Community Detection Based on Graph Representation Learning in Evolutionary Networks
Abstract
1. Introduction
- (1)
- We propose a novel algorithm for community detection in evolutionary networks, which solves the limitation that traditional community detection algorithms were unable to handle the temporal information of a network structure.
- (2)
- The proposed algorithm can effectively use the historical temporal information of a network structure and apply a deep learning model to the research of evolutionary network representation learning.
- (3)
- The proposed algorithm has advantages in different datasets and has higher detection performance and computational efficiency.
2. Related Work
3. Preliminaries
3.1. Definitions
3.2. Data Preprocessing
4. Methods
- (1)
- Initialize the relevant parameters and load the dataset.
- (2)
- Based on the breadth-first traversal algorithm to traverse the network structure adjacency matrix of the current time slice.
- (3)
- Calculate the degree by using the path length to obtain the proximity matrix.
- (4)
- Use a Laplacian Matrix to obtain the information of directly connected nodes in the network of a time slice, and the features of the proximity matrix of the network under the current time slice are extracted by employing a deep sparse autoencoder.
- (5)
- Use the K-means algorithm to obtain the network community structure under the current time slice.
| Algorithm 1. LCDEN algorithm | |
| Input: Evolution graph , adjacency matrix , adjacency matrix , number of communities , path length threshold , degree of attenuation , deep sparse autoencoder with 3 layers, number of nodes in each layer of the deep autoencoder , i = 1, 2, 3. Output: Community results . | |
|
5. Experiments
5.1. Datasets
5.2. Evaluation Metrics
5.3. Baselines
5.4. Experimental Analysis
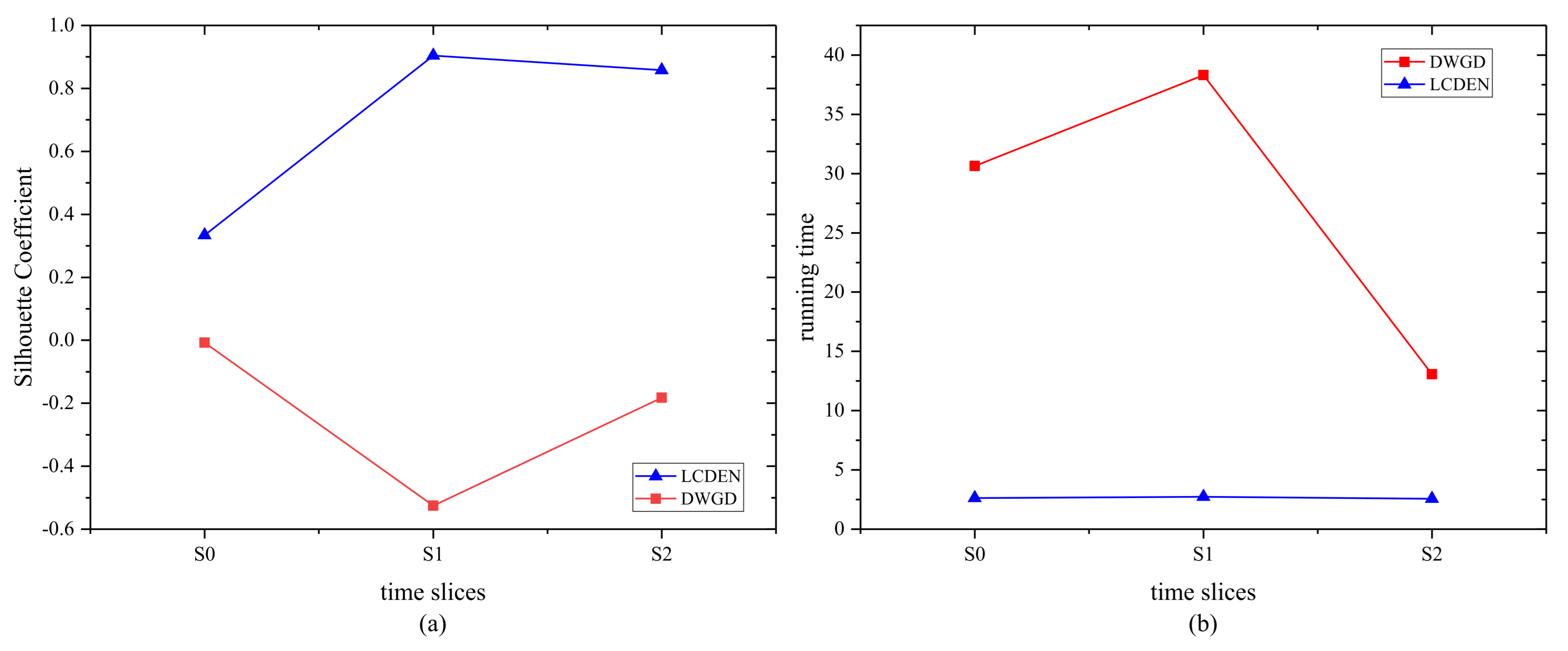
- (1)
- The comparative experimental results on the Superuser temporal network are shown in Figure 1. As shown in Figure 1a, we can conclude that, in the same time slice, the Silhouette Coefficient of the proposed algorithm is higher than that of the DWGD algorithm, that is, the clustering effect is better. Figure 1b demonstrates that, in the same time slice, the running time of the proposed algorithm is less than the DWGD algorithm.
