Aerodynamic Analysis of Simple Girder Bridges under Construction Phase
Abstract
1. Introduction
1.1. Background
1.2. Case Study
- Only one beam is installed;
- Both beams are installed;
- Both beams are installed, but the space between them is isolated from the external flow with wood or steel plates (Figure 2).
2. Materials and Methods
2.1. Simulation Setup
2.2. Model Validation
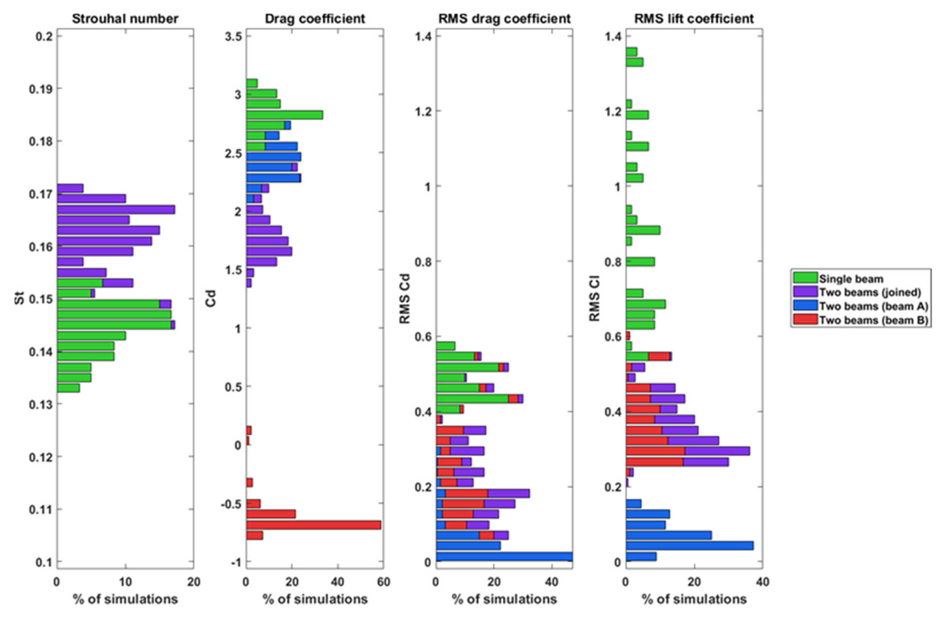
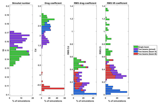
3. Results
3.1. Single Beam
3.2. Double Beam
3.3. Closed Section
4. Discussion
5. Conclusions
- For tall and thin beams like those studied in this paper, wind-induced loads are more dangerous in the along-wind direction than in the cross-wind direction.
- The most vulnerable stage is when only one beam is in its final location. Having both beams placed reduces dynamic wind loads, especially the effects induced by vortex shedding.
- An increase in the distance between beams reduces the vulnerability of the section.
- Placing non-structural wood or steel slabs to isolate the space between beams considerably reduces wind actions, especially the RMS value of the drag coefficient.
