Comfort Distance—A Single-Number Quantity Describing Spatial Attenuation in Open-Plan Offices
Abstract
1. Introduction
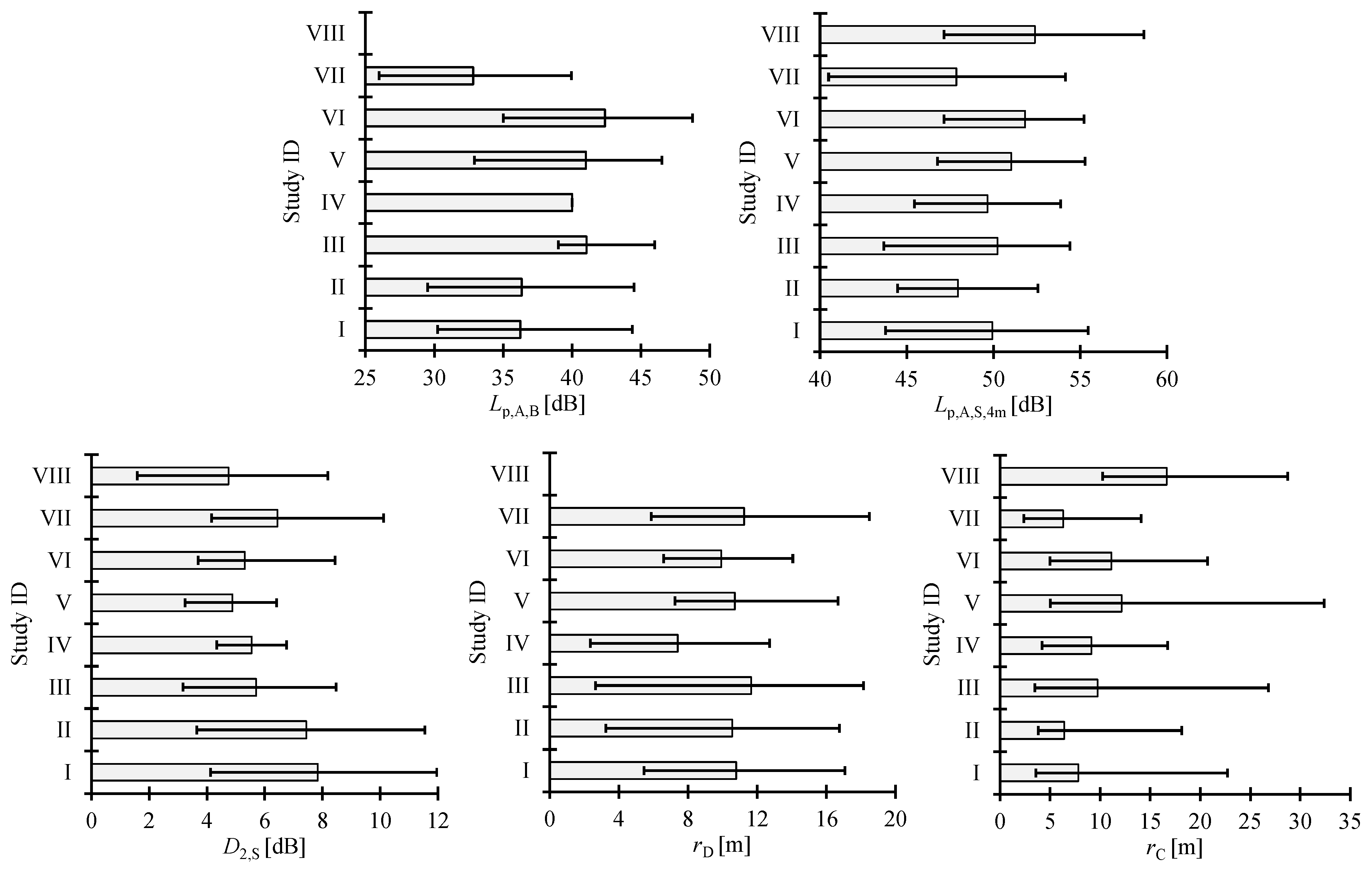
- the spatial decay rate of A-weighted sound pressure level (SPL) of speech, D2,S [dB], i.e., the reduction of A-weighted SPL of speech when the distance to the speaker is doubled (Figure 1),
- the A-weighted SPL of speech at 4 m distance from the speaker, Lp,A,S,4m [dB] (Figure 1),
- distraction distance, rD [m], i.e., the distance from the speaker where Speech Transmission Index, STI, falls below 0.50,
- privacy distance, rP [m], i.e., the distance where Speech Transmission Index, STI, falls below 0.20, and
- A-weighted SPL of the background noise of an unoccupied office, Lp,A,B.