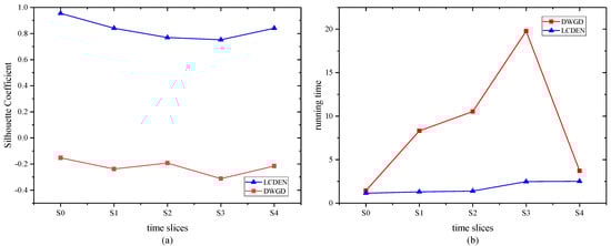
- (2)
- The comparative experimental results based on the Wiki-Talk-Temporal network (Wikipedia network dataset) are shown in Figure 2.
- (3)
- The comparative experimental results based on the Twitter dataset are shown in Figure 3.
6. Results and Discussion
7. Conclusions
Author Contributions
Funding
Conflicts of Interest
References
- He, T.; Hu, L.; Chan, K.C.C.; Hu, P. Learning Latent Factors for Community Identification and Summarization. IEEE Access 2018, 6, 30137–30148. [Google Scholar] [CrossRef]
- Zhang, X.; Zhang, J.; Yang, J. Dynamic Community Recognition Algorithm Based on Node Embedding and Linear Clustering. In Innovative Computing; Springer: Singapore, 2020; pp. 829–837. [Google Scholar]
- Martinet, L.-E.; Kramer, M.A.; Viles, W.; Perkins, L.N.; Spencer, E.; Chu, C.J.; Cash, S.S.; Kolaczyk, E.D. Robust dynamic community detection with applications to human brain functional networks. Nat. Commun. 2020, 11, 1–13. [Google Scholar] [CrossRef] [PubMed]
- Watts, D.J.; Strogatz, S.H. Collective dynamics of ‘small-world’ networks. Nat. Cell Biol. 1998, 393, 440–442. [Google Scholar] [CrossRef]
- Asur, S.; Parthasarathy, S.; Ucar, D. An Event-Based Framework for Characterizing the Evolutionary Behavior of Interaction Graphs. In Proceedings of the 13th ACM SIGKDD International Conference on Knowledge Discovery and Data Mining—KDD ’07, San Jose, CA, USA, 12–15 August 2007; pp. 913–921. [Google Scholar] [CrossRef]
- Kumar, R.; Novak, J.; Raghavan, P.; Tomkins, A. On the Bursty Evolution of Blogspace. World Wide Web 2005, 8, 159–178. [Google Scholar] [CrossRef]
- Kumar, R.; Novak, J.; Tomkins, A. Structure and Evolution of Online Social Networks. In Link Mining: Models, Algorithms, and Applications; Springer: New York, NY, USA, 2010; pp. 337–357. [Google Scholar]
- Lin, Y.-R.; Sundaram, H.; Chi, Y.; Tatemura, J.; Tseng, B.L. Blog Community Discovery and Evolution Based on Mutual Awareness Expansion. In Proceedings of the IEEE/WIC/ACM International Conference on Web Intelligence (WI’07), Fremont, CA, USA, 2–5 November 2007; pp. 2–5. [Google Scholar]
- Yu, L.; Li, P.; Zhang, J.; Kurths, J. Dynamic community discovery via common subspace projection. New J. Phys. 2021, 23, 033029. [Google Scholar] [CrossRef]
- Yang, C.; Liu, Z.; Zhao, D.; Sun, M.; Chang, E.Y. Network Representation Learning with Rich Text Information. In Proceedings of the 24th International Conference on Artificial Intelligence, Buenos Aires, Argentina, 25–31 July 2015; pp. 2111–2117. [Google Scholar]
- Wang, D.; Cui, P.; Zhu, W. Structural Deep Network Embedding. In the Proceedings of 22nd ACM SIGKDD International Conference on Knowledge Discovery and Data Mining, San Francisco, CA, USA, 13–16 August 2016; pp. 1225–1234. [Google Scholar]
