Advanced Scheme to Generate MHz, Fully Coherent FEL Pulses at nm Wavelength
Abstract
1. Introduction
2. Overview of Methods
2.1. Employing an Oscillator in Standard Seeding Schemes
- An oscillator-FEL starting with an external seed laser pulse. An external seed laser initiates the modulation of the first electron bunch and the bunch amplifies the seed pulse to compensate for the power losses in the cavity. The optical cavity feeds back the seed pulse which is used to modulate the following bunches. The shortest wavelength of the modulator is determined by the low repetition rate seed laser source and by the mirror availability.
- An oscillator-FEL starting from shot-noise. An electron bunch generates radiation along the modulator, which is amplified with the number of passes. This process can be divided into two phases. The “build-up regime”, where the net gain per pass needs to be positive to build up the peak power required for seeding, and the “steady-state regime” where the net gain needs to go back to zero so that the resonator losses are equal to the power gain. In order to transition between these two phases, an active control on the gain per pass is required. In addition, starting from noise means that a SASE spectrum is generated. This needs to be monochromatized. In this case, the shortest wavelength of the modulator is determined by the mirror availability.
2.1.1. High-Gain Harmonic Generation (HGHG)
2.1.2. Echo-Enabled Harmonic Generation (EEHG)
2.2. Employing an Oscillator-Based Seeding Scheme in an Accelerator in Continuous-Wave or Burst-Mode Operation
3. Resonator Considerations
3.1. A Simple Model for the Reflectivity Requirements and Estimated Power Level in the Cavity
- The input seed power needs to exceed the shot noise power of the electron beam by several orders of magnitude; otherwise, the SASE is not suppressed and the seeding process is not successful. Only a part of the seed power contributes to the exponential growth. Using for estimation the 1D cold FEL model this fraction amounts to 1/9. Assuming an excess of 3 orders of magnitude, the minimum input seed laser pulse peak power needs to be at least several 10 to 100 , depending on the exact electron beam parameters [45]. In addition, for seeding techniques it is required to induce an energy modulation of several times the initial energy spread which depends on the target harmonic to be amplified, the exact seeding scheme and the modulator length for given electron beam parameters. Typically, this requires a peak power that is larger than 100 .
- The saturation power downstream of the modulator needs to be well below the “natural” saturation to avoid large induced energy spread, which would suppress the amplification process at the amplifier. As a general rule, the energy spread downstream of the modulator relative to the electron beam energy E, should be considerably less than the FEL parameter of the amplifier [46], thus [45]. The maximum acceptable seed peak power after amplification in the modulator strongly depends on the length of the modulator with respect to the gain length, and thus on the power amplification and on the energy spread increase. For the sake of avoiding a specific parameter set, here we assume that saturation at the seed laser wavelength yields between 1 to several 10 . Assuming a margin of 3 orders of magnitude to avoid “heating” of the beam, the seed peak power after amplification needs to be limited to not more than several tens of .
