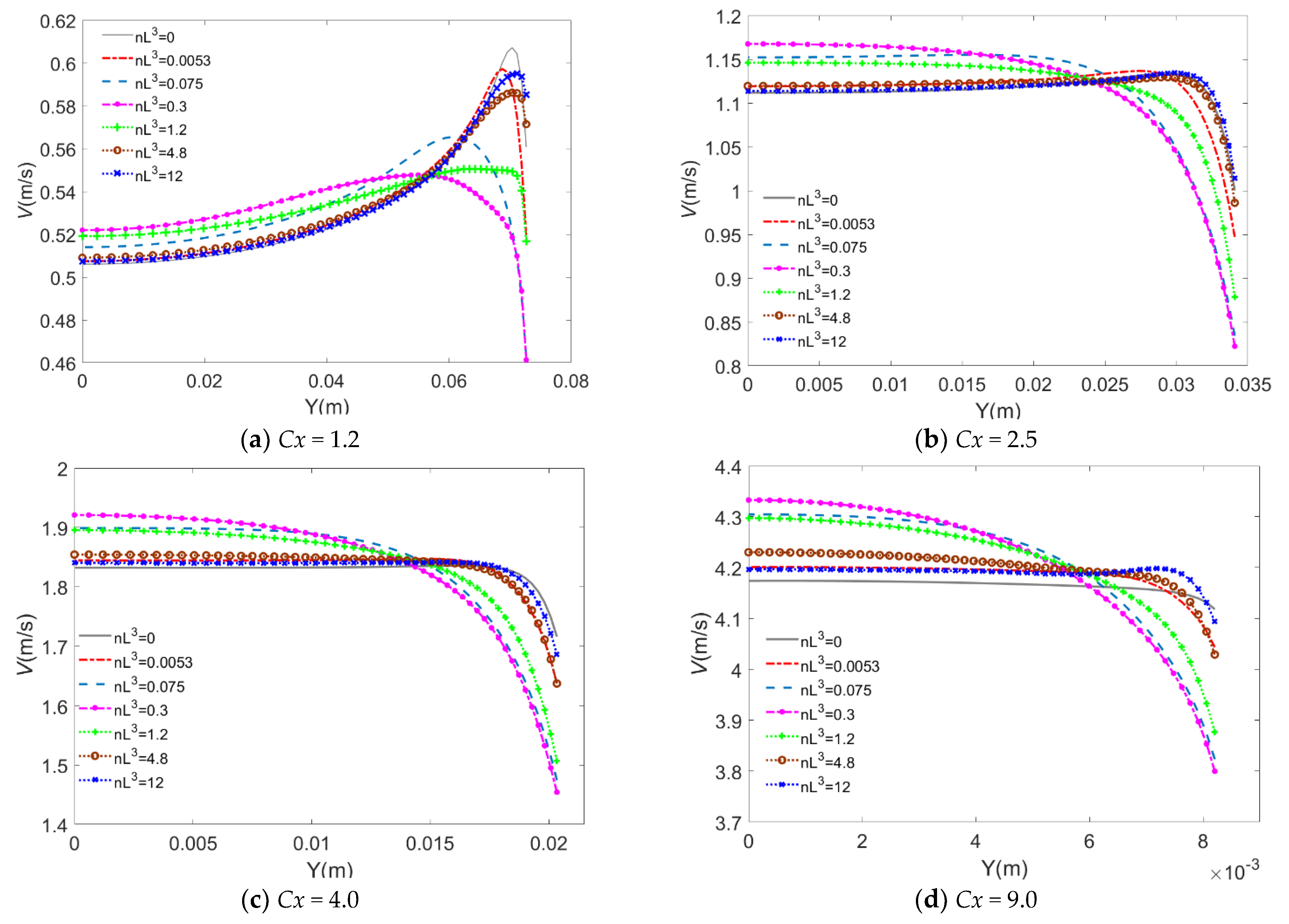
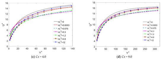
4.2. Effect of Fibers Concentrations on Suspension Flow
5. Conclusions
Author Contributions
Funding
Institutional Review Board Statement
Informed Consent Statement
Data Availability Statement
Conflicts of Interest
References
- Harris, J.B.; Pittman, J.F.T. Alignment of slender rod-like particles in suspension using converging flow. Trans. Inst. Chem. Eng. 1976, 54, 73. [Google Scholar]
- Ullmar, M.; Norman, B. Observation of Fiber Orientation in a Headbox Nozzle at Low Consistency; TAPPI Conference Papers; TAPPI: Peachtree Corners, GA, USA, 1997; p. 865. [Google Scholar]
- Ullmar, M. On Fiber Orientation Mechanism in a Headbox Nozzle. Licentiate Thesis, Royal Institute of Technology, Stockholm, Sweden, 1998. [Google Scholar]
- Zhang, X. Fibre Orientation in a Headbox. Master’s Thesis, The University of British Columbia, Vancouver, BC, Canada, 2001. [Google Scholar]
- Olson, J.A. The Motion of Fibre in turbulent flow, stochastic simulation of isotropic homogeneous turbulence. Int. J. Multiph. Flow 2001, 27, 2083–2103. [Google Scholar] [CrossRef]
- Olson, J.A.; Frigaard, I.; Chan, C.; Hämäläinen, J.P. Modeling a turbulent fibre suspension flowing in a planar contraction: The one-dimensional headbox. Int. J. Multiph. Flow 2004, 30, 51–66. [Google Scholar] [CrossRef]
- Parsheh, M.; Brown, M.L.; Aidun, C.K. On the orientation of stiff fibres suspended in turbulent flow in a planar contraction. J. Fluid Mech. 2005, 545, 245–269. [Google Scholar] [CrossRef]
- Parsheh, M.; Brown, M.L.; Aidun, C.K. Variation of fiber orientation in turbulent flow inside a planar contraction with different shapes. Int. J. Multiph. Flow 2006, 32, 1354–1369. [Google Scholar] [CrossRef]
- Lin, J.; Liang, X.; Zhang, S. Fibre Orientation Distribution in Turbulent Fibre Suspensions Flowing through an Axisymmetric Contraction. Can. J. Chem. Eng. 2011, 89, 1416–1425. [Google Scholar] [CrossRef]
- Lin, J.; Shen, S.; Ku, X. Characteristics of Fiber Suspension Flow in a Turbulent Boundary Layer. J. Eng. Fibers Fabr. 2013, 8, 17–29. [Google Scholar] [CrossRef]
- Wei, Y. Optimal contract wall for desired orientation of fibers and its effect on flow behavior. J. Hydrodyn. 2017, 29, 495–503. [Google Scholar]
- Olson, J.A.; Kerekes, R.J. The motion of fibres in turbulent flow. J. Fluid Mech. 1998, 377, 47–64. [Google Scholar] [CrossRef]
