Reduced Dimensionality Multiphysics Model for Efficient VCSEL Optimization
Abstract
:1. Introduction
2. 3D-1D Model Alignment
2.1. Thermal Problem
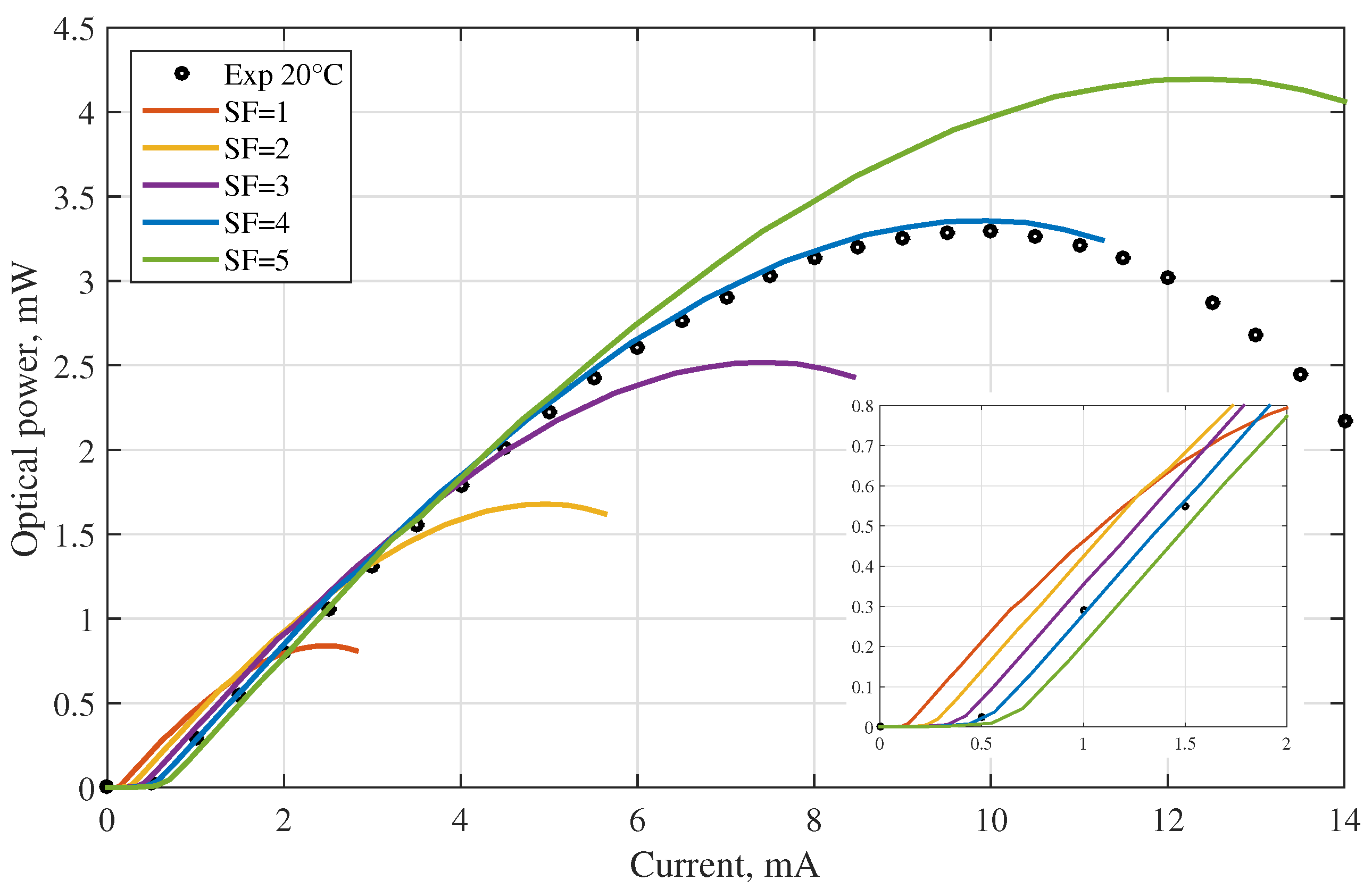
2.2. Optical Problem
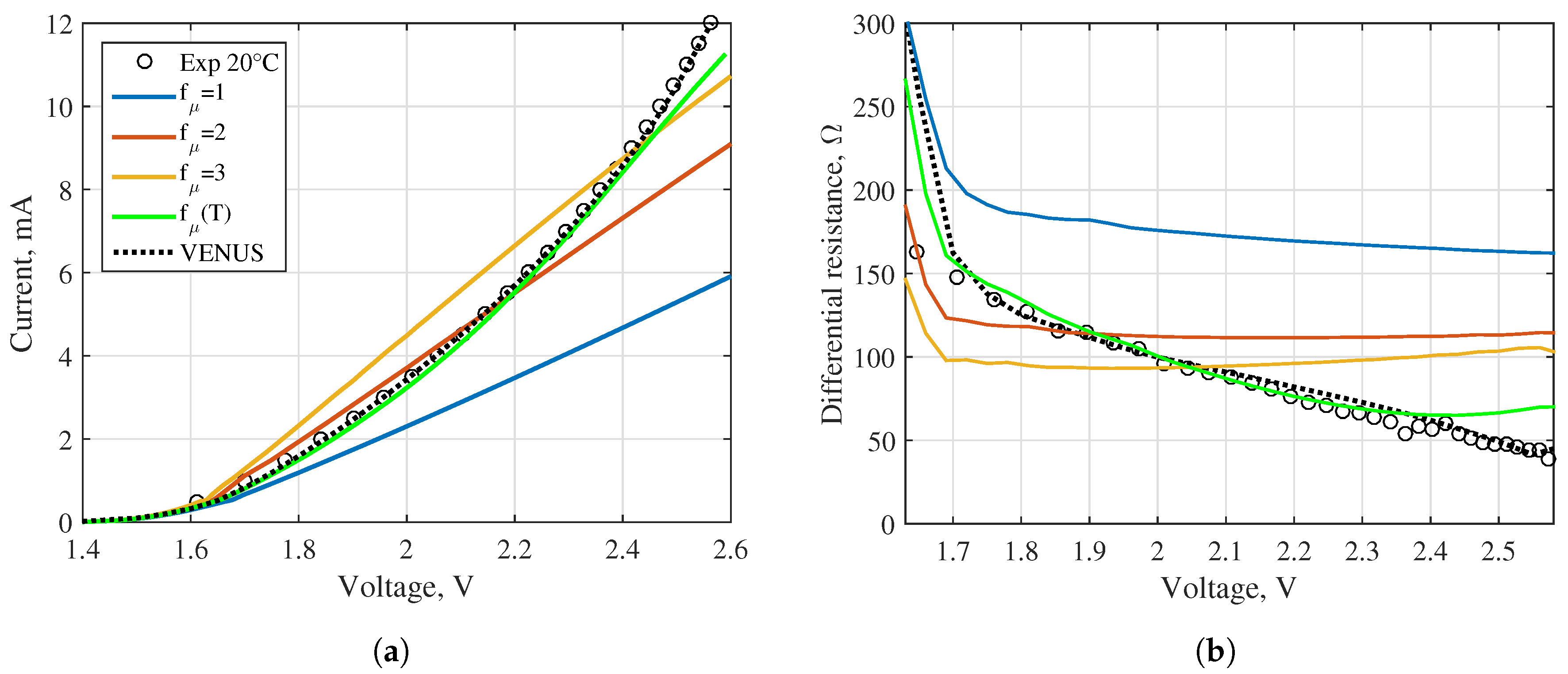
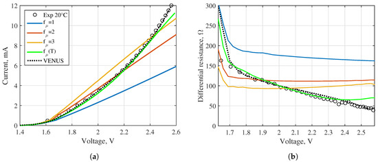
2.3. Electrical Problem
2.4. Optical Power
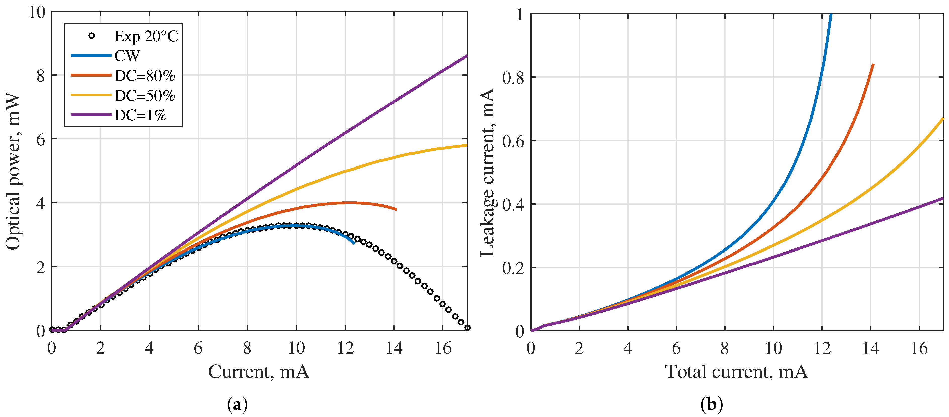
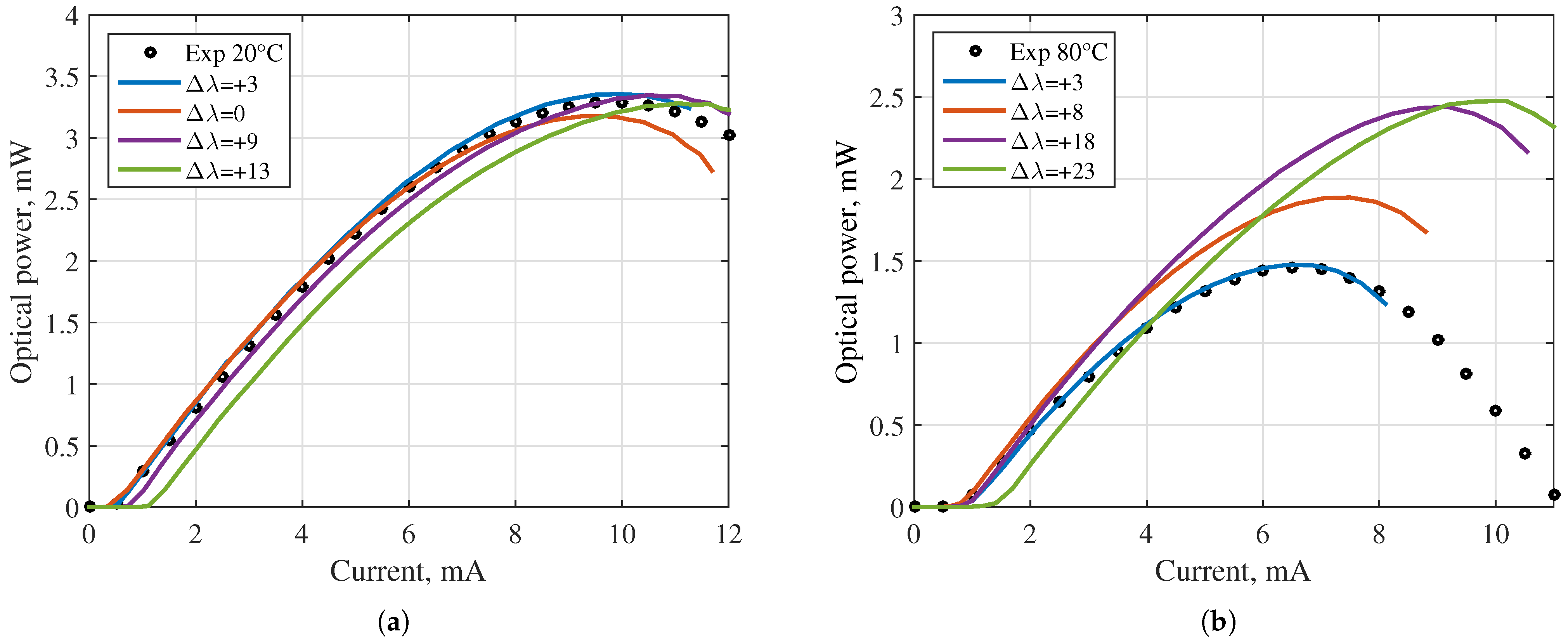
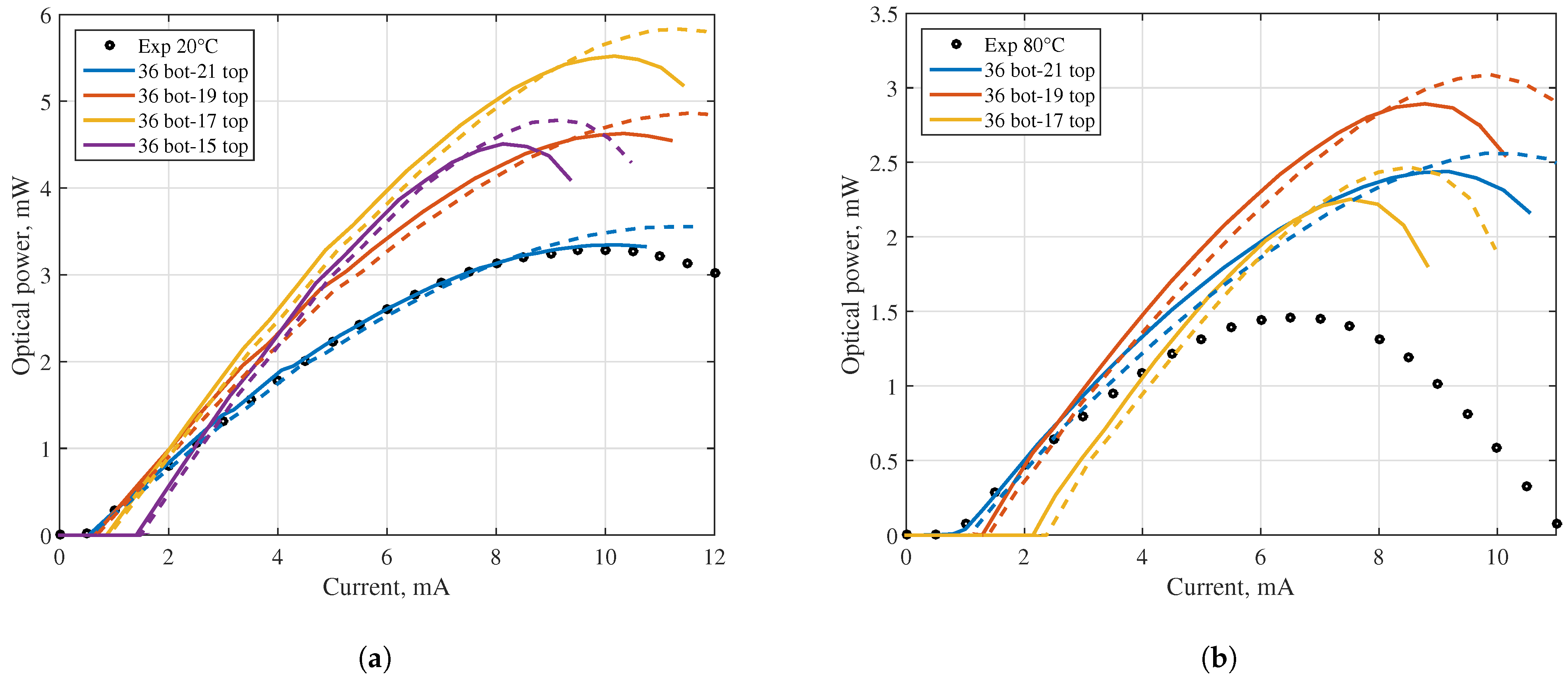
2.5. Optical Performance at High Ambient Temperatures
2.6. Parameter Alignment Summary
- Rescaling of the thermal conductivities;
- Rescaling of ;
- Rescaling of carrier mobility;
- Finding an effective size;
- Making temperature-dependent.
3. Examples of Application
4. Conclusions and Outlook
Author Contributions
Funding
Institutional Review Board Statement
Informed Consent Statement
Data Availability Statement
Conflicts of Interest
References
- Michalzik, R. (Ed.) VCSELs: Fundamentals, Technology and Applications of Vertical-Cavity Surface-Emitting Lasers; Springer: Berlin/Heidelberg, Germany, 2013. [Google Scholar] [CrossRef]
- Liu, A.; Wolf, P.; Lott, J.; Bimberg, D. Vertical-cavity surface-emitting lasers for data communication and sensing. Phys. Rev. 2019, 7, 121. [Google Scholar] [CrossRef]
- Moench, H.; Carpaij, M.; Gerlach, P.; Gronenborn, S.; Gudde, R.; Hellmig, J.; Kolb, J.; van der Lee, A. VCSEL based sensors for distance and velocity. Proc. SPIE 2016, 97660A-1-16. [Google Scholar] [CrossRef]
- Ebeling, K.J.; Michalzik, R.; Moench, H. Vertical-cavity surface-emitting laser technology applications with focus on sensors and three-dimensional imaging. Jpn. J. Appl. Phys. 2018, 52, 08PA02-1-11. [Google Scholar] [CrossRef]
- Dummer, M.; Johnson, K.; Rothwell, S.; Tatah, K.; Hibbs-Brenner, M. The role of VCSELs in 3D sensing and LiDAR. In Proceedings of the Optical Interconnects XXI. International Society for Optics and Photonics, Online Proceedings, 6–11 March 2021; Volume 11692, p. 116920C. [Google Scholar]