2. Materials and Methods
3. Results
4. Discussion
5. Conclusions
Author Contributions
Funding
Institutional Review Board Statement
Informed Consent Statement
Conflicts of Interest
References
- Frontczak, M.; Schiavon, S.; Goins, J.; Arens, E.; Zhang, H.; Wargocki, P. Quantitative relationships between occupant satisfaction aspects of indoor environmental quality and building design. Indoor Air 2012, 22, 119–131. [Google Scholar] [CrossRef]
- Haapakangas, A.; Hongisto, V.; Liebl, A. The relation between the intelligibility of speech and cognitive performance—A revised model based on laboratory studies. Indoor Air 2020, 30, 1130–1146. [Google Scholar] [CrossRef] [PubMed]
- Haapakangas, A.; Hongisto, V.; Eerola, M.; Kuusisto, T. Distraction distance and disturbance by noise—An analysis of 21 open-plan offices. J. Acoust. Soc. Am. 2017, 141, 127–136. [Google Scholar] [CrossRef] [PubMed]
- Keränen, J.; Hongisto, V.; Hakala, J. The effect of sound absorption and screen height on spatial decay of speech in open-plan offices. Appl. Acoust. 2020, 166, 107340. [Google Scholar] [CrossRef]
- Virjonen, P.; Keränen, J.; Hongisto, V. Determination of acoustical conditions in open-plan offices—Proposal for new measurement method and target values. Acta Acust. Acust. 2009, 95, 279–290. [Google Scholar] [CrossRef]
- International Standard ISO 3382-3:2012 Acoustics—Measurement of Room Acoustic Parameters—Part 3: Open Plan Offices; International Organization for Standardization: Geneve, Switzerland, 2012.
- Hongisto, V.; Keränen, J.; Labia, L.; Alakoivu, R. Precision of ISO 3382-2 and ISO 3382-3—A Round-Robin test in an open-plan office. Appl. Acoust. 2021, 175, 107846. [Google Scholar] [CrossRef]
- D’Orazio, D.; Rossi, E.; Garai, M. Comparison of different in situ measurements techniques of intelligibility in an open-plan office. Build. Acoust. 2018, 25, 111–122. [Google Scholar] [CrossRef]
- Hongisto, V.; Virjonen, P.; Keränen, J. Determination of acoustical conditions of open offices—Suggestions for acoustic classification. In Proceedings of the 19th International Congress on Acoustics, Madrid, Spain, 2–7 September 2007. [Google Scholar]
- International Standard ISO 14257:2001. Acoustics—Measurement and Parametric Description of Spatial Sound Distribution Curves in Workrooms for Evaluation of Their Acoustical Performance; International Organization for Standardization: Geneve, Switzerland, 2001.
