Wide Scanning Angle Millimetre Wave 1 × 4 Planar Antenna Array on InP at 300 GHz
Abstract
:Featured Application
Abstract
1. Introduction
2. Design of the Unit-Cell
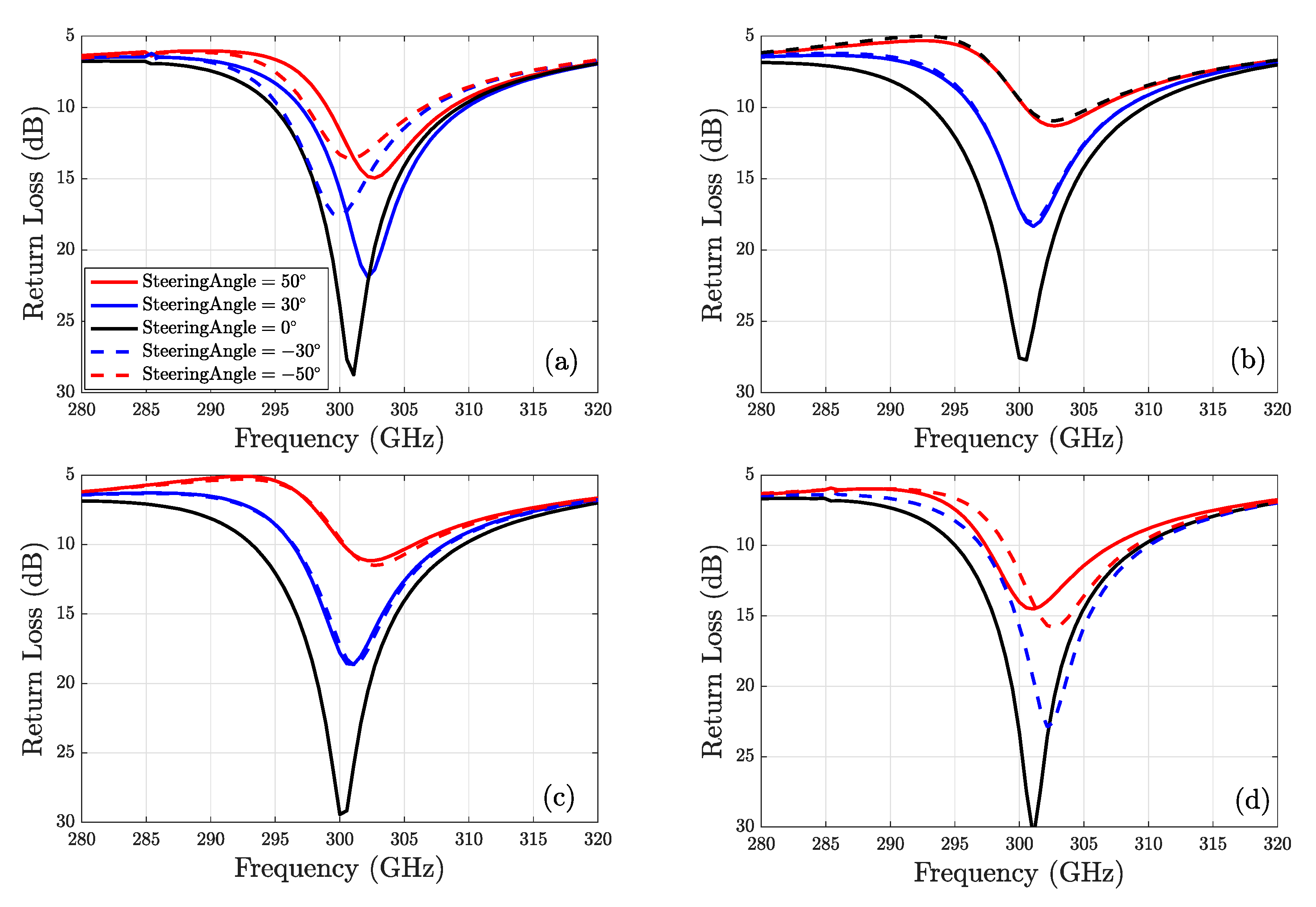
Array Design
3. Conclusions
Author Contributions
Funding
Institutional Review Board Statement
Informed Consent Statement
Data Availability Statement
Conflicts of Interest
References
- 3-D Body Holographic (Millimeter Wave) Scanner. Available online: https://www.pnnl.gov/available-technologies/3-d-body-holographic-millimeter-wave-scanner (accessed on 2 July 2021).