- Tatum, J.A.; Gazula, D.; Graham, L.A.; Guenter, J.K.; Johnson, R.H.; King, J.; Kocot, C.; Landry, G.D.; Lyubomirsky, I.; MacInnes, A.N.; et al. VCSEL-Based Interconnects for Current and Future Data Centers. J. Light. Technol. 2015, 33, 727–732. [Google Scholar] [CrossRef]
- Puerta, R.; Agustin, M.; Chorchos, L.; Tonski, J.; Kropp, J.R.; Ledentsov, N.; Shchukin, V.A.; Ledentsov, N.N.; Henker, R.; Monroy, I.T.; et al. 107.5 Gb/s 850 nm multi- and single-mode VCSEL transmission over 10 and 100 m of multi-mode fiber. In Proceedings of the 2016 Optical Fiber Communications Conference and Exhibition (OFC), Anaheim, CA, USA, 20–24 March 2016; pp. 1–3. [Google Scholar]
- Ledentsov, N., Jr.; Agustin, M.; Chorchos, L.; Ledentsov, N.N.; Turkiewicz, J.P. 25.78 Gbit/s data transmission over 2 km multi-mode-fibre with 850 and 910 nm single-mode VCSELs and a commercial quad small form-factor pluggable transceiver. Electron. Lett. 2018, 54, 774–775. [Google Scholar] [CrossRef]
- Kanakis, G.; Iliadis, N.; Soenen, W.; Moeneclaey, B.; Argyris, N.; Kalavrouziotis, D.; Spiga, S.; Bakopoulos, P.; Avramopoulos, H. High-Speed VCSEL-Based Transceiver for 200 GbE Short-Reach Intra-Datacenter Optical Interconnects. Appl. Sci. 2019, 9, 2488. [Google Scholar] [CrossRef] [Green Version]
- Tibaldi, A.; Bertazzi, F.; Goano, M.; Michalzik, R.; Debernardi, P. VENUS: A Vertical-cavity surface-emitting laser Electro-opto-thermal NUmerical Simulator. IEEE J. Select. Top. Quantum Electron. 2019, 25, 1500212. [Google Scholar] [CrossRef]
- Debernardi, P.; Tibaldi, A.; Daubenschüz, M.; Michalzik, R.; Goano, M.; Bertazzi, F. Probing thermal effects in VCSELs by experiment-driven multiphysics modeling. IEEE J. Select. Top. Quantum Electron. 2019, 25, 1700914. [Google Scholar] [CrossRef]
- Al-Samaneh, A.; Bou Sanayeh, M.; Miah, M.J.; Schwarz, W.; Wahl, D.; Kern, A.; Michalzik, R. Polarization-stable vertical-cavity surface-emitting lasers with inverted grating relief for use in microscale atomic clocks. Appl. Phys. Lett. 2012, 101, 171104. [Google Scholar] [CrossRef]
