Antioxidant and Antibacterial Activity of Nepeta × faassenii Bergmans ex Stearn Essential Oil
Abstract
1. Introduction
2. Materials and Methods
2.1. Plant Material
2.2. Isolation of the Essential Oil
2.3. Gas Chromatography and Mass Spectrometry (GC-MS) Analysis
2.4. Determination of Antioxidant Activity
2.5. Peroxide Value (PV)
2.6. Thiobarbituric Acid (TBA) Value
2.7. Scavenging Effect on 1,1-diphenyl-2-picrylhydrazyl Radical (DPPH) Assay
2.8. β-Carotene Bleaching Assay
2.9. Determination of Antimicrobial Activity
2.9.1. Bacterial Strains
2.9.2. Antimicrobial Screening
2.9.3. Minimum Inhibitory Concentration
2.10. Minimum Bactericidal Concentration and Minimum Fungicidal Concentration
2.11. Statistical Analysis
3. Results and Discussion
3.1. NEO Chemical Composition
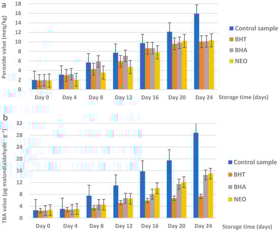
3.2. Antioxidant Activity
3.3. Antimicrobial Activity
4. Conclusions
Author Contributions
Funding
Institutional Review Board Statement
Informed Consent Statement
Data Availability Statement
Acknowledgments
Conflicts of Interest
References
- Petruzzi, L.; Corbo, M.R.; Sinigaglia, M.; Bevilacqua, A. Chapter 1—Microbial Spoilage of Foods: Fundamentals. In The Microbiological Quality of Food; Bevilacqua, A., Corbo, M.R., Sinigaglia, M., Eds.; Woodhead Publishing: Amsterdam, The Netherlands, 2017; pp. 1–21. [Google Scholar] [CrossRef]
- Ramos, C.; Teixeira, B.; Batista, I.; Matos, O.; Serrano, C.; Neng, N.R.; Nogueira, J.M.F.; Nunes, M.L.; Marques, A. Antioxidant and antibacterial activity of essential oil and extracts of bay laurel Laurus nobilis Linnaeus (Lauraceae) from Portugal. Nat. Prod. Res. 2012, 26, 518–529. [Google Scholar] [CrossRef]
- EFSA. The European Union One Health 2018 Zoonoses Report. EFSA J. 2019, 17, e05926. [Google Scholar] [CrossRef]
- Tian, F.; Decker, E.A.; Goddard, J.M. Controlling lipid oxidation of food by active packaging technologies. Food Funct. 2013, 4, 669–680. [Google Scholar] [PubMed]
- Kanazawa, A.; Sawa, T.; Akaike, T.; Maeda, H. Dietary lipid peroxidation products and DNA damage in colon carcinogenesis. Eur. J. Lipid Sci. Technol. 2002, 104, 439–447. [Google Scholar]
- Shahidi, F.; Ambigaipalan, P. Phenolics and polyphenolics in foods, beverages and spices: Antioxidant activity and health effects—A review. J. Funct. Foods 2015, 18, 820–897. [Google Scholar] [CrossRef]
- Štumpf, S.; Hostnik, G.; Primožič, M.; Leitgeb, M.; Salminen, J.P.; Bren, U. The Effect of Growth Medium Strength on Minimum Inhibitory Concentrations of Tannins and Tannin Extracts against E. coli. Molecules 2020, 25, 2947. [Google Scholar] [CrossRef]
- Tošović, J.; Bren, U. Antioxidative Action of Ellagic Acid-A Kinetic DFT Study. Antioxidants 2020, 9, 587. [Google Scholar] [CrossRef]
- Salehi, B.; Valussi, M.; Jugran, A.K.; Martorell, M.; Ramírez-Alarcón, K.; Stojanović-Radić, Z.Z.; Antolak, H.; Kręgiel, D.; Mileski, K.S.; Sharifi-Rad, M.; et al. Nepeta species: From farm to food applications and phytotherapy. Trends Food Sci. Technol. 2018, 80, 104–122. [Google Scholar] [CrossRef]
