Carbon Allotropes/Epoxy Nanocomposites as Capacitive Energy Storage/Harvesting Systems
Abstract
:Featured Application
Abstract
1. Introduction
2. Materials and Methods
2.1. Materials
2.2. Fabrication Method
2.3. Characterization Techniques
2.3.1. Morphological Characterization
2.3.2. Thermomechanical Characterization
2.3.3. Energy Storage
AC Measurements
DC Measurements
3. Results and Discussion
3.1. Morphological Characterization
3.2. Thermal and Mechanical Characterization
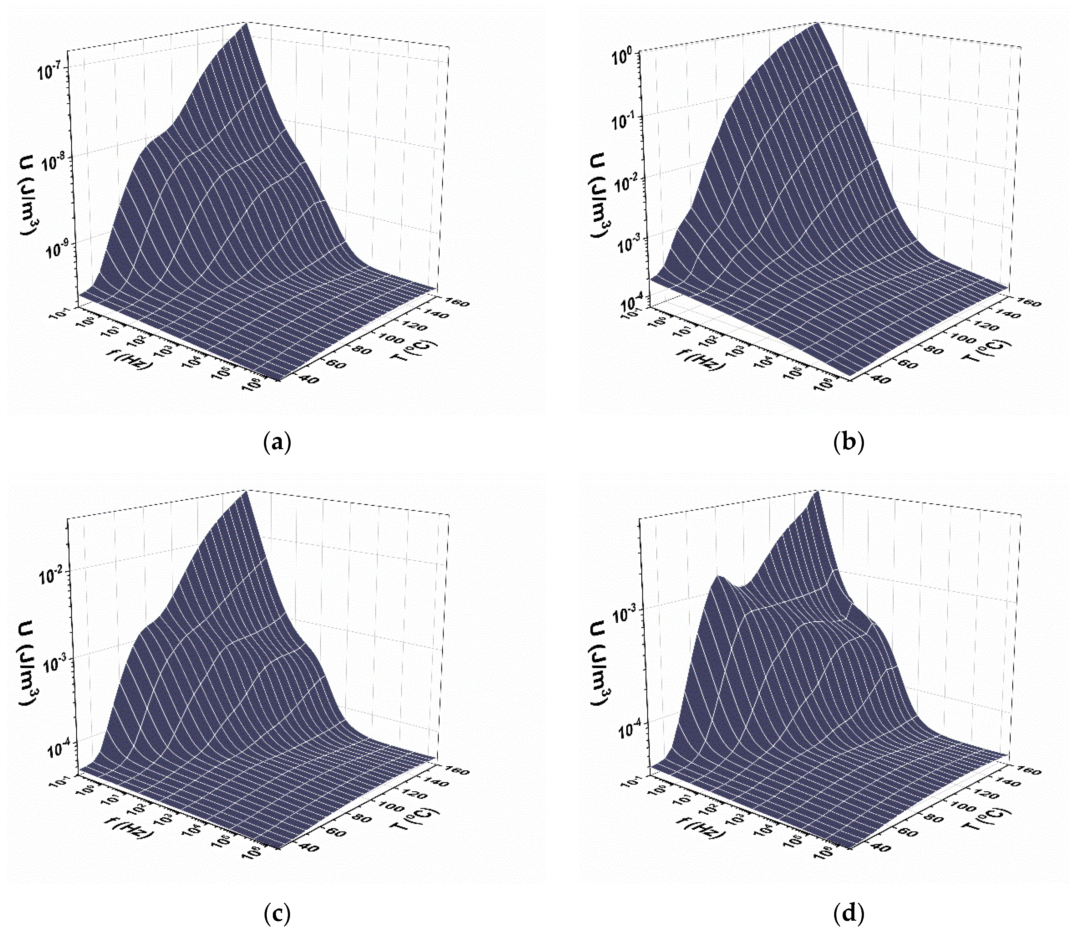
3.3. Energy Storage and Harvesting
3.3.1. AC Measurements
3.3.2. DC Measurements
4. Conclusions
Author Contributions
Funding
Institutional Review Board Statement
Informed Consent Statement
Data Availability Statement
Acknowledgments
Conflicts of Interest
References
- Psarras, G.C. ‘Energy Materials’... the role of polymers. Express Polym. Lett. 2016, 10, 721. [Google Scholar] [CrossRef]
- Jawaid, M.; Khan, M.M. Polymer-Based Nanocomposites for Energy and Environmental Applications: A Volume in Woodhead Publishing Series in Composites Science and Engineering; University of Ottawa Press: Ottawa, Canada, 2018; ISBN 9780081019115. [Google Scholar]
- Chen, S.; Skordos, A.; Thakur, V.K. Functional nanocomposites for energy storage: Chemistry and new horizons. Mater. Today Chem. 2020, 17, 100304. [Google Scholar] [CrossRef]
- Ahmed, S.; Banerjee, S.; Sundar, U.; Ruiz, H.; Kumar, S.; Weerasinghe, A. Energy Harvesting: Breakthrough Technologies Through Polymer Composites. In Smart Polymer Nanocomposites; Ponnamma, D., Sadasivuni, K.K., Cabibihan, J.-J., Al-Maadeed, M.A.-A., Eds.; Springer International Publishing AG: Cham, Switzerland, 2017; pp. 1–42. ISBN 978-3-319-50423-0. [Google Scholar]
- Trompeta, A.-F.; Koumoulos, E.; Stavropoulos, S.; Velmachos, T.; Psarras, G.; Charitidis, C. Assessing the critical multifunctionality threshold for optimal electrical, thermal, and nanomechanical properties of carbon nanotubes/epoxy nanocomposites for aerospace applications. Aerospace 2019, 6, 7. [Google Scholar] [CrossRef] [Green Version]
- Song, K.; Guo, J.Z.; Liu, C. Polymer-Based Multifunctional Nanocomposites and Their Applications; Elsevier: Amsterdam, The Netherlands, 2018; ISBN 9780128150672. [Google Scholar]
- Sanida, A.; Stavropoulos, S.G.; Speliotis, T.; Psarras, G.C. Investigating the effect of Zn ferrite nanoparticles on the thermomechanical, dielectric and magnetic properties of polymer nanocomposites. Materials 2019, 12, 3015. [Google Scholar] [CrossRef] [PubMed] [Green Version]