- Nilsson, E.; Hellström, B. Room acoustic design in open-plan offices. In Proceedings of the Euronoise, Edinburgh, UK, 26–28 October 2009. [Google Scholar]
- Hongisto, V. A model predicting the effect of speech of varying intelligibility on work performance. Indoor Air 2005, 15, 458–468. [Google Scholar] [CrossRef] [PubMed]
- Seddigh, A.; Berntson, E.; Jönsson, F.; Bodin Danielson, C.; Westerlund, H. Effect of variation in noise absorption in open-plan office: A field study with a cross-over design. J. Environ. Psychol. 2015, 44, 34–44. [Google Scholar] [CrossRef]
- Selzer, J.; Schelle, F. Practical aspects of measuring acoustics in German open plan offices. In Proceedings of the Euronoise, Crete, Greece, 27–31 May 2018; pp. 1919–1924. [Google Scholar]
- Hongisto, V.; Keränen, J. Open-plan offices—New Finnish room acoustic regulations. In Proceedings of the Euronoise, Crete, Greece, 27–31 May 2018. [Google Scholar]
- Draft International Standard. ISO DIS 3382-3:2021 Acoustics—Measurement of Room Acoustic Parameters—Part 3: Open Plan Offices; International Organization for Standardization: Geneve, Switzerland, 2021.
- Keränen, J.; Hongisto, V. Prediction of the spatial decay of speech in open-plan offices. Appl. Acoust. 2013, 74, 1315–1325. [Google Scholar] [CrossRef]
- Wenmaekers, R.; Van Hout, N. How ISO 3382-3 acoustic parameter values are affected by furniture, barriers and sound absorption in a typical open plan office. In Proceedings of the 23rd International Congress on Acoustics, Aachen, Germany, 9–13 September 2019. [Google Scholar]
- Cabrera, D.; Yadav, M.; Protheroe, D. Critical methodological assessment of the distraction distance used for evaluating room acoustic quality of open-plan offices. Appl. Acoust. 2018, 140, 132–142. [Google Scholar] [CrossRef]
- Yadav, M.; Cabrera, D.; Love, J.; Kim, J.; Holmes, J.; Caldwell, H.; de Dear, R. Reliability and repeatability of ISO 3382-3 metrics based on repeated acoustic measurements in open-plan offices. Appl. Acoust. 2019, 150, 138–146. [Google Scholar] [CrossRef]
- Lüthi, G.; Desarnaulds, V. Analysis of open plan acoustic parameters based on Swiss and international databases of in situ measurements. In Proceedings of the ICSV27, Prague, Czech Republik, 12–16 July 2020. [Google Scholar]
- Virjonen, P.; Hongisto, V.; Radun, J. Annoyance penalty of periodically amplitude-modulated wide-band sound. J. Acoust. Soc. Am. 2019, 146, 4159–4170. [Google Scholar] [CrossRef] [PubMed]
- Veitch, J.; Bradley, J.; Legault, L.; Norcross, S.; Svec, J. Masking Speech in Open-Plan Offices with Filtered Pink Noise Noise: Noise Level and Spectral Composition Effects on Acoustic Satisfaction; Internal Report IRC-846; Institute for Research in Construction: Ottawa, ON, Canada, 1 April 2002. [Google Scholar]
- Hongisto, V.; Oliva, D.; Rekola, L. Subjective and Objective Rating of Spectrally Different Pseudorandom Noises—Implications for Speech Masking Design. J. Acoust. Soc. Am. 2015, 137, 1344–1355. [Google Scholar] [CrossRef] [PubMed]
- Hongisto, V.; Varjo, J.; Oliva, D.; Haapakangas, A.; Benway, E. Perception of water-based masking sounds—Long-term experiment in an open-plan office. Front. Psychol. 2017, 8, 1117. [Google Scholar] [CrossRef] [PubMed]