- Pădure, I. Distribution of Nepeta parviflora Bieb.(Lamiaceae) in Romania with ecological and phytocoenological considerations. Rev. Roum. Biol. Sér. Biol. Vég. 2002, 47, 57–65. [Google Scholar]
- Bhat, A.H.; Alia, A.; Kumar, B.; Mubashir, S. Phytochemical Constituents of Genus Nepeta. Res. Rev. J. Chem. 2018, 7, 31–37. [Google Scholar]
- Radulović, N.; Blagojević, P.D.; Rabbitt, K.; de Sousa Menezes, F. Essential oil of Nepeta × faassenii Bergmans ex Stearn (N. mussinii Spreng. × N. nepetella L.): A comparison study. Nat. Prod. Commun. 2011, 6, 1015–1022. [Google Scholar]
- Muntean, D.; Licker, M.; Alexa, E.; Popescu, I.; Jianu, C.; Buda, V.; Dehelean, C.A.; Ghiulai, R.; Horhat, F.; Horhat, D. Evaluation of essential oil obtained from Mentha × piperita L. against multidrug-resistant strains. Infect. Drug Resist. 2019, 12, 2905. [Google Scholar] [PubMed]
- Adams, R.P. Identification of Essential Oil Components by Gas Chromatography/Mass Spectrometry, 4th ed.; Allured Publishing Corporation: Carol Stream, IL, USA, 2007. [Google Scholar]
- Singh, G.; Kapoor, I.; Singh, P.; de Heluani, C.S.; de Lampasona, M.P.; Catalan, C.A. Chemistry, antioxidant and antimicrobial investigations on essential oil and oleoresins of Zingiber officinale. Food Chem. Toxicol. 2008, 46, 3295–3302. [Google Scholar] [PubMed]
- ISO. Animal and Vegetable Fats and Oils-Determination of Peroxide Value-Potentiometric End-Point Determination; International Organization for Standardization: Geneva, Switzerland, 2010. [Google Scholar]
- Jianu, C.; Goleț, I.; Stoin, D.; Cocan, I.; Lukinich-Gruia, A.T. Antioxidant Activity of Pastinaca sativa L. ssp. sylvestris [Mill.] Rouy and Camus Essential Oil. Molecules 2020, 25, 869. [Google Scholar]
- Jianu, C.; Mişcă, C.; Muntean, S.G.; Gruia, A.T. Composition, antioxidant and antimicrobial activity of the essential oil of Achillea collina Becker growing wild in western Romania. Hem. Ind. 2015, 69, 381–386. [Google Scholar]
- Jianu, C.; Mihail, R.; Muntean, S.G.; Pop, G.; Daliborca, C.V.; Horhat, F.G.; Nitu, R. Composition and antioxidant capacity of essential oils obtained from Thymus vulgaris, Thymus pannonicus and Satureja montana grown in Western Romania. Rev. Chim. 2015, 66, 2157–2160. [Google Scholar]
- CLSI. Performance Standards for Antimicrobial Disk Susceptibility Tests, 12th ed.; CLSI Document M02-A12; Clinical and Laboratory Standards Institute: Wayne, NJ, USA, 2015. [Google Scholar]
- CLSI. Methods for Dilution Antimicrobial Susceptibility Tests for Bacteria that Grow Aerobically, 10th ed.; CLSI Document M07-A10; Clinical and Laboratory Standards Institute: Wayne, NJ, USA, 2015. [Google Scholar]
- Rodriguez-Tudela, J.L.; Arendrup, M.C.; Barchiesi, F.; Bille, J.; Chryssanthou, E.; Cuenca-Estrella, M.; Fegeler, W. EUCAST definitive document EDef 7.1: Method for the determination of broth dilution MICs of antifungal agents for fermentative yeasts. Clin. Microbiol. Infect. 2008, 14, 398. [Google Scholar]
