Investigating Issues and Needs of Dyslexic Students at University: Proof of Concept of an Artificial Intelligence and Virtual Reality-Based Supporting Platform and Preliminary Results
Abstract
Featured Application
Abstract
1. Introduction
2. Related Works
3. Background, Motivation and Purpose of the VRAIlexia Project
- A battery of tests in VR to assess the skills of dyslexic students, which will allow teachers to better and more easily understand the issues of them.
- An online shared repository containing all the digital modules, resources, tools and any other kind of material that can be useful to implement innovative teaching and learning methods.
- A training path consisting in two events, the first one addressed to the improvement of dyslexia awareness from teachers and the second one addressed to dyslexic students to enhance their self-entrepreneurial mindsets. Both events will be organized by experts of various disciplines, according to the Universal Design Learning methodology [76].
- A memorandum of understanding for the creation of common inclusion strategies among European higher education institutions.
4. Conceptual Design of BESPECIAL
4.1. First Development Stage
4.1.1. Interviews to Dyslexic Students
4.1.2. Digital Questionnaire
4.1.3. Application of Optical Character Recognition to the Dyslexia Clinical Report of the Students
4.1.4. AI Assessment Module
4.1.5. Digitalization of the Supporting Tools
4.2. Second Development Stage
4.2.1. Psychometric Tests and Their Delivery via VR
- Intrinsic motivation for learning (MI), in which those who are engaged in learning regularly perform their school duties and progress harmoniously in all disciplines obtain high scores.
- Metacognition and self-regulated learning (MA), in which those who are aware of their cognitive processes and, hence, manage their learning process effectively obtain high scores.
- Learning strategies (SA), in which those that are capable to adopt good and effective strategies to process contents and information obtain high scores.
4.2.2. VR Tools Assessment Module
4.2.3. New Version of the AI Assessment Module
5. Results
6. Conclusions and Next Steps
Author Contributions
Funding
Institutional Review Board Statement
Informed Consent Statement
Acknowledgments
Conflicts of Interest
Appendix A



References
- World Health Organization. 6A03-Developmental Learning Disorder. In International Classification of Diseases and Related Health Problems (ICD-11), 11th ed.; World Health Organization: Geneva, Switzerland, 2005; Available online: https://icd.who.int/browse11/l-m/en#/http://id.who.int/icd/entity/2099676649 (accessed on 14 February 2021).
- Carawan, L.W.; Nalavany, B.A.; Jenkins, C. Emotional experience with dyslexia and self-esteem: The protective role of perceived family support in late adulthood. Aging Ment. Health 2016, 20, 284–294. [Google Scholar] [CrossRef]
- Ghisi, M.; Bottesi, G.; Re, A.M.; Cerea, S.; Mammarella, I.C. Socioemotional Features and Resilience in Italian University Students with and without Dyslexia. Front. Psychol. 2016, 7, 478. [Google Scholar] [CrossRef]
- Kohli, A.; Sharma, S.; Padhy, S.K. Specific Learning Disabilities: Issues that Remain Unanswered. Indian J. Psychol. Med. 2018, 40, 399–405. [Google Scholar] [CrossRef]
- Mortimore, T.; Crozier, R. Dyslexia and difficulties with study skills in higher education. Stud. High. Educ. 2006, 31, 235–251. [Google Scholar] [CrossRef]
- Cornoldi, C. La dislessia evolutiva. In I Disturbi Dell′Apprendimento; Il Mulino: Bologna, Italy, 2019; pp. 109–111, 126–131. [Google Scholar]
- Cassandro, C.; Manassero, A.; Scarpa, A.; Landi, V.; Aschero, G.; Lovallo, S.; Velardo, P.; de Luca, P.; Albera, A.; Albera, P.; et al. Auditory-Verbal Processing Disorder and Dyslexia in Adulthood. Transl. Med. UniSa 2019, 20, 28–31. [Google Scholar]
- Perera, H.; Shiratuddin, M.F.; Wong, K.W. Review of the Role of Modern Computational Technologies in the Detection of Dyslexia. Inf. Sci. Appl. (ICISA) 2016, 376, 1465–1475. [Google Scholar] [CrossRef]
- Mohamad, S.; Mansor, W.; Lee, K.Y. Review of neurological techniques of diagnosing dyslexia in children. In Proceedings of the 2013 IEEE 3rd International Conference on System Engineering and Technology, Shah Alam, Malaysia, 19–20 August 2013; pp. 389–393. [Google Scholar] [CrossRef]