3.2. Cavity Design Considerations
4. Simulation Results and Implementation Considerations for Oscillator-Based Seeding Starting from Shot Noise
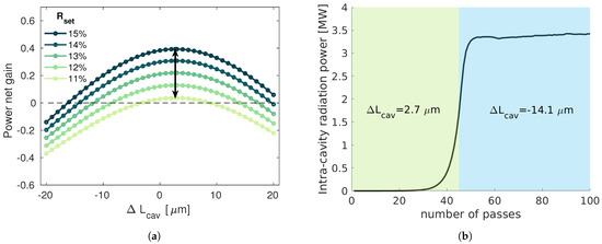
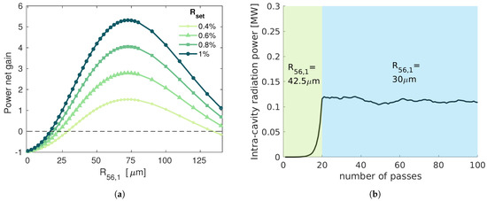
4.1. Reflectivity Adjustment
4.2. Longitudinal Overlap between Electron Bunch and the Recirculating Light Pulses
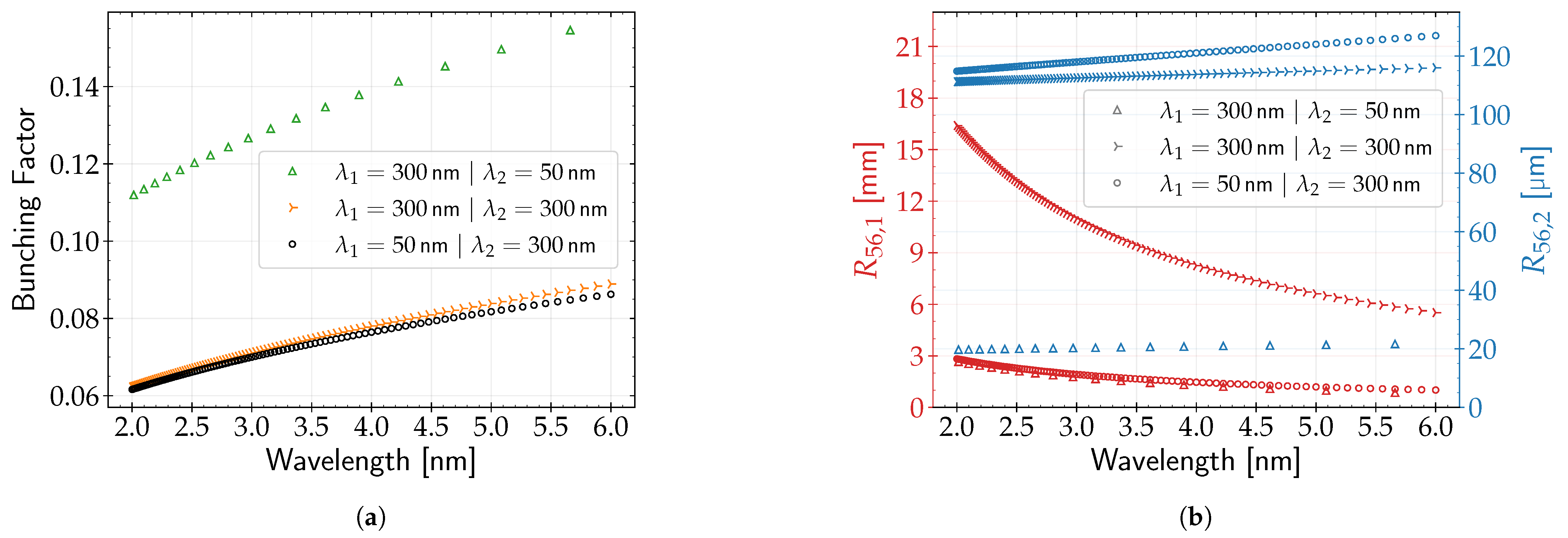
4.3. Optical Klystron
5. Comparison of Simulation Results
- A SASE setup, starting from shot noise and without changing any electron beam parameters. The FEL pulse is extracted at the same position as the seeding simulations.
- A single-pass standard HGHG setup, starting with an ideal Gaussian seed laser pulse instead.
- An HGHG seeded oscillator-amplifier starting with a low repetition rate seed laser. This scheme was discussed in detail in [22]. For the first electron bunch an external seed laser pulse is injected, and then the seed pulse is stored in the cavity.
- An HGHG seeded oscillator-amplifier system starting from shot noise. This was described in detail in Section 4. A reflectivity change from to was used to transition from positive to zero net gain.
