Semiconductor Laser Linewidth Theory Revisited
Abstract
:1. Introduction
- (i)
- The first milestone is the discovery of the enhancement of the fraction of the spontaneous emission going into the lasing mode in gain-guided lasers and the derivation of a corresponding excess factor (K-factor) by Petermann [7]. Siegman recognized this effect as a general property of non-Hermitian laser cavities [8]. Later his discussion of the power-nonorthogonality of the transversal modes and its consequences was extended to the case of the power-nonorthogonality of the longitudinal modes of laser cavities [9]. In Ref. [10] it was discovered, that the longitudinal modes can become degenerate for certain parameter configurations resulting in an infinite K-factor. The occurrence of such exceptional points is not restricted to lasers but is inherent to non-Hermitian systems, see [11] for a recent review.
- (ii)
- The second milestone is the discovery of a linewidth enhancement in semiconductor gain materials caused by refractive index fluctuations in response to fluctuations of the carrier density. Due to gain clamping, intensity fluctuations (which have negligible direct effect on the linewidth) can cause substantial refractive index changes, which in turn lead to fluctuations of the phase. The magnitude of this amplitude-phase coupling is quantified by the linewidth enhancement factor or -factor introduced by Henry [12]. Later it was found that in DFB lasers the -factor has to be replaced by an effective factor [13] and a general expression for valid for distributed feedback (DFB), distributed Bragg reflector (DBR) and external cavity lasers was derived in [14].
- (iii)
- (iv)
- The forth milestone is related to the deterioration of the linewidth due to charge carriers injected into a phase tuning section within the cavity. Amann and Schimpe figured out that carrier noise is the origin resulting in an additional contribution to the linewidth, if the -factors are different in the gain and phase tuning sections [18].
- (v)
- The last milestone is the discovery of the enhancement of the linewidth due to fluctuations of the shape of the profile of the optical power in the cavity by Tromborg and co-workers [14], which is particularly important in the vicinity of instabilities [19,20]. The most sophisticated linewidth theory including fluctuations of the shape of the power profile was published in [21,22].
2. Prerequisites and Basic Assumptions
3. Equation of the Field Amplitude
4. Lorentzian Line Shape
5. Correlation Functions
6. Effective Linewidth Enhancement Factor
7. Spectral Linewidth
8. Impact of a Passive Section, Chirp Reduction Factor and the Fabry–Pérot Case
8.1. Linewidth of a Laser Consisting of a Gain Chip Subject to Feedback from an External Cavity
8.2. Linewidth of the Fabry–Pérot Laser Cavity
9. Population Inversion Factor
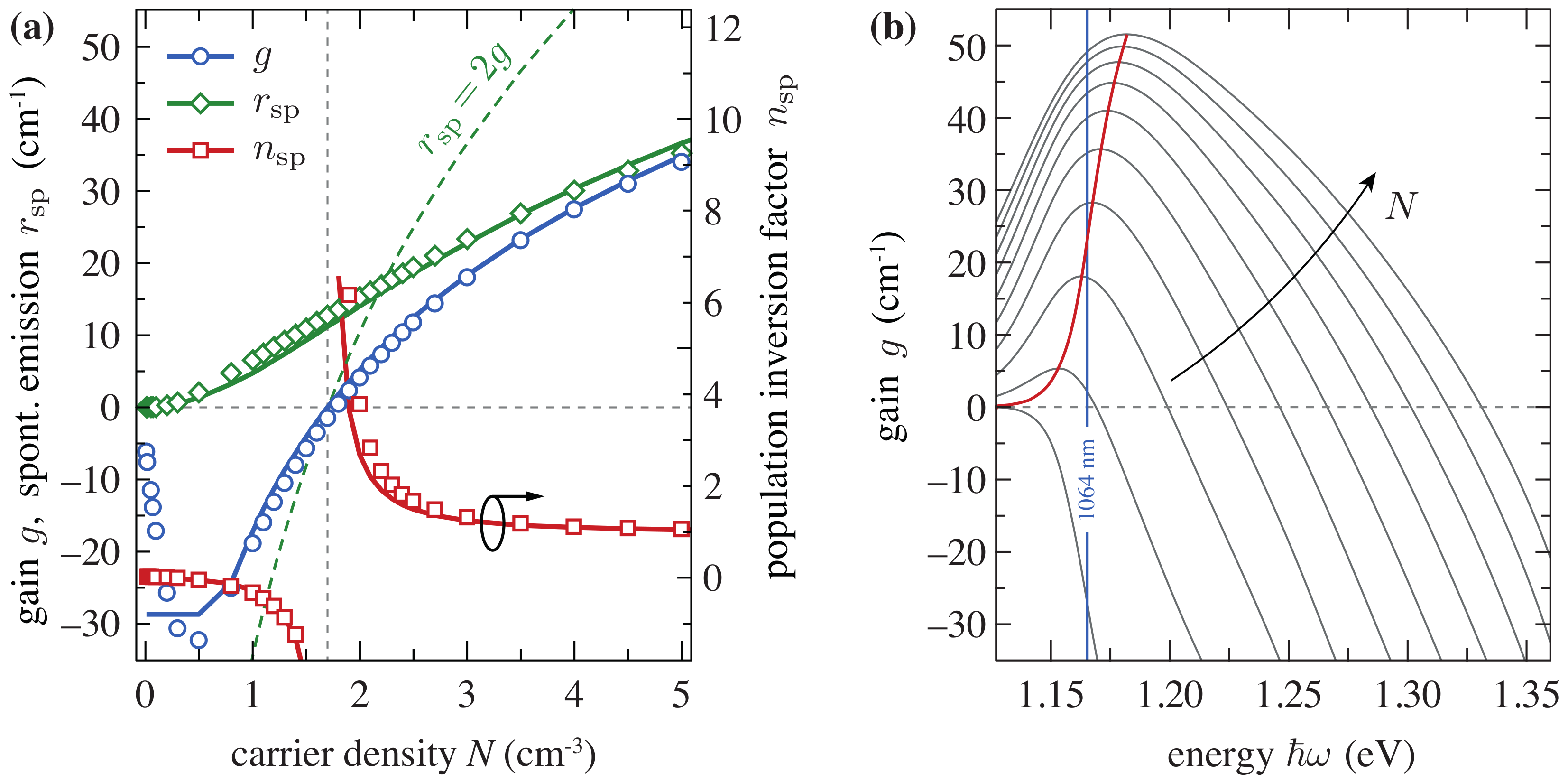
10. Numerical Results for a DBR Laser
11. Outlook
12. Summary
Funding
Institutional Review Board Statement