Author Contributions
Funding
Institutional Review Board Statement
Informed Consent Statement
Conflicts of Interest
References
- Meseguer, J.; Andres, A.S.; Pindado, S.; Franchini, S.; Alonso, G. Aerodinamica Civil. In Efectos del Viento en Edificaciones y Estructuras, 2nd ed.; Ibergarceta Publicaciones, SL: Madrid, Spain, 2013. [Google Scholar]
- Davenport, A.G. The Application of Statistical Concepts to the Wind Loading of Structures; Institution of Civil Engineers: London, UK, 1961; Volume 19, pp. 449–472. [Google Scholar]
- Davenport, A.G. The Response of Slender, Line-Like Structures to a Gusty Wind; Institution of Civil Engineers: London, UK, 1962; Volume 23, pp. 389–408. [Google Scholar]
- Davenport, A.G. Gust loading factors. J. Struct. Div. 1967, 93, 11–34. [Google Scholar] [CrossRef]
- Davenport, A.G. How can we simplify and generalize wind loads? J. Wind Eng. Ind. Aerodyn. 1995, 54, 657–669. [Google Scholar] [CrossRef]
- Simiu, E. Wind spectra and dynamic alongwind response. J. Struct. Div. 1974, 100, 14. [Google Scholar] [CrossRef]
- Simiu, E. Revised procedure for estimating along-wind response. J. Struct. Div. 1980, 106, 1–10. [Google Scholar] [CrossRef]
- Dyrbye, C. , Hansen, S.O. Wind Loads on Structures; Wiley (John) & Sons, Limited: Chichester, UK, 1997. [Google Scholar]
- Roshko, A. On the drag and shedding frequency of two-dimensional bluff bodies. In Dynamische Windwirkung an Bauwerken; Ruscheweyh, H., Ed.; Wiesbaden: Berlin/Bauverlag, Germany, 1954. [Google Scholar]
- Ruscheweyh, H. Further studies of wind-induced vibrations of grouped stacks. J. Wind Eng. Ind. Aerodyn. 1983, 11, 359–364. [Google Scholar] [CrossRef]
- Vickery, B.J.; Clark, A.W. Lift or across-wind response to tapered stacks. J. Struct. Div. 1972, 98, 1–20. [Google Scholar] [CrossRef]
- Vickery, B.J. A model for the prediction of the response of chimneys to vortex shedding. In Proceedings of the 3rd International Symposium Design of Industrial Chimneys, Munich, Germany, 1978; pp. 157–162. [Google Scholar]
- Vickery, B.J.; Basu, R.I. Across-wind vibrations of structures of circular cross-section. part i. development of a mathematical model for two-dimensional conditions. J. Wind Eng. Ind. Aerodyn. 1983, 12, 49–73. [Google Scholar] [CrossRef]
- Vickery, B.J.; Basu, R.I. Across-wind vibrations of structures of circular cross-section. part ii. development of a mathematical model for full-scale application. J. Wind Eng. Ind. Aerodyn. 1983, 12, 75–97. [Google Scholar] [CrossRef]
- Vickery, B.J.; Basu, R.I. Simplified approaches to the evaluation of the across-wind response of chimneys. J. Wind Eng. Ind. Aerodyn. 1983, 14, 153–166. [Google Scholar] [CrossRef]
- Solari, G. Progress and prospects in gust-excited vibrations of structures. Engng Mech 1999, 6, 301–322. [Google Scholar]
- Giosan, I.; Eng, P. Vortex Shedding Induced Loads on Free Standing Structures. In Structural Vortex Shedding Response Estimation Methodology and Finite Element Simulation; 2013; Volume 42, Available online: http://citeseerx.ist.psu.edu/viewdoc/summary?doi=10.1.1.582.3179 (accessed on 9 June 2021).
- Eurocode 1. Actions on Structures. Part. 1–4: General Actions—Wind Actions. 2005. Available online: https://en.wikipedia.org/wiki/Eurocode_1:_Actions_on_structures#Part_1-4:_General_actions_-_Wind_actions (accessed on 9 June 2021).