- Paszkiel, S.; Szpulak, P. Methods of Acquisition, Archiving and Biomedical Data Analysis of Brain Functioning. In Proceedings of the 3rd International Scientific Conference on Brain-Computer Interfaces, Opole, Poland, 13–14 March 2018; pp. 158–171. [Google Scholar] [CrossRef]
- El-Baz, A.; Casanova, M.; Gimel’farb, G.; Mott, M.; Switala, A. An MRI-based diagnostic framework for early diagnosis of dyslexia. Int. J. Comput. Assist. Radiol. Surg. 2008, 3. [Google Scholar] [CrossRef]
- Brown, W.E.; Eliez, S.; Menon, V.; Rumsey, J.M.; White, C.D.; Reiss, A.L. Preliminary evidence of widespread morphological variations of the brain in dyslexia. Neurology 2001, 56, 781–783. [Google Scholar] [CrossRef] [PubMed]
- Steinbrink, C.; Vogt, K.; Kastrup, A.; Müller, H.P.; Juengling, F.D.; Kassubek, J.; Riecker, A. The contribution of white and gray matter differences to developmental dyslexia: Insights from DTI and VBM at 3.0 T. Neuropsychologia 2008, 46, 3170–3178. [Google Scholar] [CrossRef]
- Kronbichler, M.; Wimmer, H.; Staffen, W.; Hutzler, F.; Mair, A.; Ladurner, G. Developmental dyslexia: Gray matter abnormalities in the occipitotemporal cortex. Hum. Brain Mapp. 2008, 29, 613–625. [Google Scholar] [CrossRef] [PubMed]
- Elnakib, A.; Casanova, M.; Gimelrfarb, G.; Switala, A.E.; El-Baz, A. Dyslexia Diagnostics by 3-D Shape Analysis of the Corpus Callosum. IEEE Trans. Inf. Technol. Biomed. 2012, 4, 700–708. [Google Scholar] [CrossRef]
- Temple, E.; Poldrack, R.A.; Protopapas, A.; Nagarajan, S.; Salz, T.; Tallal, P.; Merzenich, M.M.; Gabrieli, J.D.E. Disruption of the neural response to rapid acoustic stimuli in dyslexia: Evidence from functional MRI. Proc. Natl. Acad. Sci. USA 2000, 97, 13907–13912. [Google Scholar] [CrossRef]
- Pugh, K.R.; Mencl, W.E.; Jenner, A.R.; Katz, L.; Frost, S.J.; Lee, J.R.; Shaywitz, S.E.; Shaywitz, B.A. Functional neuroimaging studies of reading and reading disability (developmental dyslexia). Ment. Retard. Dev. Disabil. Res. Rev. 2000, 6, 207–213. [Google Scholar] [CrossRef]
- Soo-Yeon, J.; Najarian, K. A modified maximum correlation modeling method for fMRI brain mapping; application for detecting dyslexia. In Proceedings of the IEEE International Conference on Bioinformatics and Biomeidcine Workshops, Philadelphia, PA, USA, 3–5 November 2008; pp. 64–69. [Google Scholar] [CrossRef]
- Berninger, V.W.; Richards, T.L.; Abbott, R.D. Differential diagnosis of dysgraphia, dyslexia, and OWL LD: Behavioral and neuroimaging evidence. Read. Writ. 2015, 28, 1119–1153. [Google Scholar] [CrossRef] [PubMed]
- Fadzal, C.W.; Mansor, W.; Lee, K.Y.; Mohamad, S.; Amirin, S. Frequency analysis of EEG signal generated from dyslexic children. In Proceedings of the 2012 International Symposium on Computer Applications and Industrial Electronics (ISCAIE), Kota Kinabalu, Malaysia, 3–4 December 2012; pp. 202–204. [Google Scholar] [CrossRef]
- Andreadis, I.; Giannakakis, G.; Papageorgiou, C.; Nikita, K. Detecting Complexity Abnormalities in Dyslexia Measuring Approximate Entropy of Electroencephalographic Signals. In Proceedings of the 2009 Annual International Conference of the IEEE Engineering in Medicine and Biology Society, Minneapolis, MN, USA, 3–6 September 2009; pp. 6292–6295. [Google Scholar] [CrossRef]
- Arns, M.; Peters, S.; Bretler, R.; Verhoeven, L. Different brain activation patterns in dyslexic children: Evidence from EEG power and coherence patterns for the double-deficit theory of dyslexia. J. Integr. Neurosci. 2007, 6, 175–190. [Google Scholar] [CrossRef] [PubMed]
- Perera, H.; Shiratuddin, M.F.; Wong, K.W.; Fullarton, K. EEG signal analysis of passage reading and rapid automatized naming between adults with dyslexia and normal controls. In Proceedings of the 2017 IEEE 8th International Conference on Software Engineering and Service Science (ICSESS), Beijing, China, 24–26 November 2017; pp. 104–108. [Google Scholar] [CrossRef]
- Paszkiel, S.; Hunek, W.; Shylenko, A. Project and Simulation of a Portable Device for Measuring Bioelectrical Signals from the Brain for States Consciousness Verification with Visualization on LEDs. In Challenges in Automation, Robotics and Measurement Techniques; Springer: Cham, Switzerland, 2016; Volume 440. [Google Scholar] [CrossRef]