Informed Consent Statement
Data Availability Statement
Acknowledgments
Conflicts of Interest
Abbreviations
| CW | Continuous wave | 
| DBR | Distributed Bragg reflector | 
| DFB | Distributed feedback | 
| FP | Fabry–Pérot | 
| PSD | power spectral density | 
| FWHM | Full width at half maximum | 
| HWHM | Half width at half maximum | 
Appendix A. Dispersion Operator

Appendix B. Calculation of Derivative of r+
Appendix C. The Relation to Static Frequency Chirp
References
- Schawlow, A.L.; Townes, C.H. Infrared and optical masers. Phys. Rev. 1958, 112, 1940. [Google Scholar] [CrossRef] [Green Version]
- Haken, H. A nonlinear theory of laser noise and coherence. I. Z. Phys. 1964, 181, 96–124. [Google Scholar] [CrossRef]
- Lax, M. Classical noise V: Noise in self-sustained oscillators. Phys. Rev. 1967, 160, 290. [Google Scholar] [CrossRef]
- Haug, H.; Haken, H. Theory of noise in semiconductor laser emission. Z. Phys. A 1967, 204, 262–275. [Google Scholar] [CrossRef]
- Scully, M.O.; Lamb, W.E., Jr. Quantum theory of an optical maser. I. General theory. Phys. Rev. 1967, 159, 208. [Google Scholar] [CrossRef]
- Risken, H. Zur Statistik des Laserlichts. Fortschr. Phys. 1968, 16, 261–308. [Google Scholar] [CrossRef]
- Petermann, K. Calculated spontaneous emission factor for double-heterostructure injection lasers with gain-induced waveguiding. IEEE J. Quantum Electron. 1979, 15, 566–570. [Google Scholar] [CrossRef]
- Siegman, A. Excess spontaneous emission in non-Hermitian optical systems. II. Laser oscillators. Phys. Rev. A 1989, 39, 1264. [Google Scholar] [CrossRef]
- Hamel, W.; Woerdman, J. Nonorthogonality of the longitudinal eigenmodes of a laser. Phys. Rev. A 1989, 40, 2785. [Google Scholar] [CrossRef]
- Wenzel, H.; Bandelow, U.; Wünsche, H.J.; Rehberg, J. Mechanisms of fast self pulsations in two-section DFB lasers. IEEE J. Quantum Electron. 1996, 32, 69–78. [Google Scholar] [CrossRef]
- Özdemir, Ş.K.; Rotter, S.; Nori, F.; Yang, L. Parity–time symmetry and exceptional points in photonics. Nat. Mater. 2019, 18, 783–798. [Google Scholar] [CrossRef]
- Henry, C.H. Theory of the linewidth of semiconductor lasers. IEEE J. Quantum Electron. 1982, 18, 259–264. [Google Scholar] [CrossRef]
- Amann, M.C. Linewidth enhancement in distributed-feedback semiconductor lasers. Electron. Lett. 1990, 26, 569–571. [Google Scholar] [CrossRef]
- Tromborg, B.; Olesen, H.; Pan, X. Theory of linewidth for multielectrode laser diodes with spatially distributed noise sources. IEEE J. Quantum Electron. 1991, 27, 178–192. [Google Scholar] [CrossRef]
- Patzak, E.; Sugimura, A.; Saito, S.; Mukai, T.; Olesen, H. Semiconductor laser linewidth in optical feedback configurations. Electron. Lett. 1983, 19, 1026–1027. [Google Scholar] [CrossRef]
- Kazarinov, R.; Henry, C.H. The relation of line narrowing and chirp reduction resulting from the coupling of a semiconductor laser to passive resonator. IEEE J. Quantum Electron. 1987, 23, 1401–1409. [Google Scholar] [CrossRef]