- Bengio, Y.; Lamblin, P.; Popovici, D.; Larochelle, H. Greedy Layer-Wise Training of Deep Networks. In Advances in Neural Information Processing Systems 19, Proceedings of the 20th Annual Conference on Neural Information Processing Systems (NIPS 2006), Vancouver, BC, Canada, 4–5 December 2007; MIT Press: Cambridge, MA, USA, 2007; p. 153. [Google Scholar]
- Cox, M.A.; Cox, T.F. Multidimensional Scaling. In Handbook of Data Visualization; Springer: Berlin/Heidelberg, Germany, 2008; pp. 315–347. [Google Scholar]
- Belkin, M.; Niyogi, P. Laplacian Eigenmaps and Spectral Techniques for Embedding and Clustering. In Proceedings of the 14th International Conference on Neural Information Processing Systems: Natural and Synthetic, Vancouver, BC, Canada, 3–8 December 2001; pp. 585–591. [Google Scholar]
- Tenenbaum, J.B.; De Silva, V.; Langford, J.C. A global geometric framework for nonlinear dimensionality reduction. Science 2000, 290, 2319–2323. [Google Scholar] [CrossRef]
- Sun, H.; Jie, W.; Loo, J.; Chen, L.; Wang, Z.; Ma, S.; Li, G.; Zhang, S. Network Representation Learning Enhanced by Partial Community Information That Is Found Using Game Theory. Information 2021, 12, 186. [Google Scholar] [CrossRef]
- Hou, Y.; Zhang, P.; Xu, X.; Zhang, X.; Li, W. Nonlinear Dimensionality Reduction by Locally Linear Inlaying. IEEE Trans. Neural Netw. 2009, 20, 300–315. [Google Scholar] [CrossRef] [PubMed]
- Tang, J.; Qu, M.; Wang, M.; Zhang, M.; Yan, J.; Mei, Q. LINE: Large-scale Information Network Embedding. In Proceedings of the 24th International Conference on World Wide Web, Florence, Italy, 18–22 May 2015; pp. 1067–1077. [Google Scholar]
- Rodriguez, M.G.; Balduzzi, D.; Schölkopf, B. Uncovering the temporal dynamics of diffusion networks. arXiv 2011, arXiv:1105.0697 2011. [Google Scholar]
- Fathy, A.; Li, K. TemporalGAT: Attention-Based Dynamic Graph Representation Learning. In Proceedings of the Pacific-Asia Conference on Knowledge Discovery and Data Mining, Singapore, 11–14 May 2020; pp. 413–423. [Google Scholar]
- Li, M.; Liu, J.; Wu, P.; Teng, X. Evolutionary Network Embedding Preserving both Local Proximity and Community Structure. IEEE Trans. Evol. Comput. 2019, 24, 523–535. [Google Scholar] [CrossRef]
- Chen, D.M.; Wang, Y.K.; Huang, X.Y.; Wang, D.Q. Community Detection Algorithm for Complex Networks Based on Group Density. J. Northeast. Univ. Nat. Sci. Ed. 2019, 40, 186–191. [Google Scholar]
- Wang, Z.; Wang, C.; Li, X.; Gao, C.; Li, X.; Zhu, J. Evolutionary Markov Dynamics for Network Community Detection. IEEE Trans. Knowl. Data Eng. 2020, 1. [Google Scholar] [CrossRef]
- Chen, N.; Hu, B.; Rui, Y. Dynamic Network Community Detection with Coherent Neighborhood Propinquity. IEEE Access 2020, 8, 27915–27926. [Google Scholar] [CrossRef]
- Seifikar, M.; Farzi, S.; Barati, M. C-Blondel: An Efficient Louvain-Based Dynamic Community Detection Algorithm. IEEE Trans. Comput. Soc. Syst. 2020, 7, 308–318. [Google Scholar] [CrossRef]
- Rousseeuw, P.J. Silhouettes: A graphical aid to the interpretation and validation of cluster analysis. J. Comput. Appl. Math. 1987, 20, 53–65. [Google Scholar] [CrossRef]