6. Discussion
Author Contributions
Funding
Institutional Review Board Statement
Informed Consent Statement
Data Availability Statement
Acknowledgments
Conflicts of Interest
References
- Saldin, E.L.; Schneidmiller, E.A.; Yurkov, M.V. The Physics of Free Electron Lasers; Springer: Berlin/Heidelberg, Germany, 2000. [Google Scholar]
- Saldin, E.; Schneidmiller, E.; Yurkov, M. Statistical Properties of Radiation from VUV and X-ray Free Electron Laser. Opt. Commun. 1998, 148, 383–403. [Google Scholar] [CrossRef]
- Amann, J.; Berg, W.; Blank, V.; Decker, F.J.; Ding, Y.; Emma, P.; Feng, Y.; Frisch, J.; Fritz, D.; Hastings, J.; et al. Demonstration of self-seeding in a hard-X-ray free-electron laser. Nat. Photonics 2012, 6, 693–698. [Google Scholar] [CrossRef]
- Geloni, G.; Kocharyan, V.; Saldin, E. A novel self-seeding scheme for hard X-ray FELs. J. Mod. Opt. 2011, 58, 1391–1403. [Google Scholar] [CrossRef]
- Rosenzweig, J.; Alesini, D.; Andonian, G.; Boscolo, M.; Dunning, M.; Faillace, L.; Ferrario, M.; Fukusawa, A.; Giannessi, L.; Hemsing, E.; et al. Generation of ultra-short, high brightness electron beams for single-spike SASE FEL operation. Nucl. Instrum. Methods Phys. Res. Sect. Accel. Spectrometers Detect. Assoc. Equip. 2008, 593, 39–44. [Google Scholar] [CrossRef]
- Marinelli, A.; MacArthur, J.; Emma, P.; Guetg, M.; Field, C.; Kharakh, D.; Lutman, A.; Ding, Y.; Huang, Z. Experimental demonstration of a single-spike hard-X-ray free-electron laser starting from noise. Appl. Phys. Lett. 2017, 111, 151101. [Google Scholar] [CrossRef]
- Prince, K.; Allaria, E.; Callegari, C.; Cucini, R.; Giovanni, D.N.; Di Mitri, S.; Diviacco, B.; Ferrari, E.; Finetti, P.; Gauthier, D.; et al. Coherent control with a short-wavelength Free Electron Laser. Nat. Photonics 2016, 10, 176–179. [Google Scholar] [CrossRef]
- Gauthier, D.; Ribič, P.R.; De Ninno, G.; Allaria, E.; Cinquegrana, P.; Danailov, M.B.; Demidovich, A.; Ferrari, E.; Giannessi, L. Generation of Phase-Locked Pulses from a Seeded Free-Electron Laser. Phys. Rev. Lett. 2016, 116, 024801. [Google Scholar] [CrossRef] [PubMed]
- Gauthier, D.; Allaria, E.; Coreno, M.; Cudin, I.; Dacasa, H.; Danailov, M.; Demidovich, A.; Di Mitri, S.; Diviacco, B.; Ferrari, E.; et al. Chirped pulse amplification in an extreme-ultraviolet free-electron laser. Nat. Commun. 2016, 7, 13688. [Google Scholar] [CrossRef] [PubMed]
- Gorobtsov, O.; Mercurio, G.; Capotondi, F.; Skopintsev, P.; Lazarev, S.; Zaluzhnyy, I.; Danailov, M.; Dell’Angela, M.; Manfredda, M.; Pedersoli, E.; et al. Seeded X-ray free-electron laser generating radiation with laser statistical properties. Nat. Commun. 2018, 9, 4498. [Google Scholar] [CrossRef]
- Yu, L.H.; Babzien, M.; Ben-Zvi, I.; DiMauro, L.F.; Doyuran, A.; Graves, W.; Johnson, E.; Krinsky, S.; Malone, R.; Pogorelsky, I.; et al. High-Gain Harmonic-Generation Free-Electron Laser. Science 2000, 289, 932–934. [Google Scholar] [CrossRef]