- Danciu, C.; Muntean, D.; Alexa, E.; Farcas, C.; Oprean, C.; Zupko, I.; Bor, A.; Minda, D.; Proks, M.; Buda, V. Phytochemical characterization and evaluation of the antimicrobial, antiproliferative and pro-apoptotic potential of Ephedra alata Decne. hydroalcoholic extract against the MCF-7 breast cancer cell line. Molecules 2019, 24, 13. [Google Scholar]
- Brezoiu, A.-M.; Prundeanu, M.; Berger, D.; Deaconu, M.; Matei, C.; Oprea, O.; Vasile, E.; Negreanu-Pîrjol, T.; Muntean, D.; Danciu, C. Properties of Salvia officinalis L. and Thymus serpyllum L. Extracts Free and Embedded into Mesopores of Silica and Titania Nanomaterials. Nanomaterials 2020, 10, 820. [Google Scholar]
- De Pooter, H.; Nicolai, B.; De Laet, J.; De Buyck, L.; Schamp, N.; Goetghebeur, P. The essential oils of five Nepeta species. A preliminary evaluation of their use in chemotaxonomy by cluster analysis. Flavour Fragr. J. 1988, 3, 155–159. [Google Scholar]
- Süntar, I.; Nabavi, S.M.; Barreca, D.; Fischer, N.; Efferth, T. Pharmacological and chemical features of Nepeta L. genus: Its importance as a therapeutic agent. Phytother. Res. 2018, 32, 185–198. [Google Scholar]
- Formisano, C.; Rigano, D.; Senatore, F. Chemical constituents and biological activities of Nepeta species. Chem. Biodivers. 2011, 8, 1783–1818. [Google Scholar] [CrossRef] [PubMed]
- Narimani, R.; Moghaddam, M.; Ghasemi Pirbalouti, A.; Mojarab, S. Essential oil composition of seven populations belonging to two Nepeta species from Northwestern Iran. Int. J. Food Prop. 2017, 20, 2272–2279. [Google Scholar]
- Ozkan, G.; Simsek, B.; Kuleasan, H. Antioxidant activities of Satureja cilicica essential oil in butter and in vitro. J. Food Eng. 2007, 79, 1391–1396. [Google Scholar] [CrossRef]
- Cheng, J.-H.; Sun, D.-W.; Pu, H.-B.; Wang, Q.-J.; Chen, Y.-N. Suitability of hyperspectral imaging for rapid evaluation of thiobarbituric acid (TBA) value in grass carp (Ctenopharyngodon idella) fillet. Food Chem. 2015, 171, 258–265. [Google Scholar] [CrossRef]
- Yang, X.; Boyle, R.A. Chapter 3—Sensory Evaluation of Oils/Fats and Oil/Fat–Based Foods. In Oxidative Stability and Shelf Life of Foods Containing Oils and Fats; Hu, M., Jacobsen, C., Eds.; AOCS Press: London, UK, 2016; pp. 157–185. [Google Scholar] [CrossRef]
- Shakeri, A.; Khakdan, F.; Soheili, V.; Sahebkar, A.; Shaddel, R.; Asili, J. Volatile composition, antimicrobial, cytotoxic and antioxidant evaluation of the essential oil from Nepeta sintenisii Bornm. Ind. Crop. Prod. 2016, 84, 224–229. [Google Scholar] [CrossRef]
- Adiguzel, A.; Ozer, H.; Sokmen, M.; Gulluce, M.; Sokmen, A.; Kilic, H.; Sahin, F.; Baris, O. Antimicrobial and antioxidant activity of the essential oil and methanol extract of Nepeta cataria. Pol. J. Microbiol. 2009, 58, 69–76. [Google Scholar]