- Sharafi, Z.; Soh, Z.; Guéhéneuc, Y. A systematic literature review on the usage of eye-tracking in software engineering. Inf. Softw. Technol. 2015, 67, 79–107. [Google Scholar] [CrossRef]
- Zingoni, A.; Diani, M.; Corsini, G. A Flexible Algorithm for Detecting Challenging Moving Objects in Real-Time within IR Video Sequences. Remote Sens. 2017, 9, 1128. [Google Scholar] [CrossRef]
- Zingoni, A.; Diani, M.; Corsini, G. Real-time moving objects detection and tracking from airborne infrared camera. In Proceedings of the SPIE Security + Defence, Warsaw, Poland, 5 October 2017; p. 10434. [Google Scholar] [CrossRef]
- Zingoni, A.; Diani, M.; Corsini, G. Tutorial: Dealing with rotation matrices and translation vectors in image-based applications: A tutorial. IEEE Aerosp. Electron. Syst. Mag. 2019, 34, 38–53. [Google Scholar] [CrossRef]
- De Luca, M.; Borrelli, M.; Judica, A.; Spinelli, D.; Zoccolotti, P. Reading Words and Pseudowords: An Eye Movement Study of Developmental Dyslexia. Brain Lang. 2002, 80, 617–626. [Google Scholar] [CrossRef]
- Bellocchi, S.; Muneaux, M.; Bastien-Toniazzo, M.; Ducrot, S. I can read it in your eyes: What eye movements tell us about visuo-attentional processes in developmental dyslexia. Res. Dev. Disabil. 2013, 34, 452–460. [Google Scholar] [CrossRef]
- Macaš, M.; Lhotská, L.; Novák, D. Hidden Markov models for analysis of eye movements of dyslexic children. In Proceedings of the 18th International Conference on Digital Signal Processing (DSP), Fira, Greece, 1–3 July 2013; pp. 1–5. [Google Scholar] [CrossRef]
- Rello, L.; Ballesteros, M. Detecting readers with dyslexia using machine learning with eye tracking measures. In Proceedings of the 12th Web for All Conference (W4A’15), Florence Italy, 18–20 May 2015; pp. 1–8. [Google Scholar] [CrossRef]
- Bartolomé, N.A.; Zorrilla, A.M.; Zapirain, B.G. Dyslexia diagnosis in reading stage though the use of games at school. In Proceedings of the 2012 17th International Conference on Computer Games (CGAMES), Louisville, KY, USA, 30 July–1 August 2012; pp. 12–17. [Google Scholar] [CrossRef]
- Gaggi, O.; Palazzi, C.E.; Ciman, M.; Galiazzo, G.; Franceschini, S.; Ruffino, M.; Gori, S.; Facoetti, A. Serious Games for Early Identification of Developmental Dyslexia. Comput. Entertain. 2017, 15. [Google Scholar] [CrossRef]
- Lyytinen, H.; Erskine, J.; Hämäläinen, J.; Torppa, M.; Ronimus, M. Dyslexia—Early Identification and Prevention: Highlights from the Jyväskylä Longitudinal Study of Dyslexia. Curr. Dev. Disord. Rep. 2015, 2, 330–338. [Google Scholar] [CrossRef] [PubMed]
- Kalyvioti, K.; Mikropoulos, T.A. Virtual Environments and Dyslexia: A Literature Review. Procedia Comput. Sci. 2014, 27, 138–147. [Google Scholar] [CrossRef]
- Rizzo, A.; Parsons, T.D.; Kenny, P.; Buckwalter, J.G. Using Virtual Reality for Clinical Assessment and Intervention. In Handbook of Technology in Psychology, Psychiatry, and Neurology: Theory, Research, and Practice; L’Abate, P., Ed.; Nova Science Publishers: Hauppage, NY, USA, 2012. [Google Scholar]
- Jivraj, B.A.; Schaeffer, E.; Bone, J.N.; Stunden, C.; Habib, E.; Jacob, J.; Mulpuri, K. The Use of Virtual Reality in Reducing Anxiety during Cast Removal: A Randomized Controlled Trial. J. Child. Orthop. 2020, 14, 574–580. [Google Scholar] [CrossRef] [PubMed]
- Palacios, A.M.; Sánchez, L.; Couso, I. Diagnosis of dyslexia with low quality data with genetic fuzzy systems. Int. J. Approx. Reason. 2010, 8, 993–1009. [Google Scholar] [CrossRef]
- Le Jan, G.; Le Bouquin-Jeannès, R.; Costet, N.; Trolès, N.; Scalart, P.; Pichancourt, D.; Faucon, G.; Gombert, J.E. Multivariate predictive model for dyslexia diagnosis. Ann. Dyslexia 2011, 61, 1–20. [Google Scholar] [CrossRef] [PubMed]
- Al-Barhamtoshy, H.M.; Motaweh, D.M. Diagnosis of Dyslexia using computation analysis. In Proceedings of the 2017 International Conference on Informatics, Health & Technology (ICIHT), Riyadh, Saudi Arabia, 21–23 February 2017; pp. 1–7. [Google Scholar] [CrossRef]
- Rello, L.; Romero, E.; Rauschenberger, M.; Ali, A.; Williams, K.; Bigham, J.P.; Cushen White, N. Screening Dyslexia for English Using HCI Measures and Machine Learning. In Proceedings of the 2018 International Conference on Digital Health (DH’18), Lyon, France, 23–26 April 2018; pp. 80–84. [Google Scholar] [CrossRef]