- Tromborg, B.; Olesen, H.; Pan, X.; Saito, S. Transmission line description of optical feedback and injection locking for Fabry–Perot and DFB lasers. IEEE J. Quantum Electron. 1987, 23, 1875–1889. [Google Scholar] [CrossRef]
- Amann, M.C.; Schimpe, R. Excess linewidth broadening in wavelength-tunable laser diodes. Electron. Lett. 1990, 26, 279–280. [Google Scholar] [CrossRef]
- Olesen, H.; Tromborg, B.; Lassen, H.; Pan, X. Mode instability and linewidth rebroadening in DFB lasers. Electron. Lett. 1992, 28, 444–446. [Google Scholar] [CrossRef]
- Schatz, R. Longitudinal spatial instability in symmetric semiconductor lasers due to spatial hole burning. IEEE J. Quantum Electron. 1992, 28, 1443–1449. [Google Scholar] [CrossRef]
- Olesen, H.; Tromborg, B.; Pan, X.; Lassen, H. Stability and dynamic properties of multi-electrode laser diodes using a Green’s function approach. IEEE J. Quantum Electron. 1993, 29, 2282–2301. [Google Scholar] [CrossRef]
- Tromborg, B.; Lassen, H.E.; Olesen, H. Traveling wave analysis of semiconductor lasers: Modulation responses, mode stability and quantum mechanical treatment of noise spectra. IEEE J. Quantum Electron. 1994, 30, 939–956. [Google Scholar] [CrossRef]
- Lax, M. Classical noise IV: Langevin methods. Rev. Mod. Phys 1966, 38, 541–566. [Google Scholar] [CrossRef]
- Lax, M. Quantum noise. IV. Quantum theory of noise sources. Phys. Rev. 1966, 145, 110. [Google Scholar] [CrossRef]
- Marani, R.; Lax, M. Spontaneous emission in non-Hermitian optical systems: Distributed-feedback semiconductor lasers. Phys. Rev. A 1995, 52, 2376. [Google Scholar] [CrossRef] [PubMed]
- Henry, C.H.; Kazarinov, R.F. Quantum noise in photonics. Rev. Mod. Phys. 1996, 68, 801. [Google Scholar] [CrossRef]
- Henry, C.H. Theory of spontaneous emission noise in open resonators and its application to lasers and optical amplifiers. J. Light. Technol. 1986, 4, 288–297. [Google Scholar] [CrossRef]
- Lasher, G.; Stern, F. Spontaneous and stimulated recombination radiation in semiconductors. Phys. Rev. 1964, 133, A553. [Google Scholar] [CrossRef]
- Agrawal, G.P.; Dutta, N.K. Semiconductor Lasers, 2nd ed.; Kluwer Academic Publishers: Boston, MA, USA, 1993. [Google Scholar] [CrossRef]
- Radziunas, M. Traveling wave modeling of nonlinear dynamics in multisection laser diodes. In Handbook of Optoelectronic Device Modeling & Simulation Volume II: Lasers, Modulators, Photodetectors, Solar Cells, and Numerical Methods; CRC Press: Boca Raton, FL, USA, 2017; pp. 153–182. [Google Scholar] [CrossRef]
- Sieber, J.; Bandelow, U.; Wenzel, H.; Wolfrum, M.; Wünsche, H.J. Travelling wave equations for semiconductor lasers with gain dispersion. WIAS Preprint 1998, 459, 1–13. [Google Scholar] [CrossRef]
- Joyce, W.B. Current-crowded carrier confinement in double-heterostructure lasers. J. Appl. Phys. 1980, 51, 2394–2401. [Google Scholar] [CrossRef]
- Zeghuzi, A.; Radziunas, M.; Wenzel, H.; Wünsche, H.J.; Bandelow, U.; Knigge, A. Modeling of current spreading in high-power broad-area lasers and its impact on the lateral far field divergence. Proc. SPIE 2018, 10526, 105261H. [Google Scholar] [CrossRef]