- Alim, A.; Goze, I.; Cetin, A.; Atas, A.D.; Cetinus, S.A.; Vural, N. Chemical composition and in vitro antimicrobial and antioxidant activities of the essential oil of Nepeta nuda L. subsp. Albiflora (Boiss.) gams. Afr. J. Microbiol. Res. 2009, 3, 463–467. [Google Scholar]
- Mahboubi, M.; Kazempour, N.; Ghazian, F.; Taghizadeh, M. Chemical composition, antioxidant and antimicrobial activity of Nepeta persica Boiss. essential oil. Herba Pol. 2011, 57, 62–71. [Google Scholar]
- Sarikurkcu, C.; Ceylan, O.; Targan, S.; Ćavar Zeljković, S. Chemical composition and biological activities of the essential oils of two endemic Nepeta species. Ind. Crop. Prod. 2018, 125, 5–8. [Google Scholar] [CrossRef]
- Gkinis, G.; Bozin, B.; Mimica-Dukic, N.; Tzakou, O. Antioxidant activity of Nepeta nuda L. ssp. nuda essential oil rich in nepetalactones from Greece. J. Med. Food 2010, 13, 1176–1181. [Google Scholar] [CrossRef]
- Dar, M.Y.; Shah, W.A.; Rather, M.A.; Qurishi, Y.; Hamid, A.; Qurishi, M.A. Chemical composition, in vitro cytotoxic and antioxidant activities of the essential oil and major constituents of Cymbopogon jawarancusa (Kashmir). Food Chem. 2011, 129, 1606–1611. [Google Scholar] [CrossRef]
- Sökmen, A.; Sökmen, M.; Daferera, D.; Polissiou, M.; Candan, F.; Ünlü, M.; Akpulat, H.A. The in vitro antioxidant and antimicrobial activities of the essential oil and methanol extracts of Achillea biebersteini Afan.(Asteraceae). Phytother. Res. Int. J. Devoted Pharmacol. Toxicol. Eval. Nat. Prod. Deriv. 2004, 18, 451–456. [Google Scholar]
- Ruberto, G.; Baratta, M.T. Antioxidant activity of selected essential oil components in two lipid model systems. Food Chem. 2000, 69, 167–174. [Google Scholar] [CrossRef]
- Bisht, D.S.; Padalia, R.C.; Singh, L.; Pande, V.; Lal, P.; Mathela, C.S. Constituents and antimicrobial activity of the essential oils of six Himalayan Nepeta species. J. Serb. Chem. Soc. 2010, 75, 739–747. [Google Scholar] [CrossRef]
- Shakeri, A.; Khakdan, F.; Soheili, V.; Sahebkar, A.; Rassam, G.; Asili, J. Chemical composition, antibacterial activity, and cytotoxicity of essential oil from Nepeta ucrainica L. spp. kopetdaghensis. Ind. Crop. Prod. 2014, 58, 315–321. [Google Scholar] [CrossRef]
- Stojanović, G.; Radulović, N.; Lazarević, J.; Miladinović, D.; Đoković, D. Antimicrobial activity of Nepeta rtanjensis essential oil. J. Essent. Oil Res. 2005, 17, 587–589. [Google Scholar] [CrossRef]
- Shafaghat, A.; Oji, K. Nepetalactone content and antibacterial activity of the essential oils from different parts of Nepeta persica. Nat. Prod. Commun. 2010, 5, 625–628. [Google Scholar] [CrossRef]
- Sonboli, A.; Gholipour, A.; Yousefzadi, M.; Mojarrad, M. Antibacterial activity and composition of the essential oil of Nepeta menthoides from Iran. Nat. Prod. Commun. 2009, 4, 283–286. [Google Scholar] [CrossRef]
- Mohammadpour, N.; Emami, S.A.; Asili, J. Identification of volatile oil components of Nepeta binaludensis Jamzad by GC-MS and 13C-NMR methods and evaluation of its antimicrobial activity. J. Essent. Oil Bear. Plants 2013, 16, 102–107. [Google Scholar] [CrossRef]