- Gillissen, J.J.J.; Boersma, B.J.; Mortensen, P.H.; Andersson, H.I. The stress generated by non-Brownian fibers in turbulent channel flow simulation. Phys. Fluids 2007, 19, 1–8. [Google Scholar] [CrossRef]
- Johnson, T.; Röyttä, P.; Mark, A.; Edelvik, F. Simulation of the spherical orientation probability distribution of paper fibers in an entire suspension using immersed boundary methods. J. Non-Newton. Fluid Mech. 2016, 229, 1–7. [Google Scholar] [CrossRef]
- Lin, J.Z.; Zhang, L.X.; Zhang, W.F. Rheological Behavior of Fiber Suspensions in a Turbulent Channel Flow. J. Colloid Interface Sci. 2006, 296, 721–728. [Google Scholar] [CrossRef] [PubMed]
- Lin, J.Z.; Zhang, S.L.; Olson, J.A. Effect of Fibers on the Flow Property of Turbulent Fiber Suspensions in a Contraction. Fibers Polym. 2007, 8, 60–65. [Google Scholar] [CrossRef]
- Lin, W.; Shi, R.; Lin, J. Distribution and Deposition of Cylindrical Nanoparticles in a Turbulent Pipe Flow. Appl. Sci. 2021, 11, 962. [Google Scholar] [CrossRef]
- Yang, W.; Zhou, K.; Zhao, Z.L.; Wan, Z.H. Study on the two-way coupling turbulent model and rheological properties for fiber suspension in the contraction. J. Non-Newton. Fluid Mech. 2017, 246, 1–9. [Google Scholar] [CrossRef]
- Batchelor, G.K. Slender-body theory for particles of arbitrary cross-section in stokes flow. J. Fluid Mech. 1970, 44, 419–440. [Google Scholar] [CrossRef]










| ε0 (m2/s3) | k0 (m2/s2) | u0 (m/s) | a | b |
|---|---|---|---|---|
| 3.05 × 10−3 | 1.034 × 10−3 | 0.4375 | 8.0 | 1.2 |
Publisher’s Note: MDPI stays neutral with regard to jurisdictional claims in published maps and institutional affiliations. |
© 2021 by the authors. Licensee MDPI, Basel, Switzerland. This article is an open access article distributed under the terms and conditions of the Creative Commons Attribution (CC BY) license (https://creativecommons.org/licenses/by/4.0/).
Share and Cite
Yang, W.; Hu, P. Fibers Effects on Contract Turbulence Using a Coupling Euler Model. Appl. Sci. 2021, 11, 7126. https://doi.org/10.3390/app11157126
Yang W, Hu P. Fibers Effects on Contract Turbulence Using a Coupling Euler Model. Applied Sciences. 2021; 11(15):7126. https://doi.org/10.3390/app11157126
Chicago/Turabian StyleYang, Wei, and Pei Hu. 2021. "Fibers Effects on Contract Turbulence Using a Coupling Euler Model" Applied Sciences 11, no. 15: 7126. https://doi.org/10.3390/app11157126
APA StyleYang, W., & Hu, P. (2021). Fibers Effects on Contract Turbulence Using a Coupling Euler Model. Applied Sciences, 11(15), 7126. https://doi.org/10.3390/app11157126