- Sanida, A.; Stavropoulos, S.G.; Speliotis, T.; Psarras, G.C. Probing the magnetoelectric response and energy efficiency in Fe3O4/epoxy nanocomposites. Polym. Test. 2020, 88, 106560. [Google Scholar] [CrossRef]
- Sanida, A.; Stavropoulos, S.G.; Speliotis, T.; Psarras, G.C. Development and characterization of multifunctional yttrium iron garnet/epoxy nanodielectrics. J. Therm. Anal. Calorim. 2020, 142, 1701–1708. [Google Scholar] [CrossRef]
- Sanida, A.; Stavropoulos, S.G.; Speliotis, T.; Psarras, G.C. Magneto-Dielectric behaviour of m-type hexaferrite/polymer nanocomposites. Materials 2018, 11, 2551. [Google Scholar] [CrossRef] [Green Version]
- Psarras, G.C. Conductivity and dielectric characterization of polymer nanocomposites. In Physical Properties and Applications of Polymer Nanocomposites; Tjong, S.C., Mai, Y.-W., Eds.; Woodhead Publishing: Cambridge, UK, 2010; pp. 31–69. ISBN 9781845696726. [Google Scholar]
- Manika, G.C.; Psarras, G.C. Energy storage and harvesting in BaTiO3/epoxy nanodielectrics. High Volt. 2016, 1, 151–157. [Google Scholar] [CrossRef]
- Manika, G.C.; Psarras, G.C. SrTiO3/epoxy nanodielectrics as bulk energy storage and harvesting systems: The role of conductivity. ACS Appl. Energy Mater. 2020, 3, 831–842. [Google Scholar] [CrossRef] [Green Version]
- Sanida, A.; Stavropoulos, S.G.; Speliotis, T.; Psarras, G.C. Development, characterization, energy storage and interface dielectric properties in SrFe12O19/epoxy nanocomposites. Polymer 2017, 120, 73–81. [Google Scholar] [CrossRef]
- Lewis, T.J. Interfaces: Nanometric dielectrics. J. Phys. D Appl. Phys. 2005, 38, 202–212. [Google Scholar] [CrossRef]
- Stavropoulos, S.G.; Sanida, A.; Psarras, G.C. A comparative study on the electrical properties of different forms of carbon allotropes–epoxy nanocomposites. Express Polym. Lett. 2020, 14, 477–490. [Google Scholar] [CrossRef]
- Galpaya, D.; Wang, M.; Liu, M.; Motta, N.; Waclawik, E.; Yan, C. Recent advances in fabrication and characterization of graphene-polymer nanocomposites. Graphene 2012, 1, 30–49. [Google Scholar] [CrossRef] [Green Version]
- Thakur, V.K.; Gupta, R.K. Recent progress on ferroelectric polymer-based nanocomposites for high energy density capacitors: Synthesis, dielectric properties, and future aspects. Chem. Rev. 2016, 116, 4260–4317. [Google Scholar] [CrossRef]
- Hanemann, T.; Szabó, D.V. Polymer-nanoparticle composites: From synthesis to modern applications. Materials 2010, 3, 3468–3517. [Google Scholar] [CrossRef]
- Ryu, J.; Eom, S.; Li, P.; Hao Liow, C.; Hong, S. Ferroelectric Polymer PVDF-Based Nanogenerator. In Nanogenerators; IntechOpen: London, UK, 2020. [Google Scholar]