- Maitrei, K.; Prasad, T.V. Identifying Dyslexic Students by Using Artificial Neural Networks. In Proceedings of the 2010 World Congress on Engineering (WCE 2010), London, UK, 30 June–2 July 2010; Volume 1. [Google Scholar]
- Varol, H.A.; Mani, S.; Compton, D.L.; Fuchs, L.S.; Fuchs, D. Early prediction of reading disability using machine learning. In Proceedings of the AMIA Annual Symposium, San Francisco, CA, USA, 14 November 2009; pp. 667–671. [Google Scholar]
- Palacios, A.; Sánchez, L.; Couso, I.; Destercke, S. An extension of the FURIA classification algorithm to low quality data through fuzzy rankings and its application to the early diagnosis of dyslexia. Neurocomputing 2016, 176, 60–71. [Google Scholar] [CrossRef]
- Glazzard, J. The impact of dyslexia on pupils′ self-esteem. Supporting Learn. 2010, 25, 63–69. [Google Scholar] [CrossRef]
- Battistutta, L.; Commissaire, E.; Steffgen, G. Impact of the Time of Diagnosis on the Perceived Competence of Adolescents with Dyslexia. Learn. Disabil. Q. 2018, 41. [Google Scholar] [CrossRef]
- Sanfilippo, J.; Ness, M.; Petscher, Y.; Rappaport, L.; Zuckerman, B.; Gaab, N. Reintroducing Dyslexia: Early Identification and Implications for Pediatric Practice. Pediatrics 2020, 146, e20193046. [Google Scholar] [CrossRef]
- Barbiero, C.; Lonciari, I.; Montico, M.; Monasta, L.; Penge, R.; Vio, C.; Tressoldi, P.E.; Ferluga, V.; Bigoni, A.; Tullio, A.; et al. The submerged dyslexia iceberg: How many school children are not diagnosed? Results from an Italian study. PLoS ONE 2012, 7, e48082. [Google Scholar] [CrossRef] [PubMed]
- Galuschka, K.; Use, E.; Krick, K.; Schulte-Körne, G. Effectiveness of Treatment Approaches for Children and Adolescents with Reading Disabilities: A Meta-Analysis of Randomized Controlled Trials. PLoS ONE 2014, 9, e89900. [Google Scholar] [CrossRef]
- Pasqualotto, A.; Venuti, P. A Multifactorial Model of Dyslexia: Evidence from Executive Functions and Phonological-based Treatments. Learn. Disabil. Res. Pract. 2020, 35, 150–164. [Google Scholar] [CrossRef]
- Bonacina, S.; Cancer, A.; Lanzi, P.L.; Lorusso, M.L.; Antonietti, A. Improving reading skills in students with dyslexia: The efficacy of a sublexical training with rhythmic background. Front. Psychol. 2015, 6, 1510. [Google Scholar] [CrossRef]
- Cogo-Moreira, H.; Andriolo, R.B.; Yazigi, L.; Ploubidis, G.B.; Brandão de Ávila, C.R.; Mari, J.J. Music education for improving reading skills in children and adolescents with dyslexia. Cochrane Database Syst. Rev. 2012. [Google Scholar] [CrossRef]
- Wang, R.; Chen, L.; Solheim, I.; Schulz, T.; Ayesh, A. Conceptual Motivation Modeling for Students with Dyslexia for Enhanced Assistive Learning. In Proceedings of the 2017 ACM Workshop on Intelligent Interfaces for Ubiquitous and Smart Learning (SmartLearn’17), Limassol, Cyprus, 13 March 2017; pp. 11–18. [Google Scholar] [CrossRef]
- Yaquob Alsobhi, A.; Khan, N.; Rahanu, H. Personalised Learning Materials Based on Dyslexia Types: Ontological Approach. Procedia Comput. Sci. 2015, 60, 113–121. [Google Scholar] [CrossRef]
- Pang, L.; Jen, C.C. Inclusive dyslexia-friendly collaborative online learning environment: Malaysia case study. Educ. Inf. Technol. 2018, 23, 1023–1042. [Google Scholar] [CrossRef]
- Saidah Sarpudin, S.N.; Zambri, S. Web readability for students with Dyslexia: Malaysian case study. In Proceedings of the 2014 3rd International Conference on User Science and Engineering (i-USEr), Shah Alam, Malaysia, 2–5 September 2014; pp. 192–197. [Google Scholar] [CrossRef]
- Alhabashneh, M.; Abu-Salih, B.; Knight, S. Impact of Web 2.0 Technology on Students with Learning Difficulties: A State-of-the-Art and Future Challenges. In Proceedings of the 2018 32nd International Conference on Advanced Information Networking and Applications Workshops (WAINA), Krakow, Poland, 16–18 May 2018; pp. 693–697. [Google Scholar] [CrossRef]
- Schiavo, G.; Mana, N.; Mich, O.; Zancanaro, M.; Job, R. Attention-driven read-aloud technology increases reading comprehension in children with reading disabilities. J. Comput. Assist. Learn. 2021. [Google Scholar] [CrossRef]