- Allaria, E.; Cinquegrana, P.; Cleva, S.; Cocco, D.; Cornacchia, M.; Craievich, P.; Cudin, I.; D’Auria, G.; Dal Forno, M.; Danailov, M.; et al. Highly coherent and stable pulses from the FERMI seeded free-electron laser in the extreme ultraviolet. Nat. Photonics 2012, 6, 699–704. [Google Scholar] [CrossRef]
- Xiang, D.; Stupakov, G. Echo-enabled harmonic generation free electron laser. Phys. Rev. ST Accel. Beams 2009, 12, 030702. [Google Scholar] [CrossRef]
- Feng, C.; Deng, H.; Zhang, M.; Wang, X.; Chen, S.; Liu, T.; Zhou, K.; Gu, D.; Wang, Z.; Jiang, Z.; et al. Coherent extreme ultraviolet free-electron laser with echo-enabled harmonic generation. Phys. Rev. Accel. Beams 2019, 22, 050703. [Google Scholar] [CrossRef]
- Ribič, P.; Abrami, A.; Badano, L.; Bossi, M.; Braun, H.H.; Bruchon, N.; Capotondi, F.; Castronovo, D.; Cautero, M.; Cinquegrana, P.; et al. Coherent soft X-ray pulses from an echo-enabled harmonic generation free-electron laser. Nat. Photonics 2019, 13, 1–7. [Google Scholar] [CrossRef]
- Lechner, C.; Ackermann, S.; Azima, A.; Aßmann, R.; Biss, H.; Drescher, M.; Faatz, B.; Grattoni, V.; Hartl, I.; Hartwell, S.; et al. Seeding R&D at sFLASH. In Proceedings of the FEL’19, Geneva, Switzerland, 26–30 August 2019; Number 39 in Free Electron Laser Conference. pp. 230–233. [Google Scholar] [CrossRef]
- Yan, J.; Gao, Z.; Qi, Z.; Zhang, K.; Zhou, K.; Liu, T.; Chen, S.; Feng, C.; Li, C.; Feng, L.; et al. Self-Amplification of Coherent Energy Modulation in Seeded Free-Electron Lasers. Phys. Rev. Lett. 2021, 126, 084801. [Google Scholar] [CrossRef] [PubMed]
- Wang, X.; Feng, C.; Faatz, B.; Zhang, W.; Zhao, Z. Direct-Amplification Enabled Harmonic Generation for Seeding a High-Repetition-Rate Free-Electron Laser. 2021. Available online: http://xxx.lanl.gov/abs/2103.11971 (accessed on 10 May 2021).
- Ackermann, S.; Faatz, B.; Grattoni, V.; Lechner, C.; Paraskaki, G.; Geloni, G.; Serkez, S.; Tanikawa, T.; Hillert, W. High-Repetition-Rate Seeding Schemes Using a Resonator-Amplifier Setup. In Proceedings of the International Free Electron Laser Conference (FEL’19), Hamburg, Germany, 26–30 August 2019; Number 39 in International Free Electron Laser Conference. JACoW: Geneva, Switzerland, 2019. [Google Scholar] [CrossRef]
- Paraskaki, G.; Ackermann, S.; Faatz, B.; Grattoni, V.; Lechner, C.; Mehrjoo, M.; Geloni, G.; Serkez, S.; Tanikawa, T.; Hillert, W. Study of a Seeded Oscillator-Amplifier FEL. In Proceedings of the International Free Electron Laser Conference (FEL’19), Hamburg, Germany, 26–30 August 2019; Number 39 in International Free Electron Laser Conference. JACoW: Geneva, Switzerland, 2019. [Google Scholar] [CrossRef]
- Ackermann, S.; Faatz, B.; Grattoni, V.; Kazemi, M.M.; Lang, T.; Lechner, C.; Paraskaki, G.; Zemella, J.; Geloni, G.; Serkez, S.; et al. Novel method for the generation of stable radiation from free-electron lasers at high repetition rates. Phys. Rev. Accel. Beams 2020, 23, 071302. [Google Scholar] [CrossRef]
- Paraskaki, G.; Grattoni, V.; Lang, T.; Zemella, J.; Faatz, B.; Hillert, W. Optimization and stability of a high-gain harmonic generation seeded oscillator amplifier. Phys. Rev. Accel. Beams 2021, 24, 034801. [Google Scholar] [CrossRef]