- Zhang, J.; Zhang, X.; Zhu, H.; Zhang, J.; Ning, Y.; Qin, L.; Wang, L. High-temperature operating 894.6nm-VCSELs with extremely low threshold for Cs-based chip scale atomic clocks. Opt. Express 2015, 23, 14763–14773. [Google Scholar] [CrossRef]
- Larsson, A.; Gustavsson, J.S.; Fülöp, A.; Haglund, E.; Haglund, E.P.; Kelkkanen, A. The Future of VCSELs: Dynamics and Speed Limitations. In Proceedings of the 2020 IEEE Photonics Conference (IPC), Vancouver, BC, Canada, 28 September–1 October 2020; pp. 1–2. [Google Scholar] [CrossRef]
- Westbergh, P.; Gustavsson, J.S.; Larsson, A. High Speed and High Temperature Operation of VCSELs. In Proceedings of the Optical Fiber Communication Conference. Optical Society of America, San Diego, CA, USA, 6–11 June 2015; p. M2D.5. [Google Scholar] [CrossRef]
- Hadley, G.R.; Lear, K.L.; Warren, M.E.; Choquette, K.D.; Scott, J.W.; Corzine, S.W. Comprehensive numerical modeling of vertical-cavity surface-emitting lasers. IEEE J. Quantum Electron. 1996, 32, 607–616. [Google Scholar] [CrossRef]
- Debernardi, P. HOT-VELM: A comprehensive and efficient code for fully vectorial and 3-D hot-cavity VCSEL simulation. IEEE J. Quantum Electron. 2009, 45, 979–992. [Google Scholar] [CrossRef]
- Gustavsson, J.S.; Vukusic, J.A.; Bengtsson, J.; Larsson, A. A comprehensive model for the modal dynamics of vertical-cavity surface-emitting lasers. IEEE J. Quantum Electron. 2002, 38, 203–212. [Google Scholar] [CrossRef]
- Nyakas, P.; Varga, G.; Puskás, Z.; Hashizume, N.; Kárpáti, T.; Veszprémi, T.; Zsombok, G. Self-consistent real three-dimensional simulation of vertical-cavity surface-emitting lasers. J. Opt. Soc. Am. B 2006, 23, 1761–1769. [Google Scholar] [CrossRef]
- Scott, J.W.; Geels, R.S.; Corzine, S.W.; Coldren, L.A. Modeling temperature effects and spatial hole burning to optimize vertical-cavity surface-emitting laser performance. IEEE J. Quantum Electron. 1993, 29, 1295–1308. [Google Scholar] [CrossRef]