- Perry, C.; Zorzi, M.; Ziegler, J.C. Understanding Dyslexia through Personalized Large-Scale Computational Models. Psychol. Sci. 2019, 30, 386–395. [Google Scholar] [CrossRef]
- Siti Suhaila, A.H.; Admodisastro, A.N.; Abd Ghani, A.A. Computer-based learning model to improve learning of the malay language amongst dyslexic primary school students. In Proceedings of the Asia Pacific HCI and UX Design Symposium, Melbourne, Vic, Australia, 7 December 2015. [Google Scholar] [CrossRef]
- Ndombo, D.M.; Ojo, S.; Osunmakinde, I.O. An intelligent integrative assistive system for dyslexic learners. J. Assist. Technol. 2013, 7. [Google Scholar] [CrossRef]
- Rajapakse, S.; Polwattage, D.; Guruge, U.; Jayathilaka, I.; Edirisinghe, T.; Thelijjagoda, S. ALEXZA: A Mobile Application For Dyslexics Utilizing Artificial Intelligence And Machine Learning Concepts. In Proceedings of the 2018 3rd International Conference on Information Technology Research (ICITR), Moratuwa, Sri Lanka, 5–7 December 2018; pp. 1–6. [Google Scholar] [CrossRef]
- Thelijjagoda, S.; Chandrasiri, M.; Hewathudalla, D.; Ranasinghe, P.; Wickramanayake, I. The Hope: An Interactive Mobile Solution to Overcome the Writing, Reading and Speaking Weaknesses of Dyslexia. In Proceedings of the 2019 14th International Conference on Computer Science & Education (ICCSE), Toronto, ON, Canada, 19–21 August 2019; pp. 808–813. [Google Scholar] [CrossRef]
- Brooks, B.M.; Rose, F.D.; Attree, E.A.; Elliot-Square, A. An evaluation of the efficacy of training people with learning disabilities in a virtual environment. Disabil. Rehabil. 2002, 24, 622–626. [Google Scholar] [CrossRef]
- Redel-Macías, M.D.; Pinzi, S.; Martínez-Jiménez, M.P.; Dorado, G.; Dorado, M.P. Virtual Laboratory on Biomass for Energy Generation. J. Clean. Prod. 2016, 112, 3842–3851. [Google Scholar] [CrossRef]
- Lantto, E.; Simpura, F.; Uusitalo, J.; Lukander, K.; Räsänen, T.; Teperi, A.-M. Evaluation of the Efficacy of a Virtual Reality-Based Safety Training and Human Factors Training Method: Study Protocol for a Randomised-Controlled Trial. Inj. Prev. 2020, 26, 360–369. [Google Scholar] [CrossRef]
- Herrero, J.F.; Lorenzo, G. An Immersive Virtual Reality Educational Intervention on People with Autism Spectrum Disorders (ASD) for the Development of Communication Skills and Problem Solving. Educ. Inf. Technol. 2020, 25, 1689–1722. [Google Scholar] [CrossRef]
- El Naqa, I.; Pedroli, E.; Padula, P.; Guala, A.; Meardi, M.T.; Riva, G.; Albani, G. A Psychometric Tool for a Virtual Reality Rehabilitation Approach for Dyslexia. Comput. Math. Methods Med. 2017, 2017, 7048676. [Google Scholar] [CrossRef]
- Kalyvioti, K.; Mikropoulos, T.A. Memory Performance of Dyslexic Adults in Virtual Environments. Procedia Comput. Sci. 2012, 14, 410–418. [Google Scholar] [CrossRef][Green Version]
- Siti Suhaila, A.H.; Admodisastro, A.N.; Manshor, N.; Kamaruddin, A.; Abd Ghani, A.A. Dyslexia Adaptive Learning Model: Student Engagement Prediction Using Machine Learning Approach. In Proceedings of the International Conference on Soft Computing and Data Mining (SCDM 2018), Johor, Malaysia, 12 January 2018; pp. 372–384. [Google Scholar] [CrossRef]
- Costantini, A.; Ceschi, A.; Sartori, R. Psychosocial Interventions for the Enhancement of Psychological Resources among Dyslexic Adults: A Systematic Review. Sustainability 2020, 12, 7994. [Google Scholar] [CrossRef]
- Sprenger-Charolles, L.; Siegel, S.L.; Jiménez, J.E.; Ziegler, J.C. Prevalence and Reliability of Phonological, Surface, and Mixed Profiles in Dyslexia: A Review of Studies Conducted in Languages Varying in Orthographic Depth. Sci. Stud. Read. 2011, 15, 498–521. [Google Scholar] [CrossRef]
- Moll, K.; Kunze, S.; Neuhoff, N.; Bruder, J.; Schulte-Körne, G. Specific Learning Disorder: Prevalence and Gender Differences. PLoS ONE 2014, 9, e103537. [Google Scholar] [CrossRef] [PubMed]
- Scuola, Pubblicati I Dati Sugli Alunni Con Disturbi Specifici Dell′apprendimento. Available online: https://www.miur.gov.it/web/guest/-/scuola-pubblicati-i-dati-sugli-alunni-con-disturbi-specifici-dell-apprendimento#:~:text=Complessivamente%2C%20nel%202017%2F2018%2C,(disturbo%20nel%20calcolo%20matematico) (accessed on 14 February 2021).