- Dattoli, G.; Giannessi, L.; Ottaviani, P.; Torre, A. Dynamical behavior of a free-electron laser operating with a prebunched electron beam. Phys. Rev. E Stat. Phys. Plasmas Fluids Relat. Interdiscip. Top. 1994, 49, 5668–5678. [Google Scholar] [CrossRef]
- Dattoli, G.; Faatz, B.; Giannessi, L.; Ottaviani, P.L. The tandem FEL dynamic behavior. IEEE J. Quantum Electron. 1995, 31, 1584–1590. [Google Scholar] [CrossRef]
- Dattoli, G.; Giannessi, L.; Ottaviani, P. Oscillator-amplifier free electron laser devices with stable output power. J. Appl. Phys. 2004, 95, 3211. [Google Scholar] [CrossRef]
- Kim, K.J.; Shvyd’ko, Y.; Reiche, S. A Proposal for an X-Ray Free-Electron Laser Oscillator with an Energy-Recovery Linac. Phys. Rev. Lett. 2008, 100, 244802. [Google Scholar] [CrossRef]
- Nguyen, D.C.; Sheffield, R.L.; Fortgang, C.M.; Goldstein, J.C.; Kinross-Wright, J.M.; Ebrahim, N.A. First lasing of the regenerative amplifier FEL. Nucl. Instrum. Methods Phys. Res. A 1999, 429, 125–130. [Google Scholar] [CrossRef]
- Faatz, B.; Feldhaus, J.; Krzywinski, J.; Saldin, E.; Schneidmiller, E.; Yurkov, M. Regenerative FEL amplifier at the TESLA test facility at DESY. Nucl. Instrum. Methods Phys. Res. Sect. A Accel. Spectrometers Detect. Assoc. Equip. 1999, 429, 424–428. [Google Scholar] [CrossRef]
- Huang, Z.; Ruth, R.D. Fully Coherent X-ray Pulses from a Regenerative-Amplifier Free-Electron Laser. Phys. Rev. Lett. 2006, 96, 144801. [Google Scholar] [CrossRef]
- Freund, H.P.; van der Slot, P.J.M.; Shvyd’ko, Y. An X-ray regenerative amplifier free-electron laser using diamond pinhole mirrors. New J. Phys. 2019, 21, 093028. [Google Scholar] [CrossRef]
- Trovò, M.; Clarke, J.; Couprie, M.; Dattoli, G.; Garzella, D.; Gatto, A.; Giannessi, L.; Günster, S.; Kaiser, N.; Marsi, M.; et al. Operation of the European storage ring FEL at ELETTRA down to 190 nm. Nucl. Instrum. Methods Phys. Res. Sect. A Accel. Spectrometers Detect. Assoc. Equip. 2002, 483, 157–161. [Google Scholar] [CrossRef]
- Gandhi, P.; Penn, G.; Reinsch, M.; Wurtele, J.; Fawley, W. Oscillator seeding of a high gain harmonic generation free electron laser in a radiator-first configuration. Phys. Rev. Spec. Top. Accel. Beams 2013, 16, 020703. [Google Scholar] [CrossRef]
- Li, K.; Yan, J.; Feng, C.; Zhang, M.; Deng, H. High brightness fully coherent x-ray amplifier seeded by a free-electron laser oscillator. Phys. Rev. Accel. Beams 2018, 21, 040702. [Google Scholar] [CrossRef]
- Petrillo, V.; Bacci, A.; Rossi, A.R.; Serafini, L.; Drebot, I.; Conti, M.R.; Ruijter, M.; Opromolla, M.; Samsam, S.; Broggi, F.; et al. Coherent, high repetition rate tender X-ray Free-Electron Laser seeded by an Extreme Ultra-Violet Free-Electron Laser Oscillator. New J. Phys. 2020, 22, 073058. [Google Scholar] [CrossRef]