- Mehta, K.; Liu, Y.S.; Wang, J.; Jeong, H.; Detchprohm, T.; Dupuis, R.D.; Yoder, P.D. Thermal Design Considerations for III-N Vertical-Cavity Surface-Emitting Lasers Using Electro-Opto-Thermal Numerical Simulations. IEEE J. Quantum Electron. 2019, 55, 1–8. [Google Scholar] [CrossRef]
- Sarzała, R.; Mendla, P.; Wasiak, M.; Maćkowiak, P.; Bugajski, M.; Nakwaski, W. Comprehensive self-consistent three-dimensional simulation of an operation of the GaAs-based oxide-confined 1.3-μm quantum-dot (InGa)As/GaAs vertical-cavity surface-emitting lasers. Opt. Quantum Electron. 2004, 36, 331–347. [Google Scholar] [CrossRef]
- Sarzała, R.P.; Śpiewak, P.; Nakwaski, W.; Wasiak, M. Cavity designs for nitride VCSELs with dielectric DBRs operating efficiently at different temperatures. Opt. Laser Technol. 2020, 132, 106482. [Google Scholar] [CrossRef]
- Calciati, M.; Tibaldi, A.; Bertazzi, F.; Goano, M.; Debernardi, P. Many-Valley Electron Transport in AlGaAs VCSELs. Semicond. Sci. Technol. 2017, 32, 055007. [Google Scholar] [CrossRef]
- Coldren, L.A.; Corzine, S.W. Diode Lasers and Photonic Integrated Circuits; John Wiley & Sons: New York, NY, USA, 1995. [Google Scholar]
- Streiff, M.; Witzig, A.; Pfeiffer, M.; Royo, P.; Fichtner, W. A comprehensive VCSEL device simulator. IEEE J. Select. Top. Quantum Electron. 2003, 9, 879–891. [Google Scholar] [CrossRef]
- Mehta, K.; Liu, Y.S.; Wang, J.; Jeong, H.; Detchprohm, T.; Park, Y.J.; Alugubelli, S.R.; Wang, S.; Ponce, F.A.; Shen, S.C.; et al. Lateral Current Spreading in III-N Ultraviolet Vertical-Cavity Surface-Emitting Lasers Using Modulation-Doped Short Period Superlattices. IEEE J. Quantum Electron. 2018, 54, 2400507. [Google Scholar] [CrossRef]
- Debernardi, P.; Orta, R. Analytical Electromagnetic Solution for Bragg Mirrors With Graded Interfaces and Guidelines for Enhanced Reflectivity. IEEE J. Quantum Electron. 2007, 43, 269–274. [Google Scholar] [CrossRef]
- Schubert, E.F.; Tu, L.W.; Zydzik, G.J.; Kopf, R.F.; Benvenuti, A.; Pinto, M.R. Elimination of heterojunction band discontinuities by modulation doping. Appl. Phys. Lett. 1992, 60, 466–468. [Google Scholar] [CrossRef] [Green Version]