- Katz, J. The Three Block Model of Universal Design for Learning (UDL): Engaging students in inclusive education. Can. J. Educ. 2013, 36, 153–194. [Google Scholar]
- Smeby, J. Disciplinary differences in university teaching. Stud. High. Educ. 1996, 21, 69–79. [Google Scholar] [CrossRef]
- Ray, S. A Quick Review of Machine Learning Algorithms. In Proceedings of the 2019 International Conference on Machine Learning, Big Data, Cloud and Parallel Computing (COMITCon), Faridabad, India, 14–16 February 2019; pp. 35–39. [Google Scholar] [CrossRef]
- Taborri, J.; Palermo, E.; Rossi, S. Automatic detection of faults in race walking: A comparative analysis of machine-learning algorithms fed with inertial sensor data. Sensors 2019, 19, 1461. [Google Scholar] [CrossRef]
- Freire, A.P.; Petrie, H.; Power, C. Empirical results from an evaluation of the accessibility of websites by dyslexic users. In Proceedings of the Workshop on Accessible Design in the Digital World, Lisboa, Portugal, 5–9 September 2011; pp. 41–53. [Google Scholar]
- Bergua, V.; Meillon, C.; Potvin, O.; Bouisson, J.; Le Goff, M.; Rouaud, O.; Ritchie, K.; Dartigues, J.-F.; Amieva, H. The STAI-Y trait scale: Psychometric properties and normative data from a large population-based study of elderly people. Int. Psychogeriatr. 2012, 1–9. [Google Scholar] [CrossRef]
- Luszczynska, A.; Scholz, U.; Schwarzer, R. The General Self-Efficacy Scale: Multicultural Validation Studies. J. Psychol. 2005, 139, 439–457. [Google Scholar] [CrossRef]
- Sica, C.; Chiri, L.R.; Favilli, R.; Marchetti, I. Test Q-PAD-Questionario per la Valutazione Della Psicopatologia in Adolescenza; Erickson: Trento, Italy, 2011; ISBN 9788861378797. [Google Scholar]
- Goldsmith, R.E. Dimensionality of the Rosenberg Self-Esteem Scale. J. Soc. Behav. Personal. 1986, 1, 253–264. [Google Scholar]
- Mikropoulos, T.A.; Natsis, A. Educational Virtual Environments: A Ten-Year Review of Empirical Research (1999–2009). Comput. Educ. 2011, 56, 769–780. [Google Scholar] [CrossRef]
- Mikropoulos, T. A Virtual Reality Test for the Identification of Memory Strengths of Dyslexic Students in Higher Education. J. Univers. Comput. Sci. 2013, 19, 2698–2721. [Google Scholar] [CrossRef]
- Seymour, P.H.K.; Aro, M.; Erskine, J.M. Foundation literacy acquisition in European orthographies. Br. J. Psychol. 2003, 94, 143–174. [Google Scholar] [CrossRef] [PubMed]








| VR Approach | Devices Needed | Targeted Users | Aim | Pros | Cons |
|---|---|---|---|---|---|
| DVR | Smartphone + Cardboard headset | Dyslexic Students | Psychometric tests delivering | Accessible hardware Low cost devices | Lack of immersivity |
| IVR | VR specific headset | Dyslexic and non dyslexic students Teachers | Supporting tools assessment Creation of an emphatic experience of dyslexia | Completely immersive experience Improved capability of data collection | Complex hardware required Expensive devices |