- Bajpai, V.K.; Baek, K.-H.; Kang, S.C. Control of Salmonella in foods by using essential oils: A review. Food Res. Int. 2012, 45, 722–734. [Google Scholar] [CrossRef]
- Bajpai, V.K.; Sharma, A.; Baek, K.-H. Antibacterial mode of action of Cudrania tricuspidata fruit essential oil, affecting membrane permeability and surface characteristics of food-borne pathogens. Food Control 2013, 32, 582–590. [Google Scholar] [CrossRef]
- Fisher, K.; Phillips, C. Potential antimicrobial uses of essential oils in food: Is citrus the answer? Trends Food Sci. Technol. 2008, 19, 156–164. [Google Scholar] [CrossRef]
- Nestorović, J.; Mišić, D.; Šiler, B.; Soković, M.; Glamočlija, J.; Ćirić, A.; Maksimović, V.; Grubišić, D. Nepetalactone content in shoot cultures of three endemic Nepeta species and the evaluation of their antimicrobial activity. Fitoterapia 2010, 81, 621–626. [Google Scholar] [CrossRef]
- Mevy, J.P.; Bessiere, J.M.; Dherbomez, M.; Millogo, J.; Viano, J. Chemical composition and some biological activities of the volatile oils of a chemotype of Lippia chevalieri Moldenke. Food Chem. 2007, 101, 682–685. [Google Scholar] [CrossRef]
- Pauli, A.; Schilcher, H. Specific Selection of Essential Oil Compounds for Treatment of Children’s Infection Diseases. Pharmaceuticals 2004, 1, 1–30. [Google Scholar] [CrossRef]
- Sadgrove, N.J.; Collins, T.L.; Legendre, S.V.-M.; Klepp, J.; Jones, G.L.; Greatrex, B.W. The Iridoid Myodesert-1-ene and Elemol/Eudesmol are found in Distinct Chemotypes of the Australian Aboriginal Medicinal Plant Eremophila dalyana (Scrophulariaceae). Nat. Prod. Commun. 2016, 11, 1211. [Google Scholar] [CrossRef]
- Sadgrove, N.J.; Telford, I.R.H.; Greatrex, B.W.; Jones, G.L. Composition and antimicrobial activity of the essential oils from the Phebalium squamulosum species complex (Rutaceae) in New South Wales, Australia. Phytochemistry 2014, 97, 38–45. [Google Scholar] [CrossRef]

| No | Compounds | RI a | AI b | % |
|---|---|---|---|---|
| 1. | alpha-Pinene | 919 | 932 | 0.16 |
| 2. | beta-Pinene | 959 | 974 | 0.67 |
| 3. | 3-Octanone | 964 | - | 0.17 |
| 4. | para-Cymene | 1005 | 1020 | 0.64 |
| 5. | Limonene | 1011 | 1024 | 0.19 |
| 6. | 1,8-cineole | 1014 | - | 1.39 |
| 7. | Terpinen-4-ol | 1178 | 1174 | 0.34 |
| 8. | alpha-Terpineol | 1194 | 1186 | 0.23 |
| 9. | (S)-Carvone | 1248 | 1239 | 0.27 |
| 10. | Hydrocinnamic acid, methyl ester | 1280 | - | 0.12 |
| 11. | Cyclopropane, (2-methylenebutyl) | 1307 | - | 0.61 |
| 12. | 4a alpha,7alpha,7a alpha-Nepetalactone | 1381 | 1386 | 34.12 |
| 13. | Naphthalene, 1-isocyano | 1392 | - | 1.61 |
| 14. | beta-Bourbonene | 1403 | 1387 | 0.97 |
| 15. | 3,4 alpha-dihydro-4a alpha,7alpha,7a alpha-Nepetalactone | 1438 | - | 7.93 |
| 16. | Caryophyllene | 1440 | 1417 | 1.68 |
| 17. | Germacrene-D | 1480 | - | 1.88 |
| 18. | 2,9-Dimethyl-5-decyne | 1487 | - | 1.14 |
| 19. | gama-Muurolene | 1496 | 1500 | 0.84 |