- Paranjape, A.; Benson, A.R.; Leskovec, J. Motifs in Temporal Networks. In Proceedings of the 10th ACM International Conference on Web Search and Data Mining, Cambridge, UK, 6–10 February 2017; pp. 601–610. [Google Scholar]
- Yang, J.; Leskovec, J. Patterns of Temporal Variation in Online Media. In Proceedings of the 4th ACM International Conference on Distributed Event-Based Systems—DEBS ’10, Cambridge, UK, July 12–15 2010; pp. 177–186. [Google Scholar]
- Huang, X.; Chen, D.; Ren, T.; Wang, D. A survey of community detection methods in multilayer networks. Data Min. Knowl. Discov. 2021, 35, 1–45. [Google Scholar] [CrossRef]
- Ding, R.; Ujang, N.; Bin Hamid, H.; Manan, M.S.A.; He, Y.; Li, R.; Wu, J. Detecting the urban traffic network structure dynamics through the growth and analysis of multi-layer networks. Phys. A Stat. Mech. Appl. 2018, 503, 800–817. [Google Scholar] [CrossRef]
- Liu, R.-R.; Jia, C.-X.; Lai, Y.-C. Remote control of cascading dynamics on complex multilayer networks. New J. Phys. 2019, 21, 045002. [Google Scholar] [CrossRef]
- Rozario, V.S.; Chowdhury, A.; Morshed, M.S.J. Community detection in social network using temporal data. arXiv 2009, arXiv:1904.05291. [Google Scholar]
- Al-Garadi, M.A.; Varathan, K.D.; Ravana, S.D.; Ahmed, E.; Mujtaba, G.; Khan, M.U.S.; Khan, S.U. Analysis of online social network connections for identification of influential users: Survey and open research issues. ACM Comput. Surv. 2018, 51, 1–37. [Google Scholar] [CrossRef]
- Sanchez-Rodriguez, L.M.; Iturria-Medina, Y.; Mouches, P.; Sotero, R.C. A method for multiscale community detection in brain networks. bioRxiv 2019, 743732. [Google Scholar] [CrossRef]



Publisher’s Note: MDPI stays neutral with regard to jurisdictional claims in published maps and institutional affiliations. |
© 2021 by the authors. Licensee MDPI, Basel, Switzerland. This article is an open access article distributed under the terms and conditions of the Creative Commons Attribution (CC BY) license (https://creativecommons.org/licenses/by/4.0/).
Share and Cite
Chen, D.; Nie, M.; Wang, J.; Kong, Y.; Wang, D.; Huang, X. Community Detection Based on Graph Representation Learning in Evolutionary Networks. Appl. Sci. 2021, 11, 4497. https://doi.org/10.3390/app11104497
Chen D, Nie M, Wang J, Kong Y, Wang D, Huang X. Community Detection Based on Graph Representation Learning in Evolutionary Networks. Applied Sciences. 2021; 11(10):4497. https://doi.org/10.3390/app11104497
Chicago/Turabian StyleChen, Dongming, Mingshuo Nie, Jie Wang, Yun Kong, Dongqi Wang, and Xinyu Huang. 2021. "Community Detection Based on Graph Representation Learning in Evolutionary Networks" Applied Sciences 11, no. 10: 4497. https://doi.org/10.3390/app11104497
APA StyleChen, D., Nie, M., Wang, J., Kong, Y., Wang, D., & Huang, X. (2021). Community Detection Based on Graph Representation Learning in Evolutionary Networks. Applied Sciences, 11(10), 4497. https://doi.org/10.3390/app11104497