- Guo, S.; Duan, X.; Xie, M.; Aw, K.C.; Xue, Q. Composites, fabrication and application of polyvinylidene fluoride for flexible electromechanical devices: A review. Micromachines 2020, 11, 1076. [Google Scholar] [CrossRef]
- Dang, Z.-M.; Yuan, J.-K.; Yao, S.-H.; Liao, R.-J. Flexible nanodielectric materials with high permittivity for power energy storage. Adv. Mater. 2013, 25, 6334–6365. [Google Scholar] [CrossRef]
- Barber, P.; Balasubramanian, S.; Anguchamy, Y.; Gong, S.; Wibowo, A.; Gao, H.; Ploehn, H.; Zur Loye, H.-C. Polymer composite and nanocomposite dielectric materials for pulse power energy storage. Materials 2009, 2, 1697–1733. [Google Scholar] [CrossRef]
- Liu, C.; Li, F.; Lai-Peng, M.; Cheng, H.M. Advanced materials for energy storage. Adv. Mater. 2010, 22, 28–62. [Google Scholar] [CrossRef]
- Manika, G.C.; Psarras, G.C. Barium titanate/epoxy resin composite nanodielectrics as compact capacitive energy storing systems. Express Polym. Lett. 2019, 13, 749–758. [Google Scholar] [CrossRef]
- Menczel, J.D.; Prime, R.B. Thermal analysis of polymers: Fundamentals and Applications; Menczel, J.D., Prime, R.B., Eds.; John Wiley & Sons, Inc.: New Jersey, NJ, USA, 2009; ISBN 9780471769170. [Google Scholar]
- Sanida, A.; Stavropoulos, S.G.; Psarras, G.C. A comparative thermomechanical study of ferrite/polymer nanocomposites. Procedia Struct. Integr. 2018, 10, 257–263. [Google Scholar] [CrossRef]
- Abraham, R.; Thomas, S.P.; Kuryan, S.; Isac, J.; Varughese, K.T.; Thomas, S. Mechanical properties of ceramic-polymer nanocomposites. Express Polym. Lett. 2009, 3, 177–189. [Google Scholar] [CrossRef]
- Saba, N.; Jawaid, M. A review on thermomechanical properties of polymers and fibers reinforced polymer composites. J. Ind. Eng. Chem. 2018, 67, 1–11. [Google Scholar] [CrossRef]
- Chen, Y.; Pan, F.; Guo, Z.; Liu, B.; Zhang, J. Stiffness threshold of randomly distributed carbon nanotube networks. J. Mech. Phys. Solids 2015, 84, 395–423. [Google Scholar] [CrossRef]
- Li, H.X.; Zare, Y.; Rhee, K.Y. The percolation threshold for tensile strength of polymer/CNT nanocomposites assuming filler network and interphase regions. Mater. Chem. Phys. 2018, 207, 76–83. [Google Scholar] [CrossRef]
- Nikfar, N.; Zare, Y.; Rhee, K.Y. Dependence of mechanical performances of polymer/carbon nanotubes nanocomposites on percolation threshold. Phys. B Condens. Matter 2018, 533, 69–75. [Google Scholar] [CrossRef]
- Psarras, G.C. Hopping conductivity in polymer matrix-metal particles composites. Compos. Part A Appl. Sci. Manuf. 2006, 37, 1545–1553. [Google Scholar] [CrossRef]