| 20. | Spiro(5,6)dodecane | 1526 | - | 13.73 |
| 21. | Elemol | 1568 | - | 23.23 |
| 22. | Caryophillene oxide | 1602 | 1582 | 1.96 |
| 23. | alpha-Cadinol | 1671 | 1652 | 0.91 |
| 24. | cis-Z-alpha-Bisabolene epoxide | 1809 | - | 1.23 |
| 25. | 4,4,8-Trimethyltricyclo[6.3.1.0(1,5)]dodecane-2,9-diol | 1865 | - | 1.29 |
| 26. | 4-Oxo-beta-isodamascol | 2339 | - | 2.14 |
| Total: | 99.45 | |||
| Samples Tested | Parameters | |
|---|---|---|
| DPPH, IC50 (mg/mL) | β-Carotene Bleaching (RAA c) (%) | |
| NEO | 0.032 ± 0.005 | 92.31 ± 0.17 |
| BHA a | 0.086 ± 0.006 | Nt d |
| BHT b | 0.013 ± 0.009 | 100 |
| alpha-Tocopherol | 0.142 ± 0.011 | Nt d |
| Bacterial and Yeast Strains | Disk Diffusion (mm) | MIC Value (mg/mL) | MBC Value (mg/mL) | MFC Value (mg/mL) |
|---|---|---|---|---|
| Streptococcus mutans | 25.66 ± 0.57 | 5 | 5 | - |
| Streptococcus pyogenes | 29.66 ± 1.52 | 5 | 5 | - |
| Staphylococcus aureus | 26.33 ± 0.57 | 10 | 10 | - |
| Enterococcus faecalis | 25.33 ± 0.57 | 10 | 10 | - |
| Escherichia coli | 23.66 ± 1.52 | 10 | 10 | - |
| Klebsiella pneumoniae | 26.33 ± 0.57 | 10 | 10 | - |
| Salmonella enterica | 26 ± 1.00 | 10 | 10 | - |
| Shigella flexneri | 25.33 ± 0.57 | 10 | 10 | - |
| Pseudomonas aeruginosa | 22.33 ± 0.57 | 10 | 10 | - |
| Candida albicans | 28.33 ± 1.52 | 5 | - | 5 |
| Candida parapsilosis | 26.66 ± 1.52 | 5 | - | 5 |
Publisher’s Note: MDPI stays neutral with regard to jurisdictional claims in published maps and institutional affiliations. |
© 2021 by the authors. Licensee MDPI, Basel, Switzerland. This article is an open access article distributed under the terms and conditions of the Creative Commons Attribution (CC BY) license (http://creativecommons.org/licenses/by/4.0/).
Share and Cite
Jianu, C.; Moleriu, R.; Stoin, D.; Cocan, I.; Bujancă, G.; Pop, G.; Lukinich-Gruia, A.T.; Muntean, D.; Rusu, L.-C.; Horhat, D.I. Antioxidant and Antibacterial Activity of Nepeta × faassenii Bergmans ex Stearn Essential Oil. Appl. Sci. 2021, 11, 442. https://doi.org/10.3390/app11010442
Jianu C, Moleriu R, Stoin D, Cocan I, Bujancă G, Pop G, Lukinich-Gruia AT, Muntean D, Rusu L-C, Horhat DI. Antioxidant and Antibacterial Activity of Nepeta × faassenii Bergmans ex Stearn Essential Oil. Applied Sciences. 2021; 11(1):442. https://doi.org/10.3390/app11010442
Chicago/Turabian StyleJianu, Călin, Radu Moleriu, Daniela Stoin, Ileana Cocan, Gabriel Bujancă, Georgeta Pop, Alexandra Teodora Lukinich-Gruia, Delia Muntean, Laura-Cristina Rusu, and Delia Ioana Horhat. 2021. "Antioxidant and Antibacterial Activity of Nepeta × faassenii Bergmans ex Stearn Essential Oil" Applied Sciences 11, no. 1: 442. https://doi.org/10.3390/app11010442
APA StyleJianu, C., Moleriu, R., Stoin, D., Cocan, I., Bujancă, G., Pop, G., Lukinich-Gruia, A. T., Muntean, D., Rusu, L.-C., & Horhat, D. I. (2021). Antioxidant and Antibacterial Activity of Nepeta × faassenii Bergmans ex Stearn Essential Oil. Applied Sciences, 11(1), 442. https://doi.org/10.3390/app11010442