- Bertazzi, F.; Goano, M.; Ghione, G.; Tibaldi, A.; Debernardi, P.; Bellotti, E. Electron Transport. In Handbook of Optoelectronic Device Modeling and Simulation; Piprek, J., Ed.; CRC Press: Boca Raton, FL, USA, 2017; Chapter 2; pp. 35–80. [Google Scholar] [CrossRef]
- De Falco, C.; Gatti, E.; Lacaita, A.L.; Sacco, R. Quantum-corrected drift-diffusion models for transport in semiconductor devices. J. Comp. Phys. 2005, 204, 533–561. [Google Scholar] [CrossRef]
- Cédola, A.P.; Kim, D.; Tibaldi, A.; Tang, M.; Khalili, A.; Wu, J.; Liu, H.; Cappelluti, F. Physics-based modeling and experimental study of Si-doped InAs/GaAs quantum dot solar cells. Int. J. Photoenergy 2018, 2018, 7215843-1-10. [Google Scholar] [CrossRef]
- Goano, M. Series Expansion of the Fermi-Dirac Integral Fj(x) over the Entire Domain of Real j and x. Solid-State Electron. 1993, 36, 217–221. [Google Scholar] [CrossRef]
- Goano, M. Algorithm 745. Computation of the complete and incomplete Fermi-Dirac integral. ACM Trans. Math. Softw. 1995, 21, 221–232. [Google Scholar] [CrossRef]
- De Santi, C.; Meneghini, M.; Tibaldi, A.; Vallone, M.; Goano, M.; Bertazzi, F.; Verzellesi, G.; Meneghesso, G.; Zanoni, E. Physical mechanisms limiting the performance and the reliability of GaN-based LEDs. In Nitride Semiconductor Light-Emitting Diodes, 2nd ed.; Huang, J.J., Kuo, H.C., Shen, S.C., Eds.; Woodhead Publishing: Duxford, UK, 2018; Chapter 14; pp. 455–489. [Google Scholar] [CrossRef]
- Lades, M.; Kaindl, W.; Kaminski, N.; Niemann, E.; Wachutka, G. Dynamics and incomplete ionized dopants and their impact on 4H/6H–SiC devices. IEEE Trans. Electron Devices 1999, 46, 598–604. [Google Scholar] [CrossRef]
- Heilman, R.; Oelgart, G. Ionization energy of the carbon acceptor in AlxGa1−xAs. Semicond. Sci. Technol. 2015, 5, 1040–1045. [Google Scholar] [CrossRef]
- Grupen, M.; Hess, K. Simulation of carrier transport and nonlinearities in quantum-well laser diodes. IEEE J. Quantum Electron. 1998, 34, 120–140. [Google Scholar] [CrossRef]