- Telefonica, E. Cloud RAN Architecture for 5G. 2016. Available online: http://www.hit.bme.hu/~jakab/edu/litr/5G/WhitePaper_C-RAN_for_5G_-Telefonica_Ericsson.PDF (accessed on 2 July 2021).
- Ducournau, G.; Szriftgiser, P.; Beck, A.; Bacquet, D.; Pavanello, F.; Peytavit, E.; Zaknoune, M.; Akalin, T.; Lampin, J.F. Ultrawide-Bandwidth Single-Channel 0.4-THz Wireless Link Combining Broadband Quasi-Optic Photomixer and Coherent Detection. IEEE Trans. Terahertz Sci. Technol. 2014, 4, 328–337. [Google Scholar] [CrossRef]
- Park, B.; Kim, D.; Kim, S.; Cho, Y.; Kim, J.; Kang, D.; Jin, S.; Moon, K.; Kim, B. High-Performance CMOS Power Amplifier With Improved Envelope Tracking Supply Modulator. IEEE Trans. Microw. Theory Tech. 2016, 64, 798–809. [Google Scholar] [CrossRef]
- Samoska, L.; Deal, W.R.; Chattopadhyay, G.; Pukala, D.; Fung, A.; Gaier, T.; Soria, M.; Radisic, V.; Mei, X.; Lai, R. A Submillimeter-Wave HEMT Amplifier Module With Integrated Waveguide Transitions Operating Above 300 GHz. IEEE Trans. Microw. Theory Tech. 2008, 56, 1380–1388. [Google Scholar] [CrossRef]
- Lin, C.; Liu, H.; Chu, C.; Huang, H.; Wang, Y.; Liu, C.; Chang, C.; Wu, C.; Chang, C. A Fully Matched Ku-band 9W PHEMT MMIC High Power Amplifier. In Proceedings of the 2006 IEEE Compound Semiconductor Integrated Circuit Symposium, San Antonio, TX, USA, 12–15 November 2006; pp. 165–168. [Google Scholar]
- Hussain, B.; Serafino, G.; Ghelfi, P.; Bogoni, A.; Stöhr, A. Via-Less Microstrip to Rectangular Waveguide Transition on InP. In Proceedings of the 2019 44th International Conference on Infrared, Millimeter, and Terahertz Waves (IRMMW-THz), Paris, France, 1–6 September 2019; pp. 1–2. [Google Scholar]
- Tsuchiya, M.; Hoshida, T.; Nishikawa, K. Seamless integration of fiber optic networks and millimeter-wave wireless access using nonlinear photo-detection scheme. In Proceedings of the International Topical Meeting on Microwave Photonics, Princeton, NJ, USA, 12–14 October 1998; pp. 75–78. [Google Scholar]
- Murata, H.; Kobayashi, N.; Okamura, Y.; Kosugi, T.; Enoki, T. Optical Response of InP-based High-Electron Mobility Transistor and its Applications to High-Speed Photo-Detectors and Signal Converters. In Proceedings of the 2007 IEEE 19th International Conference on Indium Phosphide Related Materials, Matsue, Japan, 14–18 May 2007; pp. 84–86. [Google Scholar]
- Serafino, G.; Scotti, F.; Lembo, L.; Hussain, B.; Porzi, C.; Malacarne, A.; Maresca, S.; Onori, D.; Ghelfi, P.; Bogoni, A. Towards a New Generation of Radar Systems Based on Microwave Photonic Technologies. J. Lightwave Technol. 2019, 37, 643–650. [Google Scholar] [CrossRef]
- Zhang, W.; Yao, J. Silicon-Based Integrated Microwave Photonics. IEEE J. Quantum Electron. 2016, 52, 1–12. [Google Scholar] [CrossRef]
- Gasulla, I.; Lloret, J.; Sancho, J.; Sales, S.; Capmany, J. Recent Breakthroughs in Microwave Photonics. IEEE Photonics J. 2011, 3, 311–315. [Google Scholar] [CrossRef]
- Capmany, J.; Novak, D. Microwave photonics combines two worlds. Nat. Photonics 2007, 1, 319–330. [Google Scholar] [CrossRef]