- NBC. National Building Code of Canada 2015; NBC: New York, NY, USA, 2015. [Google Scholar]
- Chen, J.M.; Fang, Y.C. Strouhal numbers of inclined flat plates. J. Wind Eng. Ind. Aerodyn. 1996, 61, 99–112. [Google Scholar] [CrossRef]
- Radi, A.; Thompson, M.C.; Sheridan, J.; Hourigan, K. From the circular cylinder to the flat plate wake: The variation of strouhal number with reynolds number for elliptical cylinders. Phys. Fluids 2013, 25, 101706. [Google Scholar] [CrossRef]
- Lam, K.; Wei, C. Numerical simulation of vortex shedding from an inclined flat plate. Eng. Appl. Comput. Fluid Mech. 2010, 4, 569–579. [Google Scholar]
- Consolazio, G.R. , Gurley, K.R., Harper, Z.S. Bridge Girder Drag Coefficients and Wind-Related Bracing Recommendations; Technical Report; University of Florida: Gainesville, FL, USA, 2013. [Google Scholar]
- Gandia, F.; Meseguer, J.; Sanz, A. Influence of aerodynamic characteristics of “H” beams on galloping stability. In Proceedings of the 37th IABSE Symposium: Engineering for Progress, Nature and People, Madrid, Spain, 3–5 September 2014; pp. 277–284. [Google Scholar]
- Dexter, R.; Ricker, M. Fatigue-Resistant Design of Cantilevered Signal, Sign, and Light Supports; Nchrp Report 469; Transportation Research Board of the National Academies: Washington, DC, USA, 2002. [Google Scholar]
- Strømmen, E. Theory of Bridge Aerodynamics; Springer Science & Business Media: Berlin/Heidelberg, Germany, 2010. [Google Scholar]
- Simiu, E.; Scanlan, R.H. Wind Effects on Structures; Wiley: Hoboken, NJ, USA, 1978. [Google Scholar]
- Mureithi, N.W.; Xu, X.; Baranyi, L.; Nakamura, T.; Kaneko, S. Dynamics of the forced karman wake: Comparison of 2d and 3d models. In Proceedings of the ASME 2014 Pressure Vessels and Piping Conference, Anaheim, CA, USA, 20–24 July 2014. [Google Scholar]
- Yakhot, V.; Orszag, S.A.; Thangam, S.; Gatski, T.B.; Speziale, C. Development of turbulence models for shear flows by a double expansion technique. Phys. Fluids A Fluid Dyn. 1992, 4, 1510–1520. [Google Scholar] [CrossRef]
- Anderson, J.D., Jr. Fundamentals of Aerodynamics; Tata McGraw-Hill Education: New York, NY, USA, 2010. [Google Scholar]
- Hoerner, S.F. Fluid-Dynamic Drag: Theoretical, Experimental and Statistical Information; Hoerner Fluid Dynamics: Vancouver, BC, Canada, 1992. [Google Scholar]
- Martínez-López, G. Wind Effects on Simple Girder Bridges during Construction Stages. 2019. Available online: http://urn.kb.se/resolve?urn=urn:nbn:se:kth:diva-254342 (accessed on 9 June 2021).












| Wind Speed (m/s) | 5 | 7.5 | 10 | 12.5 | 15 |
|---|---|---|---|---|---|
| Time step (s) | 0.02 | 0.012 | 0.01 | 0.008 | 0.006 |
| Time of simulation (s) | 120 | 72 | 60 | 48 | 36 |
| Number of time steps | 6000 | 6000 | 6000 | 6000 | 6000 |
| Nº Elements | 42,000 | 55,000 | 68,000 | 81,000 | 94,000 | 107,000 | ||
|---|---|---|---|---|---|---|---|---|
| Wind speed = 5 m/s | Strouhal number | Value | 0.123 | 0.123 | 0.123 | 0.123 | 0.123 | 0.124 |
| Err. Prev. (%) | 0 | 0 | 0 | 0 | 0.81 | |||
| Err. Final (%) | 0.81 | 0.81 | 0.81 | 0.81 | 0.81 | |||
| Drag coefficient | Value | 2.7131 | 2.7144 | 2.7172 | 2.7124 | 2.709 | 2.7102 | |
| Err. Prev. (%) | 0.05 | 0.1 | 0.18 | 0.13 | 0.04 | |||
| Err. Final (%) | 0.11 | 0.15 | 0.26 | 0.08 | 0.04 | |||