- Mirian, N.; Opromolla, M.; Rossi, G.; Serafini, L.; Petrillo, V. High-repetition rate and coherent free-electron laser in the tender x rays based on the echo-enabled harmonic generation of an ultraviolet oscillator pulse. Phys. Rev. Accel. Beams 2021, accepted. [Google Scholar]
- Newnam, B.E. Extreme ultraviolet free-electron laser-based projection lithography systems. Opt. Eng. 1991, 30, 1100–1108. [Google Scholar] [CrossRef]
- Penco, G.; Perosa, G.; Allaria, E.; Di Mitri, S.; Ferrari, E.; Giannessi, L.; Spampinati, S.; Spezzani, C.; Veronese, M. Enhanced seeded free electron laser performance with a “cold” electron beam. Phys. Rev. Accel. Beams 2020, 23, 120704. [Google Scholar] [CrossRef]
- Beye, M. FLASH2020+: Making FLASH Brighter, Faster and More Flexible: Conceptual Design Report; Verlag Deutsches Elektronen-Synchrotron: Hamburg, Germany, 2020; pp. 1–126. [Google Scholar] [CrossRef]
- Reiche, S. GENESIS 1.3: A fully 3D time-dependent FEL simulation code. Nucl. Instrum. Methods Phys. Res. Sect. A Accel. Spectrometers Detect. Assoc. Equip. 1999, 429, 243–248. [Google Scholar] [CrossRef]
- Faatz, B.; Plönjes, E.; Ackermann, S.; Agababyan, A.; Asgekar, V.; Ayvazyan, V.; Baark, S.; Baboi, N.; Balandin, V.; von Bargen, N.; et al. Simultaneous operation of two soft x-ray free-electron lasers driven by one linear accelerator. New J. Phys. 2016, 18, 062002. [Google Scholar] [CrossRef]
- Rossbach, J.; Schneider, J.R.; Wurth, W. 10 years of pioneering X-ray science at the Free-Electron Laser FLASH at DESY. Phys. Rep. 2019, 808, 1–74. [Google Scholar] [CrossRef]
- Nölle, D. FEL Operation at the European XFEL Facility. In Proceedings of the International Free Electron Laser Conference (FEL’19), Hamburg, Germany, 26–30 August 2019; Number 39 in International Free Electron Laser Conference. JACoW: Geneva, Switzerland, 2019. [Google Scholar] [CrossRef]
- Liu, T.; Dong, X.; Feng, C. Start-to-end Simulations of the Reflection Hard X-Ray Self-Seeding at the SHINE Project. In Proceedings of the FEL’19, Geneva, Switzerland, 26–30 August 2019; Number 39 in Free Electron Laser Conference. pp. 254–257. [Google Scholar] [CrossRef]
- Hemsing, E.; Marcus, G.; Fawley, W.M.; Schoenlein, R.W.; Coffee, R.; Dakovski, G.; Hastings, J.; Huang, Z.; Ratner, D.; Raubenheimer, T.; et al. Soft X-ray seeding studies for the SLAC Linac Coherent Light Source II. Phys. Rev. Accel. Beams 2019, 22, 110701. [Google Scholar] [CrossRef]
- Reiche, S. Overview of Seeding Methods for FELs. In Proceedings of the 4th International Particle Accelerator Conference, Shanghai, China, 12–17 May 2013. [Google Scholar]
- Xie, M. Design optimization for an X-ray free electron laser driven by SLAC LINAC. Conf. Proc. 1996, C950501, 183–185. [Google Scholar] [CrossRef]
- Hemsing, E.; Stupakov, G.; Xiang, D.; Zholents, A. Beam by design: Laser manipulation of electrons in modern accelerators. Rev. Mod. Phys. 2014, 86, 897–941. [Google Scholar] [CrossRef]
- Guenster, S.; Ristau, D.; Gatto, A.; Kaiser, N.; Trovo, M.; Danailov, M.; Sarto, F. VUV Optics Development for the Elettra Storage Ring FEL. In Proceedings of the 26th International Free Electron Laser Conference & 11th FEL Users Workshop, Trieste, Italy, 29 August–3 September 2004. [Google Scholar]