- Bandelow, U.; Wenzel, H.; Wünsche, H.J. Influence of inhomogeneous injection on sidemode suppression in strongly coupled DFB semiconductor lasers. Electron. Lett. 1992, 28, 1324–1326. [Google Scholar] [CrossRef]
- Lassen, H.E.; Wenzel, H.; Tromborg, B. Influence of series resistance on modulation responses of DFB lasers. Electron. Lett. 1993, 29, 1124–1126. [Google Scholar] [CrossRef]
- Ning, C.Z.; Indik, R.; Moloney, J. Effective Bloch equations for semiconductor lasers and amplifiers. IEEE J. Quantum Electron. 1997, 33, 1543–1550. [Google Scholar] [CrossRef]
- Bandelow, U.; Radziunas, M.; Sieber, J.; Wolfrum, M. Impact of gain dispersion on the spatio-temporal dynamics of multisection lasers. IEEE J. Quantum Electron. 2001, 37, 183–188. [Google Scholar] [CrossRef]
- Krüger, U.; Petermann, K. The semiconductor laser linewidth due to the presence of side modes. IEEE J. Quantum Electron. 1988, 24, 2355–2358. [Google Scholar] [CrossRef]
- Pan, X.; Tromborg, B.; Olesen, H. Linewidth rebroadening in DFB lasers due to weak side modes. IEEE Photonic Tech. L. 1991, 3, 112–114. [Google Scholar] [CrossRef]
- Gardiner, C. Stochastic Methods: A Handbook for the Natural and Social Sciences; Springer: Berlin/Heidelberg, Germany, 2009. [Google Scholar]
- Agrawal, G.P.; Roy, R. Effect of injection-current fluctuations on the spectral linewidth of semiconductor lasers. Phys. Rev. A 1988, 37, 2495. [Google Scholar] [CrossRef]
- Di Domenico, G.; Schilt, S.; Thomann, P. Simple approach to the relation between laser frequency noise and laser line shape. Appl. Opt. 2010, 49, 4801–4807. [Google Scholar] [CrossRef]
- Woods, N.D.; Payne, M.C.; Hasnip, P.J. Computing the self-consistent field in Kohn–Sham density functional theory. J. Phys. Condens. Matter 2019, 31, 453001. [Google Scholar] [CrossRef] [Green Version]
- Landau, L.D.; Lifshitz, E.M. Course of Theoretical Physics Vol. 5: Statistical Physics (Part 1); Butterworth–Heinemann: Amsterdam, The Netherlands, 1980. [Google Scholar] [CrossRef]
- Vahala, K.; Yariv, A. Semiclassical theory of noise in semiconductor lasers-Part II. IEEE J. Quantum Electron. 1983, 19, 1102–1109. [Google Scholar] [CrossRef]
- Henry, C.H. Phase noise in semiconductor lasers. J. Light. Technol. 1986, 4, 298–311. [Google Scholar] [CrossRef]
- Baets, R.G.; David, K.; Morthier, G. On the distinctive features of gain coupled DFB lasers and DFB lasers with second-order grating. IEEE J. Quantum Electron. 1993, 29, 1792–1798. [Google Scholar] [CrossRef]
- Chow, W.W.; Koch, S.W.; Sargent, M.I. Semiconductor-Laser Physics; Springer Science & Business Media: Berlin/Heidelberg, Germany, 1994. [Google Scholar] [CrossRef]
- Osinski, M.; Buus, J. Linewidth broadening factor in semiconductor lasers—An overview. IEEE J. Quantum Electron. 1987, 23, 9–29. [Google Scholar] [CrossRef]