| RMS Drag coefficient | Value | 0.2202 | 0.2195 | 0.2212 | 0.2186 | 0.2166 | 0.2146 | |
| Err. Prev. (%) | 0.32 | 0.77 | 1.18 | 0.91 | 0.92 | |||
| Err. Final (%) | 2.61 | 2.28 | 3.08 | 1.86 | 0.93 | |||
| Wind speed = 15 m/s | Strouhal number | Value | 0.121 | 0.121 | 0.121 | 0.122 | 0.122 | 0.122 |
| Err. Prev. (%) | 0 | 0 | 0.83 | 0 | 0 | |||
| Err. Final (%) | 0.82 | 0.82 | 0.82 | 0 | 0 | |||
| Drag coefficient | Value | 2.7094 | 2.7139 | 2.7189 | 2.7189 | 0.72 | 2.7237 | |
| Err. Prev. (%) | 0.17 | 0.18 | 0 | 0.04 | 0.14 | |||
| Err. Final (%) | 0.53 | 0.36 | 0.18 | 0.18 | 0.14 | |||
| RMS Drag coefficient | Value | 0.224 | 0.223 | 0.2248 | 0.2213 | 0.2197 | 0.2182 | |
| Err. Prev. (%) | 0.45 | 0.81 | 1.56 | 0.72 | 0.68 | |||
| Err. Final (%) | 2.66 | 2.2 | 3.02 | 1.42 | 0.69 | |||
| Approximate Time Steps per Cycle | 50 | 100 | 200 | 400 | 800 | ||
|---|---|---|---|---|---|---|---|
| Wind speed = 5 m/s | Time step size (s) | 0.08 | 0.04 | 0.02 | 0.01 | 0.005 | |
| Strouhal number | Value | 0.122 | 0.122 | 0.123 | 0.123 | 0.123 | |
| Err. Prev. (%) | 0 | 0.82 | 0 | 0 | |||
| Err. Final (%) | 0.81 | 0.81 | 0 | 0 | |||
| Drag coefficient | Value | 2.7533 | 2.7356 | 2.7204 | 2.7138 | 2.7122 | |
| Err. Prev. (%) | 0.64 | 0.56 | 0.24 | 0.06 | |||
| Err. Final (%) | 1.52 | 0.86 | 0.3 | 0.06 | |||
| RMS Drag coefficient | Value | 0.2075 | 0.213 | 0.2176 | 0.2198 | 0.2207 | |
| Err. Prev. (%) | 2.66 | 2.16 | 1.01 | 0.41 | |||
| Err. Final (%) | 5.99 | 3.49 | 1.4 | 0.41 | |||
| Wind speed = 15 m/s | Time step size (s) | 0.024 | 0.012 | 0.006 | 0.003 | 0.0015 | |
| Strouhal number | Value | 0.121 | 0.121 | 0.121 | 0.121 | 0.121 | |
| Err. Prev. (%) | 0 | 0 | 0 | 0 | |||
| Err. Final (%) | 0 | 0 | 0 | 0 | |||
| Drag coefficient | Value | 2.7312 | 2.7356 | 2.7204 | 2.7138 | 2.7122 | |
| Err. Prev. (%) | 0.16 | 0.56 | 0.24 | 0.06 | |||
| Err. Final (%) | 0.7 | 0.86 | 0.3 | 0.06 | |||
| RMS Drag coefficient | Value | 0.2134 | 0.2185 | 0.2223 | 0.2242 | 0.225 | |
| Err. Prev. (%) | 2.4 | 1.74 | 0.85 | 0.36 | |||
| Err. Final (%) | 5.17 | 2.89 | 1.2 | 0.36 | |||
Publisher’s Note: MDPI stays neutral with regard to jurisdictional claims in published maps and institutional affiliations. |
© 2021 by the authors. Licensee MDPI, Basel, Switzerland. This article is an open access article distributed under the terms and conditions of the Creative Commons Attribution (CC BY) license (https://creativecommons.org/licenses/by/4.0/).
Share and Cite
Sadrizadeh, S.; Martínez-López, G.; Ülker-Kaustell, M.; Karoumi, R. Aerodynamic Analysis of Simple Girder Bridges under Construction Phase. Appl. Sci. 2021, 11, 5562. https://doi.org/10.3390/app11125562
Sadrizadeh S, Martínez-López G, Ülker-Kaustell M, Karoumi R. Aerodynamic Analysis of Simple Girder Bridges under Construction Phase. Applied Sciences. 2021; 11(12):5562. https://doi.org/10.3390/app11125562
Chicago/Turabian StyleSadrizadeh, Sasan, Guillermo Martínez-López, Mahir Ülker-Kaustell, and Raid Karoumi. 2021. "Aerodynamic Analysis of Simple Girder Bridges under Construction Phase" Applied Sciences 11, no. 12: 5562. https://doi.org/10.3390/app11125562
APA StyleSadrizadeh, S., Martínez-López, G., Ülker-Kaustell, M., & Karoumi, R. (2021). Aerodynamic Analysis of Simple Girder Bridges under Construction Phase. Applied Sciences, 11(12), 5562. https://doi.org/10.3390/app11125562