- Henke, B.; Gullikson, E.; Davis, J. X-ray Interactions: Photoabsorption, Scattering, Transmission, and Reflection at E = 50-30,000 eV, Z = 1-92. At. Data Nucl. Data Tables 1993, 54, 181–342. Available online: https://henke.lbl.gov/optical_constants/mirror2.html (accessed on 10 May 2021). [CrossRef]
- Agapov, I.; Geloni, G.; Tomin, S.; Zagorodnov, I. OCELOT: A software framework for synchrotron light source and FEL studies. Nucl. Instrum. Methods Phys. Res. A 2014, 768, 151–156. [Google Scholar] [CrossRef]
- Oepts, D.; van der Meer, A.; van Amersfoort, P. The Free-Electron-Laser user facility FELIX. Infrared Phys. Technol. 1995, 36, 297–308. [Google Scholar] [CrossRef]
- Jaroszynski, D.; Oepts, D.; Van Der Meer, A.; Van Amersfoort, P.; Colson, W. Consequences of short electron-beam pulses in the FELIX project. Nucl. Instrum. Methods Phys. Res. Sect. A Accel. Spectrometers Detect. Assoc. Equip. 1990, 296, 480–484. [Google Scholar] [CrossRef]
- Knippels, G.M.H.; Bakker, R.J.; van der Meer, A.F.G.; Jaroszynski, D.A.; Oepts, D.; van Amersfoort, P.W.; Hovenier, J.N. Dynamic cavity desynchronisation in FELIX. Nucl. Instrum. Methods Phys. Res. A 1994, 341, ABS26–ABS27. [Google Scholar] [CrossRef]
- MacLeod, A.M.; Yan, X.; Gillespie, W.A.; Knippels, G.M.H.; Oepts, D.; van der Meer, A.F.G.; Rella, C.W.; Smith, T.I.; Schwettman, H.A. Formation of low time-bandwidth product, single-sided exponential optical pulses in free-electron laser oscillators. Phys. Rev. E 2000, 62, 4216–4220. [Google Scholar] [CrossRef]
- Zhao, Z.Y.; Li, H.T.; Jia, Q.K. Effect of cavity length detuning on the output characteristics for the middle infrared FEL oscillator of FELiChEM. Chin. Phys. C 2017, 41, 108101. [Google Scholar] [CrossRef][Green Version]
- Kiessling, R.; Colson, W.B.; Gewinner, S.; Schöllkopf, W.; Wolf, M.; Paarmann, A. Femtosecond single-shot timing and direct observation of subpulse formation in an infrared free-electron laser. Phys. Rev. Accel. Beams 2018, 21, 080702. [Google Scholar] [CrossRef]
- Vinokurov, N.A.; Skrinsky, A.N. About the Maximum Power of an Optical Klystron on a Storage Ring; Report No. BINP 77-67; Budker Institute for Nuclear Physics: Novossibirsk, Russia, 1977. [Google Scholar]
- Dattoli, G.; Giannessi, L.; Ottaviani, P. MOPA optical klystron FELs and coherent harmonic generation. Nucl. Instrum. Methods Phys. Res. Sect. A Accel. Spectrometers Detect. Assoc. Equip. 2003, 507, 26–30. [Google Scholar] [CrossRef]
- Penco, G.; Allaria, E.; Ninno, G.D.; Ferrari, E.; Giannessi, L. Experimental Demonstration of Enhanced Self-Amplified Spontaneous Emission by an Optical Klystron. Phys. Rev. Lett. 2015, 114, 013901. [Google Scholar] [CrossRef]
- Penco, G.; Allaria, E.; De Ninno, G.; Ferrari, E.; Giannessi, L.; Roussel, E.; Spampinati, S. Optical Klystron Enhancement to Self Amplified Spontaneous Emission at FERMI. Photonics 2017, 4, 15. [Google Scholar] [CrossRef]