- Champagne, Y.; McCarthy, N. Global excess spontaneous emission factor of semiconductor lasers with axially varying characteristics. IEEE J. Quantum Electron. 1992, 28, 128–135. [Google Scholar] [CrossRef]
- Wenzel, H.; Wünsche, H.J. An equation for the amplitudes of the modes in semiconductor lasers. IEEE J. Quantum Electron. 1994, 30, 2073–2080. [Google Scholar] [CrossRef]
- Pick, A.; Cerjan, A.; Liu, D.; Rodriguez, A.W.; Stone, A.D.; Chong, Y.D.; Johnson, S.G. Ab initio multimode linewidth theory for arbitrary inhomogeneous laser cavities. Phys. Rev. A 2015, 91, 063806. [Google Scholar] [CrossRef] [Green Version]
- Komljenovic, T.; Srinivasan, S.; Norberg, E.; Davenport, M.; Fish, G.; Bowers, J.E. Widely tunable narrow-linewidth monolithically integrated external-cavity semiconductor lasers. IEEE J. Sel. Top. Quantum Electron. 2015, 21, 214–222. [Google Scholar] [CrossRef]
- Tran, M.A.; Huang, D.; Bowers, J.E. Tutorial on narrow linewidth tunable semiconductor lasers using Si/III-V heterogeneous integration. APL Photonics 2019, 4, 111101. [Google Scholar] [CrossRef] [Green Version]
- Boller, K.J.; van Rees, A.; Fan, Y.; Mak, J.; Lammerink, R.E.; Franken, C.A.; van der Slot, P.J.; Marpaung, D.A.; Fallnich, C.; Epping, J.P.; et al. Hybrid integrated semiconductor lasers with silicon nitride feedback circuits. Photonics 2020, 7, 4. [Google Scholar] [CrossRef] [Green Version]
- Coldren, L.A.; Corzine, S.W.; Mashanovitch, M.L. Diode Lasers and Photonic Integrated Circuits; John Wiley & Sons: Hoboken, NJ, USA, 2012. [Google Scholar] [CrossRef]
- Spießberger, S.; Schiemangk, M.; Wicht, A.; Wenzel, H.; Erbert, G.; Tränkle, G. DBR laser diodes emitting near 1064 nm with a narrow intrinsic linewidth of 2 kHz. Appl. Phys. B 2011, 104, 813. [Google Scholar] [CrossRef]
- Wenzel, H.; Erbert, G.; Enders, P.M. Improved theory of the refractive-index change in quantum-well lasers. IEEE J. Sel. Top. Quantum Electron. 1999, 5, 637–642. [Google Scholar] [CrossRef]
- Wenzel, H.; Klehr, A.; Erbert, G.; Sebastian, J.; Tränkle, G.; Pereira, M., Jr. Effect of band gap renormalization on threshold current and efficiency of a distributed Bragg reflector laser. Appl. Phys. Lett. 2000, 76, 2653–2655. [Google Scholar] [CrossRef]
- Brox, O.; Wenzel, H.; Fricke, J.; Della Casa, P.; Maaßdorf, A.; Matalla, M.; Wenzel, S.; Wicht, A.; Knigge, A. Novel 1064 nm DBR lasers combining active layer removal and surface gratings. Electron. Lett. 2021. [Google Scholar] [CrossRef]
- Schiemangk, M.; Spießberger, S.; Wicht, A.; Erbert, G.; Tränkle, G.; Peters, A. Accurate frequency noise measurement of free-running lasers. Appl. Opt. 2014, 53, 7138–7143. [Google Scholar] [CrossRef]
- Batrak, D.V.; Sof’ya, A.B.; Borodaenko, A.V.; Drakin, A.E.; Bogatov, A.P. Simulation of the material gain in quantum-well InGaAs layers used in 1.06-μm heterolasers. Quantum Electron. 2005, 35, 316. [Google Scholar] [CrossRef]
- Radziunas, M. Longitudinal Dynamics in multisection Semiconductor Lasers. Available online: https://www.wias-berlin.de/software/ldsl/ (accessed on 22 March 2021).