- Witzigmann, B.; Witzig, A.; Fichtner, W. A multidimensional laser simulator for edge-emitters including quantum carrier capture. IEEE Trans. Electron Devices 2000, 47, 1926–1934. [Google Scholar] [CrossRef]
- Hybertsen, M.S.; Witzigmann, B.; Alam, M.A.; Smith, R.K. Role of carrier capture in microscopic simulation of multi-quantum-well semiconductor laser diodes. J. Comp. Electron. 2002, 1, 113–118. [Google Scholar] [CrossRef]
- Baraff, G.A. Semiclassical description of electron transport in semiconductor quantum-well devices. Phys. Rev. B 1997, 55, 10745–10753. [Google Scholar] [CrossRef]
- Tessler, N.; Eisenstein, G. On Carrier Injection and Gain Dynamics in Quantum Well Lasers. IEEE J. Quantum Electron. 1993, QE-29, 1586–1595. [Google Scholar] [CrossRef]
- Bava, G.P.; Debernardi, P.; Fratta, L. Three-dimensional model for vectorial fields in vertical-cavity surface-emitting lasers. Phys. Rev. A 2001, 63, 23816. [Google Scholar] [CrossRef]
- Debernardi, P.; Bava, G.P. Coupled mode theory: A powerful tool for analyzing complex VCSELs and designing advanced devices features. IEEE J. Select. Top. Quantum Electron. 2003, 9, 905–917. [Google Scholar] [CrossRef]
- Debernardi, P.; Simaz, A.; Tibaldi, A.; Boisnard, B.; Camps, T.; Bertazzi, F.; Goano, M.; Reig, B.; Doucet, J.B.; Bardinal, V. Anisotropic Transverse Confinement Design for Electrically Pumped 850 nm VCSELs Tuned by an Intra Cavity Liquid-Crystal Cell. IEEE J. Select. Top. Quantum Electron. 2021. [Google Scholar] [CrossRef]
- Chuang, S. Physics of Photonic Devices, 2nd ed.; Wiley: Hoboken, NJ, USA, 2009. [Google Scholar]
- Weigl, B.; Grabherr, M.; Jung, C.; Jager, R.; Reiner, G.; Michalzik, R.; Sowada, D.; Ebeling, K. High-performance oxide-confined GaAs VCSELs. IEEE J. Sel. Top. Quantum Electron. 1997, 3, 409–415. [Google Scholar] [CrossRef]
- Baveja, P.P.; Kögel, B.; Westbergh, P.; Gustavsson, J.S.; Haglund, Å.; Maywar, D.N.; Agrawal, G.P.; Larsson, A. Assessment of VCSEL thermal rollover mechanisms from measurements and empirical modeling. Opt. Express 2011, 19, 15490–15505. [Google Scholar] [CrossRef]