- Renaud, C.C.; Fice, M.J.; Ponnampalam, L.; Natrella, M.; Graham, C.; Seeds, A.J. Uni-travelling carrier photodetectors as THz detectors and emitters. In Proceedings of the Quantum Sensing and Nanophotonic Devices XII, San Francisco, CA, USA, 8–12 February 2015; Razeghi, M., Tournié, E., Brown, G.J., Eds.; SPIE: San Francisco, CA, USA, 2015; p. 93700B. [Google Scholar]
- Vogt, D.W.; Leonhardt, R. Plasmonic ridge THz waveguide based on metal micro pillars. In Proceedings of the 2016 41st International Conference on Infrared Millimeter and Terahertz Waves (IRMMW-THz), Copenhagen, Denmark, 25–30 September 2016; pp. 1–2. [Google Scholar]
- Mou, J.; Xue, Q.; Guo, D.; Lv, X. A THz Detector Chip With Printed Circular Cavity as Package and Enhancement of Antenna Gain. IEEE Trans. Antennas Propag. 2016, 64, 1242–1249. [Google Scholar] [CrossRef]
- Rey, S.; Ulm, D.; Kleine-Ostmann, T.; Kiirner, T. Performance evaluation of a first phased array operating at 300 GHz with horn elements. In Proceedings of the 2017 11th European Conference on Antennas and Propagation (EUCAP), Paris, France, 19–24 March 2017; pp. 1629–1633. [Google Scholar]
- Kanaya, H.; Koga, M.; Tsugami, K.; Eu, G.C.; Kato, K. 4 × 4 planar array antenna on indium phosphide substrate for 0.3-THz band application. In Proceedings of the Terahertz RF, Millimeter, and Submillimeter-Wave Technology and Applications X, San Francisco, CA, USA, 30 January–2 February 2017; Sadwick, L.P., Yang, T., Eds.; SPIE: California, CA, USA, 2017; p. 101031N. [Google Scholar]
- Vandenbosch, G.A.E. Capacitive matching of microstrip antennas. Electron. Lett. 1995, 31, 1535–1536. [Google Scholar] [CrossRef]
- IEEE Std 145-1993 (Revision of IEEE Std 145-1983) IEEE Standard Definitions of Terms for Antennas; The Institute of Electrical and Electronics Engineers, Inc.: New York, NY, USA, 1993; 40p.
- Kiani-Kharaji, M.; Hassani, H.R.; Mohammad-Ali-Nezhad, S. Wide scan phased array patch antenna with mutual coupling reduction. IET Microwaves Antennas Propag. 2018, 12, 1932–1938. [Google Scholar] [CrossRef]










Publisher’s Note: MDPI stays neutral with regard to jurisdictional claims in published maps and institutional affiliations. |
© 2021 by the authors. Licensee MDPI, Basel, Switzerland. This article is an open access article distributed under the terms and conditions of the Creative Commons Attribution (CC BY) license (https://creativecommons.org/licenses/by/4.0/).
Share and Cite
Hussain, B.; Salgado, H.M.; Pessoa, L.M. Wide Scanning Angle Millimetre Wave 1 × 4 Planar Antenna Array on InP at 300 GHz. Appl. Sci. 2021, 11, 7117. https://doi.org/10.3390/app11157117
Hussain B, Salgado HM, Pessoa LM. Wide Scanning Angle Millimetre Wave 1 × 4 Planar Antenna Array on InP at 300 GHz. Applied Sciences. 2021; 11(15):7117. https://doi.org/10.3390/app11157117
Chicago/Turabian StyleHussain, Bilal, Henrique M. Salgado, and Luís M. Pessoa. 2021. "Wide Scanning Angle Millimetre Wave 1 × 4 Planar Antenna Array on InP at 300 GHz" Applied Sciences 11, no. 15: 7117. https://doi.org/10.3390/app11157117
APA StyleHussain, B., Salgado, H. M., & Pessoa, L. M. (2021). Wide Scanning Angle Millimetre Wave 1 × 4 Planar Antenna Array on InP at 300 GHz. Applied Sciences, 11(15), 7117. https://doi.org/10.3390/app11157117