- Bottalico, P.; Passione, I.I.; Graetzer, S.; Hunter, E.J. Evaluation of the Starting Point of the Lombard Effect. Acta Acust. Acust. 2017, 103, 169–172. [Google Scholar] [CrossRef] [PubMed]
- Yadav, M.; Cabrera, D.; Kim, J.; Fels, J.; de Dear, R. Sound in occupied open-plan offices: Objective metrics with a review of historical perspectives. Appl. Acoust. 2021, 177, 107943. [Google Scholar] [CrossRef]







| Office | L | Lp,A,B | Lp,A,S,4m | D2,S | rD |
|---|---|---|---|---|---|
| ID | [m] | [dB] | [dB] | [dB] | [m] |
| 1 | 16 | 39 | 53.8 | 4.0 | 14.2 |
| 2 | 27 | 45 | 57.2 | 4.2 | 18.5 |
| 3 | 16 | 42 | 52.5 | 4.6 | 9.5 |
| 4 | 60 | 41 | 49.4 | 5.7 | 5.6 |
| 5 | 18 | 35 | 50.9 | 6.0 | 15.4 |
| 6 | 36 | 44 | 52.6 | 6.2 | 5.4 |
| 7 | 19 | 31 | 47.5 | 6.3 | 13.8 |
| 8 | 19 | 39 | 52.4 | 6.4 | 10.3 |
| 9 | 42 | 40 | 54.4 | 6.7 | 15.3 |
| 10 | 23 | 39 | 43.4 | 9.0 | 5.5 |
| 11 | 34 | 35 | 48.3 | 9.2 | 9.9 |
| 12 | 32 | 37 | 49.4 | 9.4 | 9.3 |
| 13 | 36 | 31 | 46.5 | 11.4 | 9.5 |
| 14 | 35 | 31 | 47.1 | 11.5 | 6.2 |
| 15 | 70 | 31 | 49.0 | 11.7 | 8.1 |
| 16 | 27 | 33 | 49.9 | 12.4 | 10.0 |
| A | 18 | 34 | 47.4 | 4.9 | 16.2 |
| B | 33 | 32 | 49.1 | 6.0 | 15.3 |
| C | 69 | 29 | 44.0 | 6.4 | 11.4 |
| D | 17 | 38 | 50.4 | 6.4 | 11.9 |
| E | 23 | 34 | 47.9 | 7.8 | 8.8 |
| F | 16 | 35 | 51.5 | 8.2 | 11.1 |
| G | 36 | 32 | 50.3 | 9.3 | 14.0 |
| H | 28 | 38 | 50.3 | 9.4 | 6.0 |
| I | 30 | 38 | 53.9 | 9.0 | 9.7 |
| J | 33 | 39 | 49.3 | 11.6 | 9.3 |
| Study | ID | N | Country | Comment |
|---|---|---|---|---|
| Keränen and Hongisto (2013) [17] | I | 26 | Finland | a |
| Haapakangas et al. (2017) [3] | II | 21 | Finland | b |
| Selzer and Schelle (2018) [14] | III | 34 | Germany | c |
| Wenmaekers and van Hout (2019) [18] | IV | 4 | Laboratory | d |
| Cabrera et al. (2018) [19] | V | 20 | Australia | e |
| Yadav et al. (2019) [20] | VI | 36 | Australia | f |
| Lüthi and Desarnaulds (2020) [21] | VII | 22 | Switzerland | g |
| Keränen et al. (2020) [4] | VIII | 22 | Laboratory | h |
Publisher’s Note: MDPI stays neutral with regard to jurisdictional claims in published maps and institutional affiliations. |
© 2021 by the authors. Licensee MDPI, Basel, Switzerland. This article is an open access article distributed under the terms and conditions of the Creative Commons Attribution (CC BY) license (https://creativecommons.org/licenses/by/4.0/).
Share and Cite
Hongisto, V.; Keränen, J. Comfort Distance—A Single-Number Quantity Describing Spatial Attenuation in Open-Plan Offices. Appl. Sci. 2021, 11, 4596. https://doi.org/10.3390/app11104596
Hongisto V, Keränen J. Comfort Distance—A Single-Number Quantity Describing Spatial Attenuation in Open-Plan Offices. Applied Sciences. 2021; 11(10):4596. https://doi.org/10.3390/app11104596
Chicago/Turabian StyleHongisto, Valtteri, and Jukka Keränen. 2021. "Comfort Distance—A Single-Number Quantity Describing Spatial Attenuation in Open-Plan Offices" Applied Sciences 11, no. 10: 4596. https://doi.org/10.3390/app11104596
APA StyleHongisto, V., & Keränen, J. (2021). Comfort Distance—A Single-Number Quantity Describing Spatial Attenuation in Open-Plan Offices. Applied Sciences, 11(10), 4596. https://doi.org/10.3390/app11104596