- Bertazzi, F.; Goano, M.; Bellotti, E. Calculation of Auger lifetime in HgCdTe. J. Electron. Mater. 2011, 40, 1663–1667. [Google Scholar] [CrossRef]
- Calciati, M.; Goano, M.; Bertazzi, F.; Vallone, M.; Zhou, X.; Ghione, G.; Meneghini, M.; Meneghesso, G.; Zanoni, E.; Bellotti, E.; et al. Correlating electroluminescence characterization and physics-based models of InGaN/GaN LEDs: Pitfalls and open issues. AIP Adv. 2014, 4, 067118. [Google Scholar] [CrossRef]
- Piprek, J. What Limits the Efficiency of High-Power InGaN/GaN Lasers? IEEE J. Quantum Electron. 2017, 53, 1–4. [Google Scholar] [CrossRef]
- Farzaneh, M.; Amatya, R.; Lüerßen, D.; Greenberg, K.J.; Rockwell, W.E.; Hudgings, J.A. Temperature profiling of VCSELs by thermoreflectance microscopy. IEEE Photon. Technol. Lett. 2007, 19, 601–603. [Google Scholar] [CrossRef]
- Gehrsitz, S.; Reinhart, F.K.; Gourgon, C.; Herres, N.; Vonlanthen, A.; Sigg, H. The refractive index of AlxGa1−xAs below the band gap: Accurate determination and empirical modeling. J. Appl. Phys. 2000, 87, 7825–7837. [Google Scholar] [CrossRef]
- Tibaldi, A.; Gonzalez Montoya, J.A.; Bertazzi, F.; Goano, M.; Daubenschüz, M.; Michalzik, R.; Debernardi, P. Bridging scales in multiphysics VCSEL modeling. Opt. Quantum Electron. 2019, 51, 231. [Google Scholar] [CrossRef]
- Gullino, A.; Tibaldi, A.; Bertazzi, F.; Goano, M.; Daubenschüz, M.; Michalzik, R.; Debernardi, P. Modulation response of VCSELs: A physics-based simulation approach. In Proceedings of the 20th International Conference on Numerical Simulation of Optoelectronic Devices (NUSOD 2020), Turin, Italy, 14–25 September 2020; pp. 65–66. [Google Scholar] [CrossRef]
- Kalosha, V.P.; Shchukin, V.A.; Ledentsov, N.; Ledentsov, N.N. Comprehensive Analysis of Electric Properties of Oxide-Confined Vertical-Cavity Surface-Emitting Lasers. IEEE J. Sel. Top. Quantum Electron. 2019, 25, 1–9. [Google Scholar] [CrossRef]