- Patzak, E.; Meissner, P.; Yevick, D. An analysis of the linewidth and spectral behavior of DBR lasers. IEEE J. Quantum Electron. 1985, 21, 1318–1325. [Google Scholar] [CrossRef]
- Chaciński, M.; Schatz, R. Impact of losses in the Bragg section on the dynamics of detuned loaded DBR lasers. IEEE J. Quantum Electron. 2010, 46, 1360–1367. [Google Scholar] [CrossRef]
- Jonsson, B.; Lowery, A.J.; Olesen, H.; Tromborg, B. Instabilities and nonlinear L-I characteristics in complex-coupled DFB lasers with antiphase gain and index gratings. IEEE J. Quantum Electron. 1996, 32, 839–850. [Google Scholar] [CrossRef]
- Tronciu, V.; Wenzel, H.; Wünsche, H.J. Instabilities and Bifurcations of a DFB Laser Frequency-Stabilized by a High-Finesse Resonator. IEEE J. Quantum Electron. 2017, 53, 1–9. [Google Scholar] [CrossRef]




| Parameter | Symbol | Unit | Value | First Used | 
|---|---|---|---|---|
| reference wavelength | m | |||
| front facet reflectivity | (4) | |||
| rear facet reflectivity | 0 | (4) | ||
| internal optical loss (both sections) | m−1 | 60 | (3c) | |
| group index (both sections) | 3.9 | (2) | ||
| built-in index detuning (both sections) | 0 | (126) | ||
| Active section | ||||
| length | l | m | ||
| differential gain | m2 | (122) | ||
| -factor | 1 | (79) | ||
| transparency carrier density | m−3 | (122) | ||
| self-heating induced index tuning | A−1 | (126) | ||
| gain clamping density | m−3 | (122) | ||
| index clamping density | m−3 | (125) | ||
| gain saturation power | W | (124) | ||
| dispersion peak amplitude | m−1 | 50 | (A3) | |
| dispersion peak frequency detuning | rad s−1 | 0 | (A3) | |
| dispersion HWHM | rad s−1 | (A3) | ||
| thickness of active region | d | m | (5) | |
| width of active region | W | m | (6) | |
| series resistance | 1 | (7) | ||
| Fermi voltage derivative | Vm3 | (128) | ||
| defect recombination coefficient | A | s−1 | (127) | |
| bimolecular recombination coefficient | B | m3 s−1 | (127) | |
| Auger recombination coefficient | C | m6 s−1 | (127) | |
| injection current | I | A | (7) | |
| Passive section | ||||
| length | m | |||
| coupling coefficient | m−1 | 200 | (10) | |
| cross-heating induced index tuning | A−1 | (126) | ||
| Publisher’s Note: MDPI stays neutral with regard to jurisdictional claims in published maps and institutional affiliations. | 
© 2021 by the authors. Licensee MDPI, Basel, Switzerland. This article is an open access article distributed under the terms and conditions of the Creative Commons Attribution (CC BY) license (https://creativecommons.org/licenses/by/4.0/).
Share and Cite
Wenzel, H.; Kantner, M.; Radziunas, M.; Bandelow, U. Semiconductor Laser Linewidth Theory Revisited. Appl. Sci. 2021, 11, 6004. https://doi.org/10.3390/app11136004
Wenzel H, Kantner M, Radziunas M, Bandelow U. Semiconductor Laser Linewidth Theory Revisited. Applied Sciences. 2021; 11(13):6004. https://doi.org/10.3390/app11136004
Chicago/Turabian StyleWenzel, Hans, Markus Kantner, Mindaugas Radziunas, and Uwe Bandelow. 2021. "Semiconductor Laser Linewidth Theory Revisited" Applied Sciences 11, no. 13: 6004. https://doi.org/10.3390/app11136004
APA StyleWenzel, H., Kantner, M., Radziunas, M., & Bandelow, U. (2021). Semiconductor Laser Linewidth Theory Revisited. Applied Sciences, 11(13), 6004. https://doi.org/10.3390/app11136004
 
         
                                                

 
       