| Fillers | Size | Specific Surface |
|---|---|---|
| Carbon black (CB) nanoparticles | 13 nm | 500 m2/g |
| Graphene nanoplatelets (GnP) | Thickness: 1–4 nmLateral size up to 2 μm | 700–800 m2/g |
| Multi-walled carbon nanotubes (MWCNT) | Length: 1–10 μm (3–15 walls)Outer diameter: 5–20 nmInner diameter: 2–6 nm | 240 m2/g |
| Nanodiamonds grade G (ND) | 4 nm | 290–360 m2/g |
| DSC | |
|---|---|
| Temperature range | 0–100 °C |
| Heating rate | 5 °C/min |
| Module time | Data |
| Nitrogen flow | 50 mL/min |
| DMA | |
|---|---|
| Temperature range | Ambient–100 °C |
| Heating rate | 5 °C/min |
| Frequency | 1 Hz |
| Operating mode | Three-point bending |
| BDS | |
|---|---|
| Frequency range | 10−1–107 Hz |
| Temperature range | 30–160 °C |
| Temperature step | 5 °C/min |
| Stabilization time | 60 s |
| Vrms | 1 V |
| DC Measurements | |
|---|---|
| Applied Voltages | 50, 100, 250 V |
| Charging time | 60 s |
| Discharging time | 600 s |
| Temperature | Ambient |
| Specimens | CB | GnP | MWCNT | ND |
|---|---|---|---|---|
| Tg (°C) | Tg (°C) | Tg (°C) | Tg (°C) | |
| Epoxy | 44.6 | 44.6 | 44.6 | 44.6 |
| 0.1 phr | 43.7 | 52.0 | 51.7 | 53.2 |
| 1 phr | 46.4 | 53.3 | 51.8 | 54.0 |
| 3 phr | 55.6 | 53.9 | 53.7 | 53.5 |
| 5 phr | 56.1 | 58.8 | 52.1 | 53.3 |
| 7 phr | 56.3 | 55.3 | 51.7 | 53.7 |
| 10 phr | 57.4 | 54.9 | 50.2 | 52.4 |
Publisher’s Note: MDPI stays neutral with regard to jurisdictional claims in published maps and institutional affiliations. |
© 2021 by the authors. Licensee MDPI, Basel, Switzerland. This article is an open access article distributed under the terms and conditions of the Creative Commons Attribution (CC BY) license (https://creativecommons.org/licenses/by/4.0/).
Share and Cite
Stavropoulos, S.G.; Sanida, A.; Psarras, G.C. Carbon Allotropes/Epoxy Nanocomposites as Capacitive Energy Storage/Harvesting Systems. Appl. Sci. 2021, 11, 7059. https://doi.org/10.3390/app11157059
Stavropoulos SG, Sanida A, Psarras GC. Carbon Allotropes/Epoxy Nanocomposites as Capacitive Energy Storage/Harvesting Systems. Applied Sciences. 2021; 11(15):7059. https://doi.org/10.3390/app11157059
Chicago/Turabian StyleStavropoulos, Sotirios G., Aikaterini Sanida, and Georgios C. Psarras. 2021. "Carbon Allotropes/Epoxy Nanocomposites as Capacitive Energy Storage/Harvesting Systems" Applied Sciences 11, no. 15: 7059. https://doi.org/10.3390/app11157059
APA StyleStavropoulos, S. G., Sanida, A., & Psarras, G. C. (2021). Carbon Allotropes/Epoxy Nanocomposites as Capacitive Energy Storage/Harvesting Systems. Applied Sciences, 11(15), 7059. https://doi.org/10.3390/app11157059