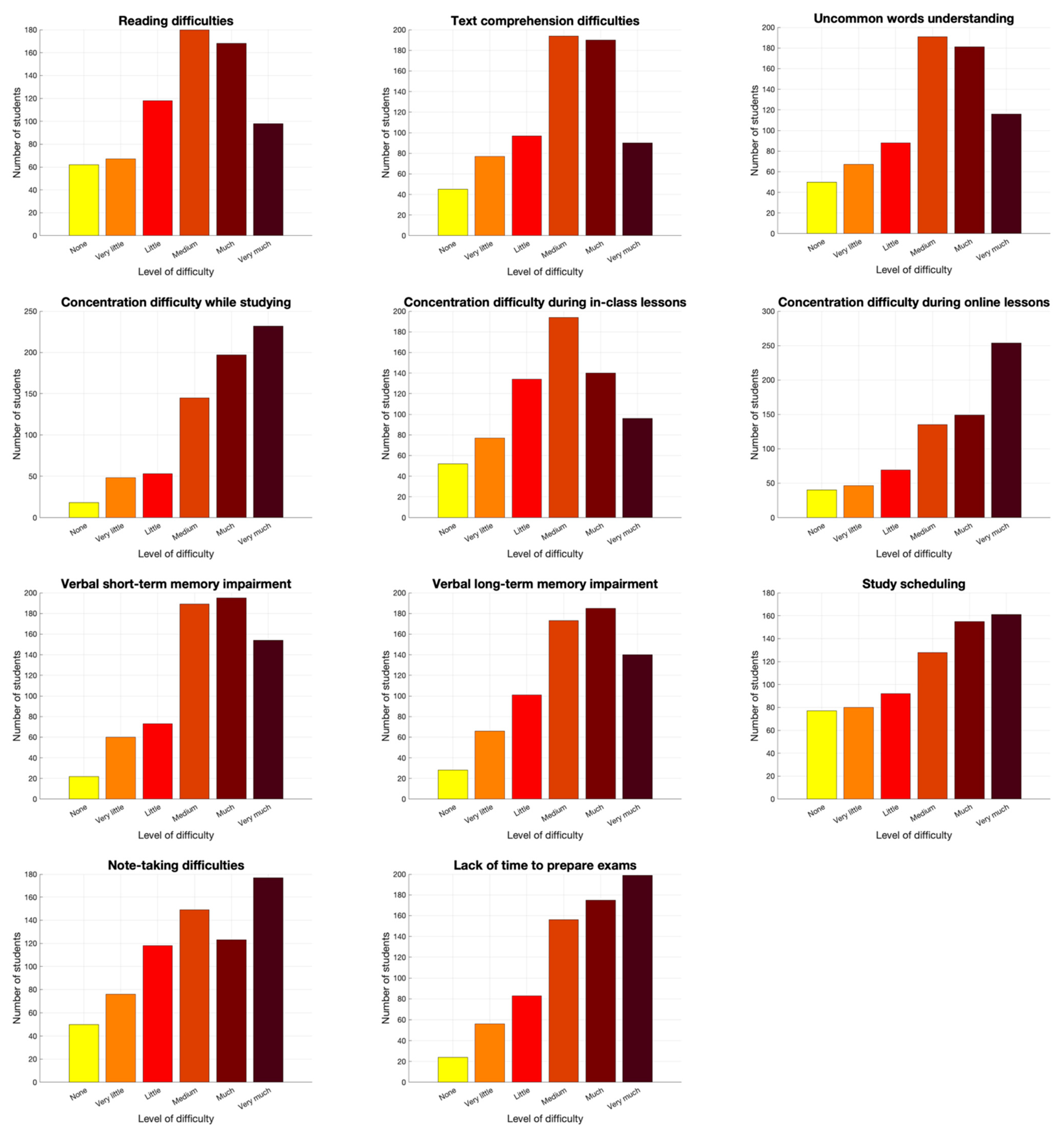
| Have You Ever Experienced One or More of These Issues during Your Academic Career? | ||
|---|---|---|
| Reading difficulties | Text comprehension difficulties | Uncommon words understanding |
| Concentration difficulty while studying | Concentration difficulty during in-class lessons | Concentration difficulty during online lessons |
| Verbal short-term memory impairment | Verbal long-term memory impairment (memory loss during exams) | Study scheduling |
| Note-taking difficulties | Lack of time to prepare exams | |
| Are One or More of These Tools Useful to Support You with Dyslexia Related Issues? | ||
|---|---|---|
| Audiobook with human voice | Audiobook with artificial voice | Words in different colors |
| Clear layout of the study material | Highlighted keywords | Digital concept maps |
| Digital schemes | Summaries | Digital Tutor |
| Use of images for words memorization and understanding | Use of images for concepts memorization | Audio recording of the lessons |
| Video lessons | Integrating study material using internet | |
| Are One or More of These Strategies Useful to Support You with Dyslexia Related Issues? | ||
|---|---|---|
| Someone that reads the study material | Repeating studied material | Study groups |
| Tutor | Participating or creating students’ associations to exchange information | On-line lessons availability |
| Pauses during lessons | Lessons slides availability | Recording lessons |
| Early availability of courses programme | Dividing exams in multiple shorter modules | Only written exams |
| Only oral exams | ||
| Issue | Average Score | Not Experienced by (%) |
|---|---|---|
| Reading difficulties | 3.18 | 8.9% |
| Text comprehension difficulties | 3.18 | 6.5% |
| Uncommon words understanding | 3.30 | 7.2% |
| Concentration difficulty while studying | 3.76 | 2.6% |
| Concentration difficulty during in-class lessons | 3.07 | 7.5% |
| Concentration difficulty during online lessons | 3.76 | 5.8% |
| Verbal short-term memory impairment | 3.46 | 3.2% |
| Verbal long-term memory impairment | 3.35 | 4.0% |
| Study scheduling | 3.37 | 11.1% |
| Note-taking difficulties | 3.32 | 7.2% |
| Lack of time to prepare exams | 3.57 | 3.5% |
| Supporting Tool | Average Score | Not Useful for (%) |
|---|---|---|
| Audiobook with human voice | 3.25 | 26.8% |
| Audiobook with artificial voice | 2.28 | 51.7% |
| Words in different colors | 3.61 | 10.2% |
| Clear layout of the study material | 4.02 | 4.6% |
| Highlighted keywords | 4.24 | 2.5% |
| Digital concept maps | 3.80 | 7.9% |
| Digital schemes | 3.80 | 8.0% |
| Summaries | 3.94 | 6.1% |
| Digital Tutor | 3.34 | 25.4% |