- Adachi, S. (Ed.) Properties of Aluminium Gallium Arsenide; EMIS Datareviews Series; INSPEC: London, UK, 1993. [Google Scholar]
- Tell, B.; Brown-Goebeler, K.; Leibenguth, R.; Baez, F.; Lee, Y.H. Temperature dependence of GaAs-AlGaAs vertical cavity surface emitting lasers. Appl. Phys. Lett. 1992, 60, 683–685. [Google Scholar] [CrossRef]
- Tibaldi, A.; Gonzalez Montoya, J.A.; Alasio, M.G.C.; Gullino, A.; Larsson, A.; Debernardi, P.; Goano, M.; Vallone, M.; Ghione, G.; Bellotti, E.; et al. Analysis of carrier transport in tunnel-junction vertical-cavity surface-emitting lasers by a coupled nonequilibrium Green’s function–drift-diffusion approach. Phys. Rev. Appl. 2020, 14, 024037. [Google Scholar] [CrossRef]











Publisher’s Note: MDPI stays neutral with regard to jurisdictional claims in published maps and institutional affiliations. |
© 2021 by the authors. Licensee MDPI, Basel, Switzerland. This article is an open access article distributed under the terms and conditions of the Creative Commons Attribution (CC BY) license (https://creativecommons.org/licenses/by/4.0/).
Share and Cite
Gullino, A.; Tibaldi, A.; Bertazzi, F.; Goano, M.; Debernardi, P. Reduced Dimensionality Multiphysics Model for Efficient VCSEL Optimization. Appl. Sci. 2021, 11, 6908. https://doi.org/10.3390/app11156908
Gullino A, Tibaldi A, Bertazzi F, Goano M, Debernardi P. Reduced Dimensionality Multiphysics Model for Efficient VCSEL Optimization. Applied Sciences. 2021; 11(15):6908. https://doi.org/10.3390/app11156908
Chicago/Turabian StyleGullino, Alberto, Alberto Tibaldi, Francesco Bertazzi, Michele Goano, and Pierluigi Debernardi. 2021. "Reduced Dimensionality Multiphysics Model for Efficient VCSEL Optimization" Applied Sciences 11, no. 15: 6908. https://doi.org/10.3390/app11156908
APA StyleGullino, A., Tibaldi, A., Bertazzi, F., Goano, M., & Debernardi, P. (2021). Reduced Dimensionality Multiphysics Model for Efficient VCSEL Optimization. Applied Sciences, 11(15), 6908. https://doi.org/10.3390/app11156908