- Ding, Y.; Emma, P.; Huang, Z.; Kumar, V. Optical klystron enhancement to self-amplified spontaneous emission free electron lasers. Phys. Rev. ST Accel. Beams 2020, 9, 070702, Erratum in 2020, 23, 019901. [Google Scholar] [CrossRef]
- Geloni, G.; Guetg, M.; Serkez, S.; Schneidmiller, E. A Revision of Optical Klystron Enhancement Effects in SASE FELs. Phys. Rev. Accel. Beams. 2021, submitted. [Google Scholar]
- Keil, B.; Baldinger, R.; Ditter, R.; Gloor, M.; Koprek, W.; Marcellini, F.; Marinkovic, G.; Roggli, M.; Rohrer, M.; Stadler, M.; et al. Status of The European XFEL Transverse Intra Bunch Train Feedback System. In Proceedings of the International Beam Instrumentation Conference (IBIC2015), Melbourne, Australia, 13–17 September 2015; Number 4 in International Beam Instrumentation Conference. JACoW: Geneva, Switzerland, 2016; pp. 492–496. [Google Scholar] [CrossRef]
- Obier, F.; Decking, W.; Hüning, M.; Wortmann, J. Fast Kicker System for European XFEL Beam Distribution. In Proceedings of the 39th International Free-Electron Laser Conference, Hamburg, Germany, 26–30 August 2019; JACoW Publishing: Geneva, Switzerland, 2019; p. 4. [Google Scholar] [CrossRef]











| Electron Beam Parameters | |
|---|---|
| Energy | 1350 MeV |
| Energy spread | 120 keV |
| Peak current | 1 kA (flat-top) |
| Pulse duration | 300 fs |
| Normalized Emittance | 1 · rad |
| Peak Power | rms Pulse Duration | ||
|---|---|---|---|
| SASE | 3 MW | 75 fs | |
| Standard HGHG | GW | 20 fs | |
| multi-pass HGHG (seed) | GW | 27 fs | |
| multi-pass HGHG (shot-noise) | GW | fs | |
| single-pass EEHG | GW | fs |
Publisher’s Note: MDPI stays neutral with regard to jurisdictional claims in published maps and institutional affiliations. |
© 2021 by the authors. Licensee MDPI, Basel, Switzerland. This article is an open access article distributed under the terms and conditions of the Creative Commons Attribution (CC BY) license (https://creativecommons.org/licenses/by/4.0/).
Share and Cite
Paraskaki, G.; Ackermann, S.; Faatz, B.; Geloni, G.; Lang, T.; Pannek, F.; Schaper, L.; Zemella, J. Advanced Scheme to Generate MHz, Fully Coherent FEL Pulses at nm Wavelength. Appl. Sci. 2021, 11, 6058. https://doi.org/10.3390/app11136058
Paraskaki G, Ackermann S, Faatz B, Geloni G, Lang T, Pannek F, Schaper L, Zemella J. Advanced Scheme to Generate MHz, Fully Coherent FEL Pulses at nm Wavelength. Applied Sciences. 2021; 11(13):6058. https://doi.org/10.3390/app11136058
Chicago/Turabian StyleParaskaki, Georgia, Sven Ackermann, Bart Faatz, Gianluca Geloni, Tino Lang, Fabian Pannek, Lucas Schaper, and Johann Zemella. 2021. "Advanced Scheme to Generate MHz, Fully Coherent FEL Pulses at nm Wavelength" Applied Sciences 11, no. 13: 6058. https://doi.org/10.3390/app11136058
APA StyleParaskaki, G., Ackermann, S., Faatz, B., Geloni, G., Lang, T., Pannek, F., Schaper, L., & Zemella, J. (2021). Advanced Scheme to Generate MHz, Fully Coherent FEL Pulses at nm Wavelength. Applied Sciences, 11(13), 6058. https://doi.org/10.3390/app11136058