| Use of images for words memorization and understanding | 3.90 | 7.1% |
| Use of images for concepts memorization | 4.00 | 4.8% |
| Audio recording of the lessons | 3.82 | 6.2% |
| Video lessons | 3.67 | 9.2% |
| Integrating study material using internet | 3.65 | 7.8% |
| Supporting Tool | Average Score | Not Useful for (%) |
|---|---|---|
| Someone that reads the study material | 4.05 | 3.3% |
| Repeating studied material | 4.16 | 2.7% |
| Study groups | 3.39 | 11.0% |
| Tutor | 3.56 | 10.4% |
| Participating or creating students’ associations to exchange information | 3.86 | 5.8% |
| On-line lessons availability | 4.22 | 1.4% |
| Pauses during lessons | 4.49 | 1.0% |
| Lessons slides availability | 4.14 | 3.3% |
| Recording lessons | 4.04 | 3.8% |
| Early availability of courses programme | 4.15 | 2.5% |
| Dividing exams in multiple shorter modules | 3.27 | 19.0% |
| Only written exams | 3.17 | 15.3% |
| Only oral exams | 3.69 | 13.3% |
Publisher’s Note: MDPI stays neutral with regard to jurisdictional claims in published maps and institutional affiliations. |
© 2021 by the authors. Licensee MDPI, Basel, Switzerland. This article is an open access article distributed under the terms and conditions of the Creative Commons Attribution (CC BY) license (https://creativecommons.org/licenses/by/4.0/).
Share and Cite
Zingoni, A.; Taborri, J.; Panetti, V.; Bonechi, S.; Aparicio-Martínez, P.; Pinzi, S.; Calabrò, G. Investigating Issues and Needs of Dyslexic Students at University: Proof of Concept of an Artificial Intelligence and Virtual Reality-Based Supporting Platform and Preliminary Results. Appl. Sci. 2021, 11, 4624. https://doi.org/10.3390/app11104624
Zingoni A, Taborri J, Panetti V, Bonechi S, Aparicio-Martínez P, Pinzi S, Calabrò G. Investigating Issues and Needs of Dyslexic Students at University: Proof of Concept of an Artificial Intelligence and Virtual Reality-Based Supporting Platform and Preliminary Results. Applied Sciences. 2021; 11(10):4624. https://doi.org/10.3390/app11104624
Chicago/Turabian StyleZingoni, Andrea, Juri Taborri, Valentina Panetti, Simone Bonechi, Pilar Aparicio-Martínez, Sara Pinzi, and Giuseppe Calabrò. 2021. "Investigating Issues and Needs of Dyslexic Students at University: Proof of Concept of an Artificial Intelligence and Virtual Reality-Based Supporting Platform and Preliminary Results" Applied Sciences 11, no. 10: 4624. https://doi.org/10.3390/app11104624
APA StyleZingoni, A., Taborri, J., Panetti, V., Bonechi, S., Aparicio-Martínez, P., Pinzi, S., & Calabrò, G. (2021). Investigating Issues and Needs of Dyslexic Students at University: Proof of Concept of an Artificial Intelligence and Virtual Reality-Based Supporting Platform and Preliminary Results. Applied Sciences, 11(10), 4624. https://doi.org/10.3390/app11104624

